25. K 个一组翻转链表
给你链表的头节点 head ,每 k 个节点一组进行翻转,请你返回修改后的链表。
k 是一个正整数,它的值小于或等于链表的长度。如果节点总数不是 k 的整数倍,那么请将最后剩余的节点保持原有顺序。
你不能只是单纯的改变节点内部的值,而是需要实际进行节点交换。
示例 1:

输入:head = [1,2,3,4,5], k = 2
输出:[2,1,4,3,5]
示例 2:

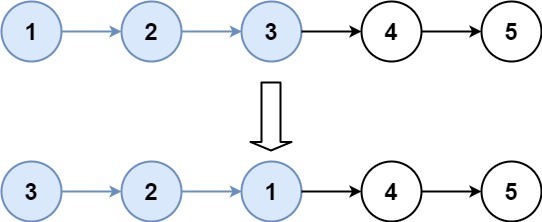
输入:head = [1,2,3,4,5], k = 3
输出:[3,2,1,4,5]
搞了好久没搞出来,抄答案:
/**
* Definition for singly-linked list.
* public class ListNode {
* int val;
* ListNode next;
* ListNode() {}
* ListNode(int val) { this.val = val; }
* ListNode(int val, ListNode next) { this.val = val; this.next = next; }
* }
*/
class Solution {
public ListNode reverseKGroup(ListNode head, int k) {
ListNode dummy = new ListNode(0, head);
ListNode prev = dummy;
while (true) {
ListNode last = prev;
for (int i = 0; i < k; i++) {
last = last.next;
if (last == null) {
return dummy.next;
}
}
// 反转 k 个节点
ListNode curr = prev.next;
ListNode next;
for (int i = 0; i < k - 1; i++) {
next = curr.next;
curr.next = next.next;
next.next = prev.next;
prev.next = next;
}
prev = curr;
}
}
}
浙公网安备 33010602011771号