【LeetCode】#108. 将有序数组转换为二叉搜索树
给你一个整数数组 nums ,其中元素已经按 升序 排列,请你将其转换为一棵 高度平衡 二叉搜索树。
高度平衡 二叉树是一棵满足「每个节点的左右两个子树的高度差的绝对值不超过 1 」的二叉树。
示例 1:

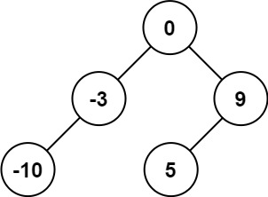
输入:nums = [-10,-3,0,5,9]
输出:[0,-3,9,-10,null,5]
解释:[0,-10,5,null,-3,null,9] 也将被视为正确答案:

示例 2:

输入:nums = [1,3]
输出:[3,1]
解释:[1,3] 和 [3,1] 都是高度平衡二叉搜索树。
二分法
class Solution { public TreeNode sortedArrayToBST(int[] nums) { return help(nums, 0, nums.length-1); } public TreeNode help(int[] nums, int left, int right){ if(left > right)return null; int mid = (left + right) / 2; TreeNode a = new TreeNode(nums[mid]); a.left = help(nums, left, mid-1); a.right = help(nums, mid+1, right); return a; } }
知识点:无
总结:无

浙公网安备 33010602011771号