代码随想录算法训练营第4天|24. 两两交换链表中的节点 、19.删除链表的倒数第N个节点 、面试题 02.07. 链表相交、142.环形链表II

LeetCode24

2025-01-25 15:05:55 星期六

题目描述:力扣24
文档讲解:代码随想录(programmercarl)24.两两交换链表中的节点
视频讲解:《代码随想录》算法视频公开课:帮你把链表细节学清楚! | LeetCode:24. 两两交换链表中的节点

代码随想录视频内容简记

用虚拟头结点的方式来做

梳理

上图中蓝线表示的执行的反转操作,红色序号表示的每一步反转操作导致消失的的指针

  1. while的循环条件

  2. 反转操作

  3. 设置两个tmp临时的指针为了循环往下遍历

大致代码内容

  1. while (cur->next != NULL && cur->next->next != NULL),,前一个是在链表有偶数个结点的情况,后一个是链表有奇数个结点的情况。这个条件一定不能写反,因为一旦反过来写,如果cur->next为空指针,那么cur->next->next就相当于操作空指针了

  2. 反转操作


tmp = cur->next;
tmp1 = cur->next->next->next;
cur->next = cur->next->next;
cur->next->next = tmp;
cur->next->next->next = tmp1;
  1. 因为为了避免链表结点反转时出现对空指针的操作,所以要设置两个temp指针

LeetCode测试

代码比较好通过

点击查看代码
class Solution {
public:
    ListNode* swapPairs(ListNode* head) {
        ListNode* dummyHead = new ListNode(0);
        dummyHead->next = head;
        ListNode* cur = dummyHead;
        ListNode* tmp;
        ListNode* tmp1;
        while (cur->next != NULL && cur->next->next != NULL) {
            // 交换结点
            tmp = cur->next;
            tmp1 = cur->next->next->next;
            cur->next = cur->next->next;
            cur->next->next = tmp;
            cur->next->next->next = tmp1;
            // 指针后移
            cur = cur->next->next;
        }
        return dummyHead->next;
    }
};

LeetCode19

题目描述:力扣19
文档讲解:代码随想录(programmercarl)19.删除链表的倒数第N个节点
视频讲解:《代码随想录》算法视频公开课:链表遍历学清楚! | LeetCode:19.删除链表倒数第N个节点

代码随想录视频内容简记

这道题仍然使用的是双指针的思想,一个快指针和一个慢指针,和27.移除元素很相近,但是这道题目巧妙的地方在于先让快指针移动n+1步,之后快慢指针同时移动直到快指针为空。这里的原理就是让快指针和慢指针“绑定到一起”,让快指针和慢指针之间的“间隔”是固定的,这样在快指针指向空的时候,慢指针就自然而然指向倒数第N个结点了。

梳理

  1. 首先是定义虚拟头结点,以及对快慢指针的定义。这里使用虚拟头结点就是为了让删除头结点的时候可以有一致的代码逻辑。

  2. 第一个while循环控制先让快指针移动n+1步。如上图,我们确实需要删除slow指针为倒数n=2的结点,但是就因为如此,才需要移动该位置的前驱结点,来对其进行删除。也就是slow需要少移动一个位置,而fast需要多移动一个位置,移到红框所指的实箭头处。

  3. 第二个while循环控制再让快慢指针同时移动

  4. 删除结点

大致代码内容

  1. 快指针先移动。首先进行n++操作,之后进行while (n-- && fast != NULL)

while (n-- && fast != NULL) {
	fast = fast->next;
}
  1. 两个指针同时移动

while (fast != NULL) {
	fast = fast->next;
	slow = slow->next;
}

LeetCode测试

代码比较好通过,就是不要总是忘了dummyHead->next = head,要不然总会报空指针的错误。

点击查看代码
class Solution {
public:
    ListNode* removeNthFromEnd(ListNode* head, int n) {
        ListNode* dummyHead = new ListNode(0);
        ListNode* fast = dummyHead;
        ListNode* slow = dummyHead;
        dummyHead->next = head;
        n++;
        while (n-- && fast != NULL) {
            fast = fast->next;
        }
        while (fast != NULL) {
            fast = fast->next;
            slow = slow->next;
        }
        ListNode* tmp = slow->next;
        slow->next = slow->next->next;
        delete tmp;
        return dummyHead->next;
    }
};

面试题 02.07. 链表相交

题目描述:力扣面试题 02.07. 链表相交
文档讲解:代码随想录(programmercarl)面试题 02.07. 链表相交

内容梳理

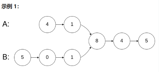
  1. 这个在王道书上见过,之要判断只要中间有一个指针是相同的,那么其后的部分就一定相交,因为指针所指的地址肯定是一样的。因为链表的长度不一样,所以要先在长链表上遍历两个链表之间长度的差

  2. 核心还是双指针的思想,一个负责A链表,一个负责B链表

LeetCode测试

这个题还是有几点值得注意的

  1. 那就是指针相等\(\neq\)数值相等。可以看力扣在题目描述中给出的示例1

刚开始我也很疑惑,为什么不是从1开始的。后来看评论区,这是是假设了一种可能,也就是curA指向的1curB指向的1的地址不一样,但是二者所指向的8的地址是一样的。所以在判断是就要用if (curA == curB)来直接进行判断,而不是if (curA->val == curB->val)

