数据结构初步认识
一、基本概念
1、什么是数据
数据就是能输入到计算机中的且能被计算机处理的各种符号的集合
也可以说数据就是信息在计算机中的具体表示
2、什么是数据元素
数据元素是数据的基本单位
数据元素又由若干个数据项组成
3、什么是数据对象
一组相同性质的数据元素的集合 ,称为数据对象
4、什么是数据结构
数据结构就是数据元素的关系的集合
一般分为逻辑结构和物理结构
逻辑结构分为四种
1)集合 仅仅一组数据元素在同一个集合中,它们之间没有关系
2)线性 用来描述一组1对1关系的数据元素
3)树形 用来描述一组1对多关系的数据元素
4)图形 用来描述一组多对多关系的数据元素
数据结构一般采用二元组的形式定义
【D,S】
D表示数据元素的集合
S表示数据元素关系的集合
例1:集合结构
二元组 :
D:{01,02,03,04,05,06}
s:{}
集合结构中的数据不存在任何的关系

例2:线性结构
二元组:
D:{01,02,03,04,05,06}
S = {<01,04>, <04,06> , <06,02> , <02,05>, <05,03> }
线性结构是描述数据一对一关系的,是有序的,除了第一个元素外每一个元素都有一个直接前驱,除了最后一个元素外每一个元素都有一个直接后继,这种结构叫做线性结构

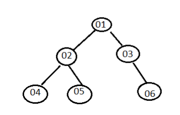
例3:树形结构
二元组:
D = { 01, 02 , 03, 04, 05 , 06}
S = {<01,02> , <01,03> , <02,04>, <02,05> , <03,06>}
树形结构是描述一对多关系的,每个元素有且只有一个直接前驱,每个元素可以有多个直接后继,这种结构叫树形结构

例4:图形结构
二元组:
D = { 01, 02 , 03, 04, 05 , 06}
S = {<01,02> , <01,03>, <02,05>, <05,06> ,<06,02>, <05,04>,<04,05>}
图形结构描述的是数据元素多对多的关系,每个元素可以有多个直接前驱,也可以有多个直接后继,这种结构称为图形结构
数据的物理结构就是逻辑结构在计算机中的存储表示。
它有两种表示形式:
顺序存储,链式存储
顺序存储, 就使用一块连续的存储空间,数据之间紧挨在一起, 数据的前驱与后 续的关系可以通过数据元素在内存中相对位置反映出来
链式存储, 数据元素的存储位置不是连续的, 每个元素保存下个元素的存储位置
抽象数据类型
数据类型 一组性质相同的数据的集合及该数据集合上操作的总称
如 Java 中的 int 类型, 数据的集合: -2147483648~ 2147483647
, 在组数据上的操作: 加,减,乘,除,求余。。。。
抽象数据类型 abstract data type, 简称 ADT 由一组数据模型及该模型上的一组操作组成 抽象数据类型 ADT,仅仅讨论它的逻辑特性,不关心实现
抽象数据类型一般使用一个 三元组表示: ADT = (D,S,P)
D 是数据对象, S 是 D 上的关系, P 是 D 上的操作
定义抽象数据类型,可以使用以下的格式:
ADT 抽象数据类型名{ 数据对象:
<数据对象的定义> 数据关系:
<数据关系的定义> 数据操作:
<基本操作的定义> }
抽象数据类型可以对应一个 Java 类, 数据对象与数据关系可以通过类的成员变量 来 存储和表示, 数据操作可以使用方法来实现。

浙公网安备 33010602011771号