【LeetCode】#110. 平衡二叉树
给定一个二叉树,判断它是否是高度平衡的二叉树。
本题中,一棵高度平衡二叉树定义为:
一个二叉树每个节点 的左右两个子树的高度差的绝对值不超过 1 。
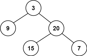
示例 1:

输入:root = [3,9,20,null,null,15,7] 输出:true
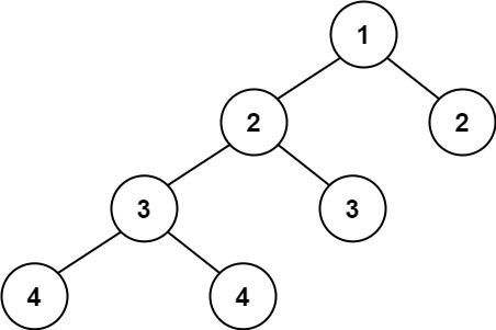
示例 2:

输入:root = [1,2,2,3,3,null,null,4,4] 输出:false
示例 3:
输入:root = [] 输出:true
方法一:自顶向下的递归
//一开始以为只要检测左右节点深度相差是否小于等于一就行,因此没加&& isBalanced(root.left) && isBalance(root.right)。没加这句只能测得头节点的左右节点深度。 class Solution { public boolean isBalanced(TreeNode root) { if(root == null)return true; return !((help(root.left) - help(root.right) > 1) | (help(root.left)-help(root.right) < -1)) && isBalanced(root.left) && isBalanced(root.right); } public int help(TreeNode root){ if(root == null)return 0; return 1 + Math.max(help(root.left), help(root.right)); } }
方法二:自顶向上 class Solution { public boolean isBalanced(TreeNode root) { return height(root) >= 0; } public int height(TreeNode root) { if (root == null) { return 0; } int leftHeight = height(root.left); int rightHeight = height(root.right); if (leftHeight == -1 || rightHeight == -1 || Math.abs(leftHeight - rightHeight) > 1) { return -1; } else { return Math.max(leftHeight, rightHeight) + 1; } } }
知识点:
无
总结:
无

浙公网安备 33010602011771号