第六周: 生成式对抗网络
视频学习
1. GAN(生成式对抗网络)
GAN的框架

GAN的工作原理
-
由判别器和生成器组成
-
判别器(Discriminator):区分真实(real)样本和虚假(fake)样本。对于真实样本,尽可能给出高的评分1;对于虚假数据,尽可能给出低的评分0
-
生成器(Generator):欺骗判别器。生成虚假数据,使得判别器D能够尽可能给出高的评分1
-
生成器和判器存在着对抗的关系,通过不断的对抗使最终结果无限接近我们想要的结果
-
随机噪声z:从一个先验分布(人为定义,一般是均匀分布或者正态分布)中随机采样的向量
-
真实样本x:从数据库中采样的样本;合成样本G(z):生成模型G输出的样本
GAN目标函数

GAN训练算法
-
随机初始化生成器和判别器
-
交替训练判别器D和生成器G,直到收敛
(1)步骤1:固定生成器G,训练判别器D区分真实图像与合成图像,赋予真实图像高分,赋予合成图像低分
(2) 步骤2:固定判别器D,训练生成器G欺骗判别器D,更新生成器的参数,使其合成的图片被生成器D赋予高分
重复执行以上两步
GAN训练策略

KL散度与JS散度

极大似然估计

GAN在做的事情
-
最大化判别器损失,等价于计算合成数据分布和真实数据分布的JS散度
-
最小化生成器损失,等价于最小化JS散度(也就是优化生成模型)
2. cGAN(条件生成式对抗网络)
网络结构

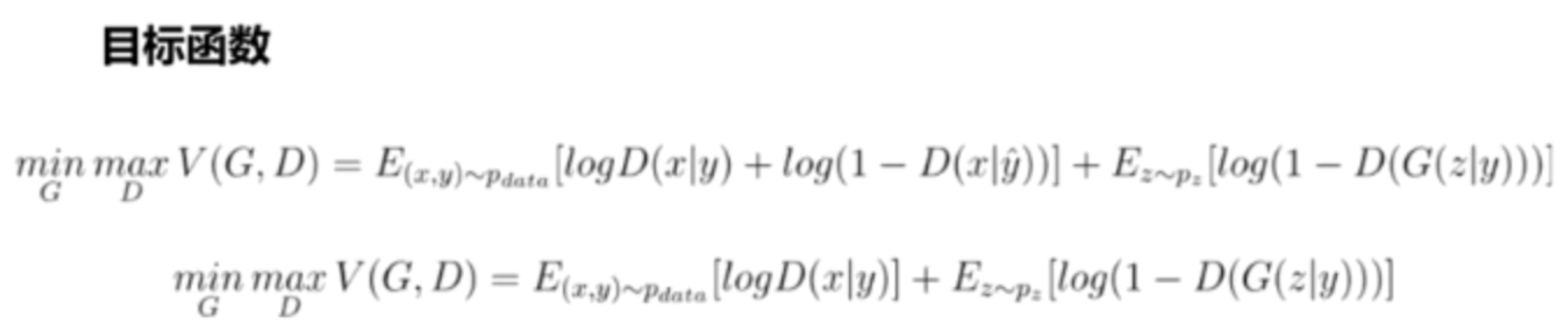
目标函数

3. DcGAN(深度卷积生成式对抗网络)
网络结构(判别器)
-
使用滑动卷积(strided convolution)
-
除了输入层,全部使用批归一化
-
使用Leaky ReLu激活函数
-
除了最后一层,不使用全连接层
网络结构(生成器)
-
使用滑动反卷积(fractional strided convolution)
-
除了输出层,全部使用批归一化
-
使用ReLu激活函数,最后一层使用tanh激活函数
滑动卷积、滑动反卷积:
使得判别器和生成器可以学习自己的上采样和下采样策略
批归一化:
训练更稳定
Tanh激活函数:
更快的学习到真实数据的颜色空间
训练策略
-
数据预处理:所有输入数据归一化到[-1,1]
-
激活函数:Leaky ReLu的斜率设置为0.2
-
初始化:使用均值为0,标准差为0.02的正态分布初始化网络参数
-
优化器:使用Adam优化器,学习率为0.0002,betal=0.5,beta2=0.999
代码练习
GAN
首先借助于 sklearn.datasets.make_moons 库,生成双半月形的数据,同时把数据点画出来。可以看出,数据散点呈现两个半月形状。

