FFT算法详解
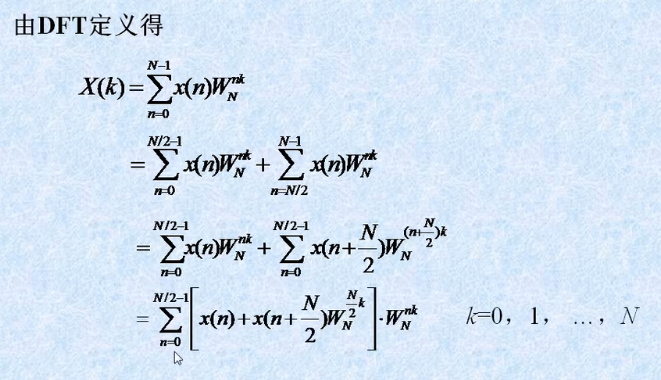
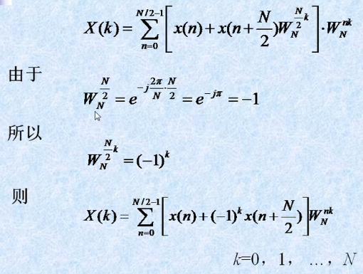
DFT




DIT-FFT (Decimation in time) Base-2




python code:
def CalcDITFFT(data):
n = len(data)
idx = CalcIdx(n)
rotation = CAlcRotatingFactor(n)
# 时间域进行奇偶抽取载入
result = []
for i in idx:
result.append(data[i])
result = np.array(result)
steps = np.int16(np.log2(n)) # 级数
for i in range(steps):
div = 1 << (steps - i - 1)
tmpN = 1 << (i + 1)
tmpN2 = 1 << i # tmpN / 2
tmpN3 = steps - i - 1 # log2(n) - log2(tmpN)
for j in range(div): # 每一个部分进行计算
sI = j * tmpN
mI = sI + tmpN2
eI = (j + 1) * tmpN
# 先进行复数乘法
for q in range(0, tmpN2):
result[q + mI] *= rotation[q << tmpN3]
# 进行复数加法
tmp1 = result[sI: mI] + result[mI: eI]
tmp2 = result[sI: mI] - result[mI: eI]
result[sI: mI] = tmp1
result[mI: eI] = tmp2
return result
测试结果如下:

和参考结果完全吻合。
DIF-FFT (Decimation in frequency) Base-2

推导过程:





python code 如下:
# DIF-FFT算法
def CalcDIFFFT(data):
n = len(data)
rotation = CAlcRotatingFactor(n)
data = np.array(data)
steps = np.int16(np.log2(n)) # 级数
for i in range(steps):
div = 1 << i
tmpN = 1 << (steps - i)
tmpN2 = tmpN >> 1 # tmpN / 2
tmpN3 = i # log2(n) - log2(tmpN)
for j in range(div): # 每一个部分进行计算
sI = j * tmpN
mI = sI + tmpN2
eI = (j + 1) * tmpN
# 先进行复数加法
tmp1 = data[sI: mI] + data[mI: eI]
tmp2 = data[sI: mI] - data[mI: eI]
# 再进行复数乘法
for q in range(0, tmpN2):
tmp2[q] *= rotation[q << tmpN3]
# save
data[sI: mI] = tmp1
data[mI: eI] = tmp2
# 频域奇偶抽取进行复原
idx = CalcIdx(n)
result = np.zeros((n,), dtype=np.complex128)
for i in range(n):
result[idx[i]] = data[i]
return result
测试结果如下:

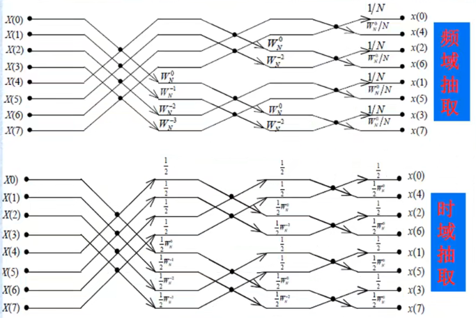
DIF-FFT DIT-FFT 区别

IDFT IFFT

旋转因子指数变极性法


python 代码如下:
# DIT-IFFT算法
# (通过改变DIF-FFT的旋转因子符号,再除以N实现)
def CalcDITIFFT(data):
n = len(data)
rotation = CalcInverseRotatingFactor(n)
data = np.array(data)
steps = np.int16(np.log2(n)) # 级数
for i in range(steps):
div = 1 << i
tmpN = 1 << (steps - i)
tmpN2 = tmpN >> 1 # tmpN / 2
tmpN3 = i # log2(n) - log2(tmpN)
for j in range(div): # 每一个部分进行计算
sI = j * tmpN
mI = sI + tmpN2
eI = (j + 1) * tmpN
# 先进行复数加法
tmp1 = data[sI: mI] + data[mI: eI]
tmp2 = data[sI: mI] - data[mI: eI]
# 再进行复数乘法
for q in range(0, tmpN2):
tmp2[q] *= rotation[q << tmpN3]
# save
data[sI: mI] = tmp1 / 2 # 每一级需要除以1/2
data[mI: eI] = tmp2 / 2
# 时域奇偶抽取进行复原
idx = CalcIdx(n)
result = np.zeros((n,), dtype=np.complex128)
for i in range(n):
result[idx[i]] = data[i]
return result
# DIF-IFFT算法
# (通过改变DIT-FFT的旋转因子符号,再除以N实现)
def CalcDIFIFFT(data):
n = len(data)
idx = CalcIdx(n)
rotation = CalcInverseRotatingFactor(n)
# 频域进行奇偶抽取载入
result = []
for i in idx:
result.append(data[i])
result = np.array(result)
steps = np.int16(np.log2(n)) # 级数
for i in range(steps):
div = 1 << (steps - i - 1)
tmpN = 1 << (i + 1)
tmpN2 = 1 << i # tmpN / 2
tmpN3 = steps - i - 1 # log2(n) - log2(tmpN)
for j in range(div): # 每一个部分进行计算
sI = j * tmpN
mI = sI + tmpN2
eI = (j + 1) * tmpN
# 先进行复数乘法
for q in range(0, tmpN2):
result[q + mI] *= rotation[q << tmpN3]
# 再进行复数加法
tmp1 = result[sI: mI] + result[mI: eI]
tmp2 = result[sI: mI] - result[mI: eI]
result[sI: mI] = tmp1 / 2 # 每一级需要除以1/2
result[mI: eI] = tmp2 / 2
return result
测试结果:


直接调用FFT子程序法

方法一:

方法二:

python code 如下:
# IFFT算法(直接调用FFT模块进行计算)
# 方法一:先去共轭,FFT, 在取共轭,除以N
def CalcIFFT1(data):
data = np.conjugate(data)
tmp = CalcDITFFT(data)
return np.conjugate(tmp) / len(data)
# IFFT算法(直接调用FFT模块进行计算)
# 方法二:FFT, 时间域内进行平移,除以N
def CalcIFFT2(data):
tmp = CalcDITFFT(data)
N = len(data)
tmp1 = []
for n in range(N):
if n == 0:
tmp1.append(tmp[0])
continue
tmp1.append(tmp[N - n])
return np.array(tmp1) / N
测试结果和原始输入数据一致。
实序列的FFT算法(进一步减小计算量)

参考链接
B站链接:
https://www.bilibili.com/video/BV1W7411c7Kc?p=2&spm_id_from=pageDriver
记录每天生活的点点滴滴,呵呵呵呵呵呵


浙公网安备 33010602011771号