matlab线性规划
线性规划问题
在一组线性约束条件下的限制下,求一线性目标函数最大或最小的问题。
线性规划标准型
-
数学标准型:

可行解:满足约束条件的解矩阵x=[x1,x2,x3,..,xn]。
最优解:是目标函数达到最大值或者最小值的可行解。
可行域:所有可行解构成的集合称为问题的可行解,记为R。
-
matlab标准型:

- f,x,b,beq,lb,ub为列向量
- f称为价值向量
- b称为资源向量
- A,Aeq为矩阵
Matlab线性规划函数——linprog
>> help linprog
linprog - Solve linear programming problems
This MATLAB function solves min f'*x such that A*x ≤ b.
x = linprog(f,A,b)
x = linprog(f,A,b,Aeq,beq)
x = linprog(f,A,b,Aeq,beq,lb,ub)
x = linprog(f,A,b,Aeq,beq,lb,ub,options)
x = linprog(problem)
[x,fval] = linprog(___)
[x,fval,exitflag,output] = linprog(___)
[x,fval,exitflag,output,lambda] = linprog(___)
另请参阅 intlinprog, mpsread, optimoptions, quadprog
linprog 的参考页
- x:返回决策向量的取值
- fval返回目标函数的最优解
- f为价值向量
- A和b对应线性不等式约束
- Aeq和beq对应线性等式约束
- lb和ub分别对应决策向量的下界向量和上界向量
- options是控制参数
例题讲解

-
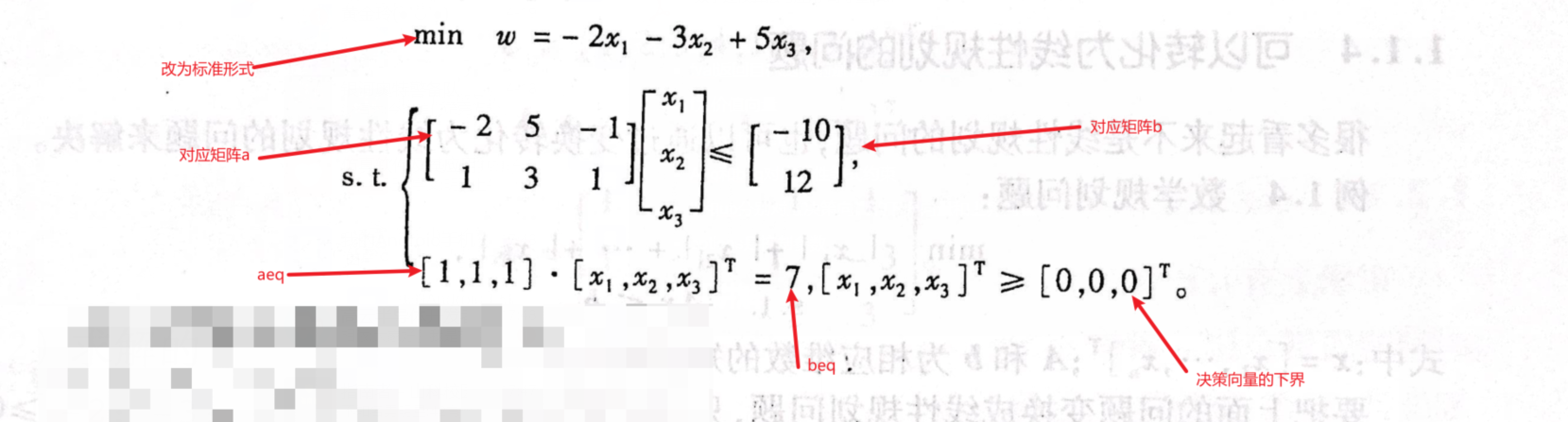
题目分析:
这里求解的最优解是最大值,而matlab里面的标准函数是求最小值为最优解,因此需要对题目进行变形。另外,对最优解的约束同样需要进行整理称为matlab的使用形式。整理结果如下:

-
Matlab****程序实现
f=[-2;-3;5]; a=[-2,5,-1;1,3,1]; b=[-10;12]; aeq=[1,1,1]; beq=7; [x,y]=linprog(f,a,b,aeq,beq,zeros(3,1)); x,y=-y %由于之前将求max最优解变形称为了min,这里的y要求相反的值输出结果:
x=3x1 6.4286 0.5714 0 y=14.5714

-
题目分析
这个题目里面求的最优解为最小值,因此不需要进行转换,只需要对约束条件进行转换即可。在约束条件中,只有线性不等式约束以及决策向量下界向量,没有线性等式约束。转换结果如下:

-
程序实现
f=[2;3;1]; %价值向量是列向量 a=[1,4,2;3,2,0]; b=[8;6]; aeq=[]; beq=[]; [x,y]=linprog(f,-a,-b,aeq,beq,zeros(3,1)) %一定要注意这里的符号 -
特别说明:一定要记住matlab的线性规划标准函数的形式,标准形式里面只有小于等于号,如果程序出现大于号一定要进行变换!!!

浙公网安备 33010602011771号