- 生成器: 32 ==> 128 ==> 2
- 判别器: 2 ==> 128 ==> 1
生成器生成的是样本,即一组坐标(x,y),我们希望生成器能够由一组任意的 32组噪声生成座标(x,y)处于两个半月形状上。
判别器输入的是一组座标(x,y),最后一层是sigmoid函数,是一个范围在(0,1)间的数,即样本为真或者假的置信度。如果输入的是真样本,得到的结果尽量接近1;如果输入的是假样本,得到的结果尽量接近0。
import torch.nn as nn
z_dim = 32
hidden_dim = 128
# 定义生成器
net_G = nn.Sequential(
nn.Linear(z_dim,hidden_dim),
nn.ReLU(),
nn.Linear(hidden_dim, 2))
# 定义判别器
net_D = nn.Sequential(
nn.Linear(2,hidden_dim),
nn.ReLU(),
nn.Linear(hidden_dim,1),
nn.Sigmoid())
# 网络放到 GPU 上
net_G = net_G.to(device)
net_D = net_D.to(device)
# 定义网络的优化器
optimizer_G = torch.optim.Adam(net_G.parameters(),lr=0.0001)
optimizer_D = torch.optim.Adam(net_D.parameters(),lr=0.0001)
对抗训练过程:
batch_size = 50
nb_epochs = 1000
loss_D_epoch = []
loss_G_epoch = []
for e in range(nb_epochs):
np.random.shuffle(X)
real_samples = torch.from_numpy(X).type(torch.FloatTensor)
loss_G = 0
loss_D = 0
for t, real_batch in enumerate(real_samples.split(batch_size)):
# 固定生成器G,改进判别器D
# 使用normal_()函数生成一组随机噪声,输入G得到一组样本
z = torch.empty(batch_size,z_dim).normal_().to(device)
fake_batch = net_G(z)
# 将真、假样本分别输入判别器,得到结果
D_scores_on_real = net_D(real_batch.to(device))
D_scores_on_fake = net_D(fake_batch)
# 优化过程中,假样本的score会越来越小,真样本的score会越来越大,下面 loss 的定义刚好符合这一规律,
# 要保证loss越来越小,真样本的score前面要加负号
# 要保证loss越来越小,假样本的score前面是正号(负负得正)
loss = -torch.mean(torch.log(1-D_scores_on_fake) + torch.log(D_scores_on_real))
# 梯度清零
optimizer_D.zero_grad()
# 反向传播优化
loss.backward()
# 更新全部参数
optimizer_D.step()
loss_D += loss
# 固定判别器,改进生成器
# 生成一组随机噪声,输入生成器得到一组假样本
z = torch.empty(batch_size,z_dim).normal_().to(device)
fake_batch = net_G(z)
# 假样本输入判别器得到 score
D_scores_on_fake = net_D(fake_batch)
# 我们希望假样本能够骗过生成器,得到较高的分数,下面的 loss 定义也符合这一规律
# 要保证 loss 越来越小,假样本的前面要加负号
loss = -torch.mean(torch.log(D_scores_on_fake))
optimizer_G.zero_grad()
loss.backward()
optimizer_G.step()
loss_G += loss
if e % 50 ==0:
print(f'\n Epoch {e} , D loss: {loss_D}, G loss: {loss_G}')
loss_D_epoch.append(loss_D)
loss_G_epoch.append(loss_G)



可以看出训练结果是十分不理想的,其中,白色的是原来的真实样本,黑色的点是生成器生成的样本。看起来,效果是不令人满意的。现在把学习率修改为 0.001,batch_size改大到250:



loss明显减小了,训练结果比一开始好多了。
CGAN和DCGAN
Conditional Generative Adversarial Nets,简单来说就是条件生成-对抗网络。在生成器以及判别器上它都多了一个标签作为输入。
所以,生成器的输入是噪声和标签,输出还是生成图;判别器的输入是生成图,真实图以及标签,输出还是真和假。
这里epoch我设置为100