  1. 注意这个循环遍历的终止条件的书写,因为题目要求“如果两个链表没有交点,返回 null”,所以while循环中要同时给出两个情况的return

while (curA != NULL) {
	if (curA == curB) return curA;
	...
}
return NULL;

链表相交完整代码

点击查看代码
class Solution {
public:
    ListNode *getIntersectionNode(ListNode *headA, ListNode *headB) {
        ListNode* curA = headA;
        ListNode* curB = headB;
        int lenA = 0, lenB = 0, lenS;
        while (curA != NULL) {
            lenA++;
            curA = curA->next;
        }
        while (curB != NULL) {
            lenB++;
            curB = curB->next;
        }
        curA = headA;
        curB = headB;
        if (lenB > lenA) {
            swap(lenB, lenA);
            swap(curB, curA);
        }
        lenS = lenA - lenB;
        while (lenS-- && curA != NULL) {
            curA = curA->next;
        }
        // while (curA->val != curB->val) {
        //     curA = curA->next;
        //     curB = curB->next;
        // }
        // return curA;
        while (curA != NULL) {
            if (curA == curB) {
                return curA;
            }
            curA = curA->next;
            curB = curB->next;
        }
        return NULL;
    
    }
};

LeetCode142

题目描述:力扣142
文档讲解:代码随想录(programmercarl)142.环形链表II
视频讲解:《代码随想录》算法视频公开课:把环形链表讲清楚!| LeetCode:142.环形链表II

代码随想录视频简记

梳理

  1. 判断是否有环

    首先是一个快指针,一个慢指针,如果两个指针能出现相等的情况,那说明这个链表一定有环。
    但是如何保证不出现快指针把满指针正好跳过的情况呢?,这里就需要对二者的移动速度进行特殊定义,也就是快指针每次移动两个位置,慢指针每次移动一个位置。这样快指针每次相对于慢指针的移动位数就是1,那么以1个相对位置的距离靠近,就可以保证中间没有跳过。

还有一点就是,注意二者的相遇并不是追及,从动图中可以看出来,快指针中间追上了慢指针,但是仍然会往前走一个距离,而等慢指针再走一个距离。也就是无论是fast还是slow指针,其next操作必须走完才行

  1. 确定环的入口

    这里需要做一些简单的数学推导

    我们假设慢指针首先走过了\(x+y\),而快指针因为在圈内绕过了\(n\)圈,所以快指针走过了\(x+y+n\cdot (y+z)\),而因为二者的速度差异,即快指针是慢指针的速度二倍。所以可列出下面的等式

\begin{align}
2\cdot (x+y) &= x+y+n\cdot (y+z)\notag \\
x+y&=n\cdot (y+z) \notag \\
x &=n\cdot (y+z) - y \notag \\
x &=(n-1)\cdot (y+z)+z \notag
\end{align}

由此,我们便得到了关键的公式。我们可以代入特殊值\(n=1\)发现,\(x=z\),也就是说无论快指针在环内转了多少圈,\(x\)的距离等于\(n-1\)圈加上\(z\)的距离。

那么如果定义一个index1指针指向两个指针相遇的地方,一个index2指向头结点,那么两个指针同时移动,最终相等的地方就是环的入口


这里还有一个问题就是K哥讲到的,为什么慢指针走过的距离不能是\(x+y+k\cdot (y+z)\),就是为什么慢指针在走完第一圈的时候就一定会被快指针追上呢?

可以看到,慢指针从入口进入,在走完第一圈的时候,快指针会以二倍慢指针的速度超过他,所以一定会在慢指针走完第一圈的时候追上慢指针

大致代码内容

注意代码中仍然是指针与指针相等,并不是指针的val


while (fast != NULL && fast->next != NULL) {
	fast = fast->next->next;
	slow = slow->next;
	if (fast == slow) {
		index1 = fast;
		index2 = head;
		while (index1 != index2) {
			index1 = index1->next;
			index2 = index2->next;
		}
		return index1;
	}
}
return NULL;

还有就是为什么需要while (fast != NULL && fast->next != NULL),因为我们需要保证fast = fast->next->next是有意义的,如果fast->next = NULL,那么NULL->next就显然没有意义了。

按照k哥的说法

这么做是为了放心大胆的进行fast = fast->next->next

LeetCode测试

关于时间复杂度

关于代码的时间复杂度,文档中是这么写的,在快慢指针相遇前,快慢指针的元素的平均操作次数小于链表长度n,所以时间度复杂度为\(O(n)\),在相遇之后,index1和index2指针对元素的平均操作操作长度也小于链表长度n,所以时间复杂度也为\(O(n)\),最终的时间复杂度就为\(O(n)\)

环形链表Ⅱ完整代码如下

点击查看代码
class Solution {
public:
    ListNode *detectCycle(ListNode *head) {
        ListNode* fast = head;
        ListNode* slow = head;
        ListNode* index1;
        ListNode* index2;
        while (fast != NULL && fast->next != NULL) {
            fast = fast->next->next;
            slow = slow->next;
            if (fast == slow) {
                index1 = fast;
                index2 = head;
                while (index1 != index2) {
                    index1 = index1->next;
                    index2 = index2->next;
                }
                return index1;
            }
        }
        return NULL;
    }
};
posted on 2025-01-25 17:37  bnbncch  阅读(2500)  评论(0)    收藏  举报