自相关与互相关
自相关与互相关
草稿
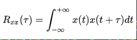
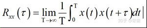
自相关函数


互相关函数

理解:

自相关函数仍为余弦,且频率不变。如果信号是由两个频率与初相角不同的频率分量组成,同样可以证明,余弦信号的自相关函数还是是一个余弦函数。它保留了原信号的频率成分,其频率不变,幅值等于原幅值平方的一半,即等于该频率分量的平均功率,但丢失了相角的信息。
自相关函数具有如下主要性质:
- 自相关函数为偶函数,

,其图形对称于纵轴。因此,不论时移方向是导前还是滞后(τ为正或负),函数值不变; - 当τ=0时,自相关函数具有最大值,且等于信号的均方值;
- 周期信号的自相关函数仍为同频率的周期信号;
- 若随机信号不含周期成分,当τ趋于无穷大时,自相关函数趋于信号平均值的平方。
卷积与互相关的区别:
- 自变量不同
卷积后函数自变量为 t ,指的是时刻(时间);互相关函数自变量为 τ ,指的是两个信号(函数)之间的时间间隔。
- τ 是科学家们的习惯表示方法,不用纠结于此。
- 含义不同(本质差异)
卷积,反映的是之前对于现在的影响;互相关函数,反映的是具有一定时间间隔(不同时发生)的两种事物之间的相关程度。 - 积分对象不同 卷积公式中是对τ 进行积分;互相关公式中是对 t 进行积分的。原因与函数定义有关,不解释了。
卷积与互相关运算的区别:
互相关函数的运算不需要“对称过去”。因为,你在比较两个东西是否相关的时候,干嘛要把其中一个翻过去。
周期函数的自相关函数也为周期函数,并且周期等于原周期函数周期
自相关函数可以找出信号的重复模式(repeating patterns),如被噪声掩盖的周期信号,它常被用于信号处理中,用来分析函数或一系列值
来自 https://blog.csdn.net/weixin_40583722/article/details/125509470
原始信号中隐含了一个正弦函数,但从仿真图可以看出,原始信号已经受到了较强的噪声干扰,信号周期性已经不太明显,但周期信号的自相关函数依旧能够看出很强的周期性。当 τ =0 时自相关最强,表现为自相关函数曲线取值最大;当 τ =T 时,自相关函数取值最大;当 τ =\frac{T}{2} 时,自相关函数取值最小。因此可以通过自相关函数曲线求出收到噪声干扰的周期信号的周期。

浙公网安备 33010602011771号