CGAN
下面分别是 判别器 和 生成器 的网络结构,可以看出网络结构非常简单,具体如下:
-
生成器:(784 + 10) ==> 512 ==> 256 ==> 1
-
判别器:(100 + 10) ==> 128 ==> 256 ==> 512 ==> 784
可以看出,去掉生成器和判别器那 10 维的标签信息,和普通的GAN是完全一样的。
class Discriminator(nn.Module):
'''全连接判别器,用于1x28x28的MNIST数据,输出是数据和类别'''
def __init__(self):
super(Discriminator, self).__init__()
self.model = nn.Sequential(
nn.Linear(28*28+10, 512),
nn.LeakyReLU(0.2, inplace=True),
nn.Linear(512, 256),
nn.LeakyReLU(0.2, inplace=True),
nn.Linear(256, 1),
nn.Sigmoid()
)
def forward(self, x, c):
x = x.view(x.size(0), -1)
validity = self.model(torch.cat([x, c], -1))
return validity
class Generator(nn.Module):
'''全连接生成器,用于1x28x28的MNIST数据,输入是噪声和类别'''
def __init__(self, z_dim):
super(Generator, self).__init__()
self.model = nn.Sequential(
nn.Linear(z_dim+10, 128),
nn.LeakyReLU(0.2, inplace=True),
nn.Linear(128, 256),
nn.BatchNorm1d(256, 0.8),
nn.LeakyReLU(0.2, inplace=True),
nn.Linear(256, 512),
nn.BatchNorm1d(512, 0.8),
nn.LeakyReLU(0.2, inplace=True),
nn.Linear(in_features=512, out_features=28*28),
nn.Tanh()
)
def forward(self, z, c):
x = self.model(torch.cat([z, c], dim=1))
x = x.view(-1, 1, 28, 28)
return x
训练过程:
# 开始训练,一共训练total_epochs
for epoch in range(total_epochs):
# torch.nn.Module.train() 指的是模型启用 BatchNormalization 和 Dropout
# torch.nn.Module.eval() 指的是模型不启用 BatchNormalization 和 Dropout
# 因此,train()一般在训练时用到, eval() 一般在测试时用到
generator = generator.train()
# 训练一个epoch
for i, data in enumerate(dataloader):
# 加载真实数据
real_images, real_labels = data
real_images = real_images.to(device)
# 把对应的标签转化成 one-hot 类型
tmp = torch.FloatTensor(real_labels.size(0), 10).zero_()
real_labels = tmp.scatter_(dim=1, index=torch.LongTensor(real_labels.view(-1, 1)), value=1)
real_labels = real_labels.to(device)
# 生成数据
# 用正态分布中采样batch_size个随机噪声
z = torch.randn([batch_size, z_dim]).to(device)
# 生成 batch_size 个 ont-hot 标签
c = torch.FloatTensor(batch_size, 10).zero_()
c = c.scatter_(dim=1, index=torch.LongTensor(np.random.choice(10, batch_size).reshape([batch_size, 1])), value=1)
c = c.to(device)
# 生成数据
fake_images = generator(z,c)
# 计算判别器损失,并优化判别器
real_loss = bce(discriminator(real_images, real_labels), ones)
fake_loss = bce(discriminator(fake_images.detach(), c), zeros)
d_loss = real_loss + fake_loss
d_optimizer.zero_grad()
d_loss.backward()
d_optimizer.step()
# 计算生成器损失,并优化生成器
g_loss = bce(discriminator(fake_images, c), ones)
g_optimizer.zero_grad()
g_loss.backward()
g_optimizer.step()
# 输出损失
print("[Epoch %d/%d] [D loss: %f] [G loss: %f]" % (epoch, total_epochs, d_loss.item(), g_loss.item()))


结果十分不理想
DCGAN
class D_dcgan(nn.Module):
'''滑动卷积判别器'''
def __init__(self):
super(D_dcgan, self).__init__()
self.conv = nn.Sequential(
# 第一个滑动卷积层,不使用BN,LRelu激活函数
nn.Conv2d(in_channels=1, out_channels=16, kernel_size=3, stride=2, padding=1),
nn.LeakyReLU(0.2, inplace=True),
# 第二个滑动卷积层,包含BN,LRelu激活函数
nn.Conv2d(in_channels=16, out_channels=32, kernel_size=3, stride=2, padding=1),
nn.BatchNorm2d(32),
nn.LeakyReLU(0.2, inplace=True),
# 第三个滑动卷积层,包含BN,LRelu激活函数
nn.Conv2d(in_channels=32, out_channels=64, kernel_size=3, stride=2, padding=1),
nn.BatchNorm2d(64),
nn.LeakyReLU(0.2, inplace=True),
# 第四个滑动卷积层,包含BN,LRelu激活函数
nn.Conv2d(in_channels=64, out_channels=128, kernel_size=4, stride=1),
nn.BatchNorm2d(128),
nn.LeakyReLU(0.2, inplace=True)
)
# 全连接层+Sigmoid激活函数
self.linear = nn.Sequential(nn.Linear(in_features=128, out_features=1), nn.Sigmoid())
def forward(self, x):
x = self.conv(x)
x = x.view(x.size(0), -1)
validity = self.linear(x)
return validity
class G_dcgan(nn.Module):
'''反滑动卷积生成器'''
def __init__(self, z_dim):
super(G_dcgan, self).__init__()
self.z_dim = z_dim
# 第一层:把输入线性变换成256x4x4的矩阵,并在这个基础上做反卷机操作
self.linear = nn.Linear(self.z_dim, 4*4*256)
self.model = nn.Sequential(
# 第二层:bn+relu
nn.ConvTranspose2d(in_channels=256, out_channels=128, kernel_size=3, stride=2, padding=0),
nn.BatchNorm2d(128),
nn.ReLU(inplace=True),
# 第三层:bn+relu
nn.ConvTranspose2d(in_channels=128, out_channels=64, kernel_size=3, stride=2, padding=1),
nn.BatchNorm2d(64),
nn.ReLU(inplace=True),
# 第四层:不使用BN,使用tanh激活函数
nn.ConvTranspose2d(in_channels=64, out_channels=1, kernel_size=4, stride=2, padding=2),
nn.Tanh()
)
def forward(self, z):
# 把随机噪声经过线性变换,resize成256x4x4的大小
x = self.linear(z)
x = x.view([x.size(0), 256, 4, 4])
# 生成图片
x = self.model(x)
return x


epoch为30结果还是可以的,但是epoch设为100结果很不理想。


浙公网安备 33010602011771号