不定积分、定积分与反常积分
不定积分
一、不定积分概念
1.定义
\[\begin{align}
&原函数:设对于区间I上的任意一点x均有F'(x)=f(x),则称F(x)为f(x)在区间I上的一个原函数\\
&不定积分:设函数f(x)于区间I上有原函数,则其余原函数的全体称为f(x)于区间I上的不定积分,记为\int{f(x)dx}\\
&线性:\int[\alpha f(x)+\beta g(x)]dx=\alpha\int f(x)dx+\beta\int g(x)dx\\
\end{align}
\]
2.计算
\[\begin{align}
&计算方法\begin{cases}&1.基本公式\\&2.线性\\&3.积分法\begin{cases}&1.换元法\\&2.分部积分法\\\end{cases}\\\end{cases}\\
\end{align}
\]
(1)第一换元法(凑微分)
\[\begin{align}
&设F'(u)=f(u),则\int{f(\Phi(x))\Phi'(x)}dx=\int{f(\Phi(x))d(\Phi(x))}=F(\Phi(x))+C\\
&注解:找到合适的凑微分\Phi'(x)dx=d(\Phi(x))
\end{align}
\]
常见凑微分:
\[\begin{align}
&1.\int{f(ax+b)dx=\frac{1}{a}\int{f(ax+b)d(ax+b)}}(a\neq0)\\
&eg1.\int{\sin (2x+3)}dx=\frac{1}{2}\int\sin (2x+3)d(2x+3)=\frac{1}{2}\cos{(2x+3)}+C\\\
&2.\int{f(ax^n+b)x^{n-1}dx}=\frac{1}{na}\int{f(ax^n+b)d(ax^n+b)}\\
&eg2.\int{\cos(2x^4+3)x^3dx}=\frac{1}{4*2}\int{\cos(2x^4+3)d(2x^4+3)}=\frac{1}{8}\cos{(2x^4+3)}+C\\
&3.\int{f(a^x+c)a^xdx}=\frac{1}{\ln{a}}\int{f(a^x+c)}d(a^x+c)\\
&eg3.\int{\sin(2^x+3)2^xdx}=\frac{1}{\ln2}\int{\sin{(2^x+3)}d(2^x+3)}=\frac{1}{\ln 2}\cos{(2^x+3)}\\
&4.\int{f(\frac{1}{x})\frac{1}{x^2}}dx=-\int{f(\frac{1}{x})}d(\frac{1}{x})\\
&eg4.\int{\ln(\frac{1}{x})}\frac{1}{x^2}dx=-\int\ln (\frac{1}{x})d({\frac{1}{x}})+C\\
&5.\int{f(\ln |x|})\frac{1}{x}d(x)=\int{f(\ln{|x|)}}{d(\ln|x|)}\\
&eg5.\int{\sin ({\ln{|x|}}})\frac{1}{x}dx=\int{\sin(\ln(|x|)d(\ln{|x|})}=\cos(\ln x)+C\\
&6.\int{f(\sqrt x)\frac{1}{\sqrt x}}dx=2\int{f(\sqrt x)}d(\sqrt x)\\
&7.\int f(\sin x)\cos xdx=-\int{(\sin x)}d(\sin x)\\
&8.\int{f(\cos x)\sin dx}=\int{f(\cos x)d(\cos x)}\\
&9.\int{f(\tan x)\sec^2 xdx}=\int{f(\tan x)d(\tan x)}\\
&10.\int{f(\cot x)\csc^2xdx}=-\int{f(\cot x)d{(\cot x)}}\\
&11.\int{f{(\arcsin x)\frac{1}{\sqrt{1-x^2}}}}dx=\int{f(\arcsin x)d({\arcsin x})}\\
&12.\int{f(\arccos x)(-\frac{1}{\sqrt{1-x^2}}})dx=\int{f(\arccos x)d(\arccos x)}\\
&13.\int{f(\arctan x)\frac{1}{1+x^2}dx}=\int{f(\arctan x)d(\arctan x)}\\
&14.\int{f(\sqrt{x^2+a})}\frac{x}{\sqrt{x^2+a}}dx=\int{f(\sqrt{x^2+a})}d(\sqrt{x^2+a})\\
&注解:(\sqrt{x^2\pm a})'=\frac{x}{\sqrt{x^2+a}},(\sqrt{a^2-x^2})'=\frac{-x}{\sqrt{a^2-x^2}}\\
