软考自查:程序设计语言与语言处理程序基础
程序设计语言与语言处理程序基础
内容提要
- 编译与解释
- 文法
- 正规式
- 有限自动机
- 表达式
- 传值与传址
- 多种程序语言特点
程序语言基础-各种程序语言特点
- 1.Fortran语言(科学计算,执行效率高)
- 2.Pascal语言(为教学而开发的,表达能力强, Delphi )
- 3.C语言(指针操作能力强,高效)
- 4.Lisp语言(函数式程序语言,符号处理,人工智能
- 5.C++语言(面向对象,高效)
- 6.Java语言(面向对象,中间代码,跨平台)
- 7.C#语言(面向对象,中间代码,.Net)
- 8.Prolog语言(逻辑推理,简洁性,表达能力,数据库和专家系统)
- 9.python语言(面向对象,简单易懂,人工智能,大数据,现上升较快)
编译过程
文法定义
语法推导树
一棵语法树应具有以下特征:
1、每个结点都有一一个标记,此标记是V的一个符号;2、根的标记是S;3.若一结点n至少有一个它自己除外的子孙,并且有标记A,则A肯定在VN中:4如果结点n的直接子孙,从左到右的次序是结点n1, n2,..nk,其标记分别是:A1,A2,...,Ak那么A->A1,A2,...Ak,一定是P中的一个产生式。
例:
有限自动机(重点)
正规式
文法推导与正规式例题
(1):D (2):C
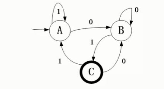
有限自动机例题
例题:
下图所示为一个有限自动机(其中,A是初态、C是终态),该自动机可识别(C)。
A:0000 B:1111 C:0101 D:1010
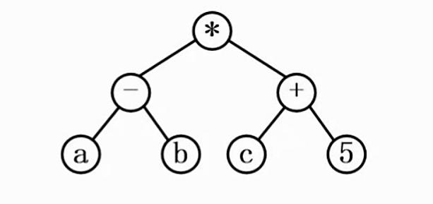
程序语言基础-表达式
- 前缀表达式(+ab)
- 中缀表达式(a+b)
- 后缀表达式(ab+)
例题:
表达式(a-b)*(c+5)的后缀式是(D)。A:a b c 5 + * -B:a b - c + 5 *C:a b c - * 5 +D:a b - c 5 + *
函数调用-传值与传址
(重点)
函数的调用
传值
输出结果是:4 3 3 4
传址
输出结果:4 3 4 3
函数的调用
更多软考自查可在我的”随笔“中查看!!!
愿路途漫长,以后莫失莫忘。 愿你不骄不躁,安稳顺心。
作者:菜鸟-传奇
本文版权归作者和博客园共有,重在学习交流,不以任何盈利为目的,欢迎转载。
敲敲小黑板:《刑法》第二百八十五条 【非法侵入计算机信息系统罪;非法获取计算机信息系统数据、非法控制计算机信息系统罪】违反国家规定,侵入国家事务、国防建设、尖端科学技术领域的计算机信息系统的,处三年以下有期徒刑或者拘役。违反国家规定,侵入前款规定以外的计算机信息系统或者采用其他技术手段,获取该计算机信息系统中存储、处理或者传输的数据,或者对该计算机信息系统实施非法控制,情节严重的,处三年以下有期徒刑或者拘役,并处或者单处罚金;情节特别严重的,处三年以上七年以下有期徒刑,并处罚金。

浙公网安备 33010602011771号