【LeetCode】#141. 环形链表
给定一个链表,判断链表中是否有环。
如果链表中有某个节点,可以通过连续跟踪 next 指针再次到达,则链表中存在环。 为了表示给定链表中的环,我们使用整数 pos 来表示链表尾连接到链表中的位置(索引从 0 开始)。 如果 pos 是 -1,则在该链表中没有环。注意:pos 不作为参数进行传递,仅仅是为了标识链表的实际情况。
如果链表中存在环,则返回 true 。 否则,返回 false 。
进阶:
你能用 O(1)(即,常量)内存解决此问题吗?
示例 1:


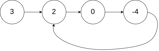
输入:head = [3,2,0,-4], pos = 1 输出:true 解释:链表中有一个环,其尾部连接到第二个节点。
示例 2:

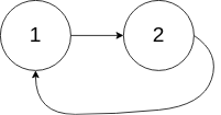
输入:head = [1,2], pos = 0 输出:true 解释:链表中有一个环,其尾部连接到第一个节点。
示例 3:

输入:head = [1], pos = -1 输出:false 解释:链表中没有环。
方法一:递归 public class Solution { Set<ListNode> list = new HashSet<ListNode>(); public boolean hasCycle(ListNode head) { if(head == null)return false; if(list.contains(head)){
//一开始添加的是链表的val,但其实不同链表间可以有相同的val。最后才突然发觉直接添加链表节点就行。 return true; }else{ list.add(head); return hasCycle(head.next); } } }
方法二:迭代 public boolean hasCycle(ListNode head) { Set<ListNode> seen = new HashSet<ListNode>(); while (head != null) { if (!seen.add(head)) { return true; } head = head.next; } return false; }
方法三:快慢指针(速度最快) public boolean hasCycle(ListNode head) { if (head == null || head.next == null) { return false; } ListNode slow = head; ListNode fast = head.next; while (slow != fast) { if (fast == null || fast.next == null) { return false; } slow = slow.next; fast = fast.next.next; } return true; }
知识点:
使用集合时一开始使用ArrayList,发现耗时特别长,可能是存储节点用的时间占用太多。
最后改成HashSet,无序且不能重复,效率高,而且可以存null。
set.contains(xx) 判断是否存在该值。
总结:
使用合适的集合会大大提高总体算法的效率。

浙公网安备 33010602011771号