Java Object 类
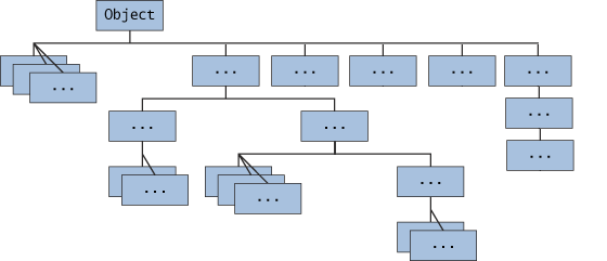
Java Object 类是所有类的父类,也就是说 Java 的所有类都继承了 Object,子类可以使用 Object 的所有方法。

Object 类位于 java.lang 包中,编译时会自动导入,我们创建一个类时,如果没有明确继承一个父类,那么它就会自动继承 Object,成为 Object 的子类。
Object 类可以显示继承,也可以隐式继承,以下两种方式时一样的:
显示继承:
public class TestObj1 extends Object{
}
隐式继承:
public class TestObj2{
}
 
                    
                     
                    
                 
                    
                
 
                
            
         
         浙公网安备 33010602011771号
浙公网安备 33010602011771号