CF276E Little Girl and Problem on Trees 题解
题意
给定一颗以 \(1\) 号节点为根的树,除了根节点的其它节点的度数不超过 \(2\)。
树有点权,初始均为 \(0\)。
需要实现两种操作:
-
将离 \(u\) 节点 \(d\) 单位以内的节点点权加上 \(x\)。
-
查询 \(u\) 节点的点权。
思路
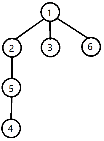
题意看着挺含蓄,什么节点度数不超过 \(2\),就是 \(1\) 号节点下面挂了一堆链,如下图为样例 \(2\) 的图。

我们不妨将它横着画出来。

考虑第一种操作即修改操作如何维护。
例如我们要将样例 \(2\) 中,将离 \(5\) 节点 \(3\) 单位以内的节点点权加上 \(1\),那么我们要修改的部分分为以下蓝、紫、绿 \(3\) 个区域。

其中蓝色部分,即 \(1\) 号节点部分,单独开一个变量保存即可。而绿色区域,即位于自身那条链内的部分,可以对每条链开一个树状数组来实现。
而紫色部分,由于是每条链的前几个节点全部加 \(x\),所以可以开一个全局的树状数组来实现。
为了不重复加,绿色区域的左端点要和紫色区域的右端点取 \(\max\)。
第二种操作即查询,直接将 \(u\) 节点在链内树状数组所对应的值,加上它全局树状数组所对应的值即可。
最后,这两种操作,若操作的对象 \(u\) 是 \(1\) 号节点,则需要特殊处理。
对每一个分支开一个树状数组,若直接每个树状数组大小都开到 \(n\),显然空间很容易炸,所以可以用 vector 来代替数组。
当然也可以给每个分支分配一个区间,最后开一个树状数组,但是懒得写了。
其它的细节可以看代码。
代码
#include <bits/stdc++.h>
using namespace std;
int n,ca;
int head[100005],tot;
struct EDGE{
int nex,to;
} e[200005];
void add(int u,int v){
e[++tot].nex=head[u];
e[tot].to=v;
head[u]=tot;
}
int cnt,ans1,de[100005],id[100005];
//分别代表:1节点后的子树个数,1节点的答案,每个点在树状数组中的位置即其深度,每个点所在树状数组编号
vector<int> sum[100005];//若干个树状数组,其中sum[0]代表全局加的树状数组
void dfs(int u,int fa,int idd){//预处理de,id,sum数组
sum[idd].push_back(0);
de[u]=de[fa]+1;
id[u]=idd;
for(int i=head[u];i;i=e[i].nex){
int v=e[i].to;
if(v==fa) continue;
dfs(v,u,idd);
}
}
//树状数组板板
int query(int x,int id){
int tmp=0;
while(x){
tmp+=sum[id][x];
x-=(x&(-x));
}
return tmp;
}
void update(int x,int k,int id){
while(x<sum[id].size()){
sum[id][x]+=k;
x+=(x&(-x));
}
}
void change(int l,int r,int k,int id){
update(l,k,id),update(r+1,-k,id);
}
int main(){
scanf("%d%d",&n,&ca);
for(int i=1,u,v;i<n;i++){
scanf("%d%d",&u,&v);
add(u,v),add(v,u);
}
for(int i=head[1];i;i=e[i].nex){
dfs(e[i].to,1,++cnt);
}
for(int i=1;i<=n;i++){//预处理全局树状数组
sum[0].push_back(0);
}
for(int i=0;i<=cnt;i++){//由于vector下标从0开始,所以要再加一位
sum[i].push_back(0);
}
while(ca--){
int op,v,x,d;
scanf("%d%d",&op,&v);
if(op==1){//查询
if(v==1){//特判1号节点
printf("%d\n",ans1);
}
else{
printf("%d\n",query(de[v],0)+query(de[v],id[v]));//树状数组内标记加上全局标记
}
}
else{//修改
scanf("%d%d",&x,&d);
if(v==1){//特判1号节点
change(1,min(d,n),x,0);
ans1+=x;
continue;
}
int tmp=min(n,d-de[v]);//紫色区域右端点
int l=max(tmp+1,max(0,de[v]-d));//绿色区域左端点,注意要和tmp+1取max
int r=min((int)sum[id[v]].size()-1,de[v]+d);//绿色区域右端点
//各种修改
if(l<=r) change(l,r,x,id[v]);
if(tmp>0) change(1,tmp,x,0);
if(tmp>=0) ans1+=x;
}
}
return 0;
}

浙公网安备 33010602011771号