94. 二叉树的中序遍历
给定一个二叉树的根节点 root ,返回 它的 中序 遍历 。
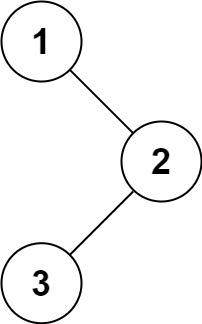
示例 1:

输入:root = [1,null,2,3]
输出:[1,3,2]
示例 2:
输入:root = []
输出:[]
示例 3:
输入:root = [1]
输出:[1]
方法一:递归
/**
* Definition for a binary tree node.
* public class TreeNode {
* int val;
* TreeNode left;
* TreeNode right;
* TreeNode() {}
* TreeNode(int val) { this.val = val; }
* TreeNode(int val, TreeNode left, TreeNode right) {
* this.val = val;
* this.left = left;
* this.right = right;
* }
* }
*/
class Solution {
public List<Integer> inorderTraversal(TreeNode root) {
// 递归
List<Integer> res = new ArrayList<Integer>();
inorder(root, res);
return res;
}
public void inorder(TreeNode root, List<Integer> res) {
if (root == null) return;
inorder(root.left, res);
res.add(root.val);
inorder(root.right, res);
}
}
方法二:循环迭代
class Solution {
public List<Integer> inorderTraversal(TreeNode root) {
// 栈,迭代
List<Integer> res = new ArrayList<Integer>();
Deque<TreeNode> stack = new LinkedList<TreeNode>();
while(!stack.isEmpty() || root != null) {
while (root != null) {
stack.push(root);
root = root.left;
}
root = stack.pop();
res.add(root.val);
root = root.right;
}
return res;
}
}
浙公网安备 33010602011771号