\end{align}
\]
(2)第二换元法
\[\begin{align}
&设F'(u)=f(\Phi(u))\Phi'(u),则\\
&\int{f(x)dx}\overset{x=\Phi(u)}{=}\int{f(\Phi(u))\Phi'(u)du}=F(u)+C=F(\Phi^{-1}(x))+C\\
&注解:找到合适的x=\Phi(u)\\
\end{align}
\]
1)三角换元
\[\begin{align}
&x=a\sin u,x=a\tan u,x=a \sec u\\
&\sqrt{a^2-x^2}\overset{x=a\sin u}{=}a\cos u,u\in[-\frac{\pi}{2},\frac{\pi}{2}],x\in[-a,a]\\
&\sqrt{a^2+x^2}\overset{x=a\tan u}{=}a\sec u,u\in{(-\frac{\pi}{2},\frac{\pi}{2})},x\in{(-\infty,\infty)}\\
&\sqrt{x^2-a^2}\overset{x=a\sec u}{=}a\tan u,u\in(\frac{\pi}{2},\pi]\cup(0,\frac{\pi}{2}]\\
\end{align}
\]
2)倒变换
\[\begin{align}
&x=\frac{1}{u}常用于含\frac{1}{x}的函数\\
\end{align}
\]
3)指数(或对数)变换
\[\begin{align}
&a^x=u或x=\frac{\ln u}{\ln a}常用于含a^x的函数\\
\end{align}
\]
4)用于有理化的变换
\[\begin{align}
&\frac{1}{\sqrt{x}+\sqrt[3]{x}}用x=u^6\\
&\sqrt[n]{\frac{ax+b}{cx+d}}用u=\sqrt[n]{\frac{ax+b}{cx+d}}或x=-\frac{du^n-b}{cu^n-a}\\
\end{align}
\]
(3)分部积分法
\[\begin{align}
&\int{u(x)v'(x)dx}=\int{u(x)d(v(x))}=u(x)v(x)-\int{v(x)u'(x)dx}\\
&注解:找到合适的u(x),v(x)\\
\end{align}
\]
1)降幂法
\[\begin{align}
&\int{x^ne^{ax}dx},\int{x^n\sin axdx},\int{x^n\cos ax dx}\\
&取u(x)=x^n\\
\end{align}
\]
2)升幂法
\[\begin{align}
&\int{x^a\ln xdx},\int{x^a\arcsin xdx},\int{x^a\arccos x dx},\int{x^a\arctan x dx}\\
&取u(x)=\ln x\\
\end{align}
\]
3)循环法
\[\begin{align}
&\int{e^{ax}\sin ax dx},\int{e^{ax}\cos {ax} dx}\\
&取u(x)=e^{ax}或\sin{ax}
\end{align}
\]
4)递推公式法
\[\begin{align}
&与n有关的结果I_n,建立递推关系I_n=f(I_{n-1})或f(I_{n-2})\\
\end{align}
\]
定积分
一、定积分概念
1.定义
\[\begin{align}
&定义:设函数f(x)在区间[a,b]上有定义且有界\\
&(1)分割:将[a,b]分成n个[x_{i-1},x_{i}]小区间\\
&(2)求和:[x_{i-1},x_{i}]上取一点\xi_{i},\sum_{i=1}^{n}{f(\xi_{i})\Delta x_i},\lambda=\max{\Delta x_{1},\Delta x_{2},...,\Delta x_{n}}\\
&(3)取极限:若\lim_{\lambda \rightarrow 0}{\sum_{i=1}^{n}f(\xi_{i})\Delta x}\exist,且极值不依赖区间[a,b]分发以及点\xi_{i}的取法,则称f(x)在区间[a,b]上可积,\\
&\int^{b}_{a}{f(x)dx}=\lim_{\lambda \rightarrow 0}{f(\xi)\Delta x_{i}}
&\\
&注解:\\
&(1)\lambda \rightarrow0 \rightarrow \nleftarrow n\rightarrow \infty\\
&(2)定积分表示一个值,与积分区间[a,b]有关,与积分变化量x无关\\
&\int_{a}^{b}{f(x)dx}=\int_{a}^{b}{f(t)dt}\\
