141. 环形链表
给你一个链表的头节点 head ,判断链表中是否有环。
如果链表中有某个节点,可以通过连续跟踪 next 指针再次到达,则链表中存在环。 为了表示给定链表中的环,评测系统内部使用整数 pos 来表示链表尾连接到链表中的位置(索引从 0 开始)。注意:pos 不作为参数进行传递 。仅仅是为了标识链表的实际情况。
如果链表中存在环 ,则返回 true 。 否则,返回 false 。
示例 1:

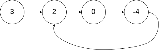
输入:head = [3,2,0,-4], pos = 1
输出:true
解释:链表中有一个环,其尾部连接到第二个节点。
示例 2:

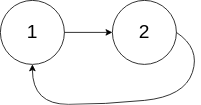
输入:head = [1,2], pos = 0
输出:true
解释:链表中有一个环,其尾部连接到第一个节点。
方法一:循环遍历,使用 hashSet 存储,若包含,则有环,否则没有环
public class Solution {
public boolean hasCycle(ListNode head) {
Set<ListNode> hashSet = new HashSet<ListNode>();
while (head != null) {
if (hashSet.contains(head)) {
return true;
}
hashSet.add(head);
head = head.next;
}
return false;
}
}
官方写的:应该是如果 hashSet 调用 add 方法会返回一个成功与否的值,如果 add 失败,代表 set 集合中已经有元素了

public class Solution {
public boolean hasCycle(ListNode head) {
Set<ListNode> hashSet = new HashSet<ListNode>();
while (head != null) {
if (!hashSet.add(head)) {
return true;
}
head = head.next;
}
return false;
}
}
方法二:快慢指针
public class Solution {
public boolean hasCycle(ListNode head) {
if (head == null || head.next == null) {
return false;
}
ListNode slow = head;
ListNode fast = head.next;
while (slow != fast) {
if (fast == null || fast.next == null) {
return false;
}
slow = slow.next;
fast = fast.next.next;
}
return true;
}
}
浙公网安备 33010602011771号