24. 两两交换链表中的节点
给你一个链表,两两交换其中相邻的节点,并返回交换后链表的头节点。你必须在不修改节点内部的值的情况下完成本题(即,只能进行节点交换)。
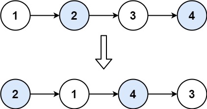
示例 1:

输入:head = [1,2,3,4]
输出:[2,1,4,3]
示例 2:
输入:head = []
输出:[]
示例 3:
输入:head = [1]
输出:[1]
迭代法
/**
* Definition for singly-linked list.
* public class ListNode {
* int val;
* ListNode next;
* ListNode() {}
* ListNode(int val) { this.val = val; }
* ListNode(int val, ListNode next) { this.val = val; this.next = next; }
* }
*/
class Solution {
public ListNode swapPairs(ListNode head) {
ListNode dummyNode = new ListNode(0, head);
ListNode oper = dummyNode;
while (oper.next != null && oper.next.next != null) {
ListNode node1 = oper.next;
ListNode node2 = oper.next.next;
oper.next = node2;
node1.next = node2.next;
node2.next = node1;
oper = node1;
}
return dummyNode.next;
}
}
浙公网安备 33010602011771号