&(3)如果积分\int_{0}^{1}{f(x)dx}\exist,将[0,1]n等分,此时\Delta{x_{i}}=\frac{1}{n},取\xi_{i}=\frac{i}{n},\\
&\int_{0}^{1}f(x)dx=\lim_{\lambda \rightarrow 0}{\sum_{i=1}{n}{f(\xi_{i})\Delta x_{i}}}=\lim_{n\rightarrow \infty}\sum_{i=1}^{n}f(\frac{i}{n})\\
\end{align}
\]
\[\begin{align}
&\int^{b}_{a}{f(x)dx}=\lim_{\lambda \rightarrow 0}\sum^{n}_{i=1}f(\xi_i)\Delta_i=\begin{cases}&\lim_{n\rightarrow \infty}{\sum_{i=1}^{n}{f(a+(i-1)\frac{b-a}{n})\frac{b-a}{n}}},左侧\\&\lim_{n\rightarrow \infty}{\sum_{i=1}^{n}{f(a+i\frac{b-a}{n})\frac{b-a}{n}}},右侧\\\end{cases}\\
&中点:\Phi_i=a+(i-1)\frac{b-a}{n}+\frac{b-a}{2n}\\
\end{align}
\]

定理:(线性)
\[\begin{align}
&\int[\alpha f(x)+\beta g(x)]dx=\alpha\int f(x)dx+\beta\int g(x)dx\\
\end{align}
\]
注解:积分无小事
\[\begin{align}
&\int{e^{\pm x^2}dx,\int{\frac{\sin x}{x}}}积不出来\\
&F'(x)=f(x),x\in I,连续函数一定存在原函数,无穷多个\\
&[F(x)+C]'=f(x)
\end{align}
\]
2.定积分存在的充分条件
\[\begin{align}
&若f(x)在[a,b]上连续,则\int^{b}_{a}{f(x)dx}必定存在\\
&若f(x)在[a,b]上有上界,且只有有限个间断点,则\int^{b}_{a}{f(x)dx}必定存在\\
&若f(x)在[a,b]上只有有限个第一类间断点,则\int^{b}_{a}{f(x)dx}必定存在\\
\end{align}
\]
3.定积分的几何意义

\[\begin{align}
&(1)f(x)\geqslant{0},\int_{a}^{b}{f(x)dx}=S\\
\end{align}
\]

\[\begin{align}
&(2)f(x)\leqslant{0},\int_{a}^{b}{f(x)dx}=-S\\
\end{align}
\]

\[\begin{align}
&(3)f(x)\geqslant{0}\cup f(x)\leqslant{0},\int_{a}^{b}{f(x)dx}=S_1+S_3-S_2\\
\end{align}
\]
注解:
\[\begin{align}
&(1)当f(x)\geq0时,定积分的几何意义是,以区间[a,b]为底,y=f(x)为曲边的曲边梯形面积\\
&(2)定积分是一个常数,只与f和区间[a,b]有关,与积分变量用什么字母无关\\
&\int_a^b{f(x)}dx=\int_a^b{f(t)dt}\\
&(3)\int_a^bdx=b-a\\
&(4)\int_{a}^{a}f(x)=0,\int_a^bf(x)dx=-\int_b^a{f(t)}dt
\end{align}
\]
二、定积分的性质
1.不等式性质
\[\begin{align}
&(1)保序性:若在区间[a,b]上f(x)\leqslant{g(x)},则\int_a^{b}{f(x)dx}\leqslant{\int_a^{b}{g(x)dx}}\\
&推论:\\
&(1)f(x)\geq0,\forall x\in[a,b],则\int_a^b{f(x)dx}\geq0\\
&(2)f(x)\geq0,\forall x\in[a,b],且[c,d]\subset[a,b],则\int_a^b{f(x)dx}\geq\int_c^d{f(x)dx}\\
&(3)|\int_a^bf(x)dx|\leq\int_a^b{|f(x)|dx}\\
&-|f|\leq f\leq |f|\Rightarrow \int_a^b-|f|\leq \int_a^bf\leq \int_a^b|f|\Rightarrow |\int_a^bf|\leq\int_a^b|f|\\
&如:x^2\leq x^3,x\in[0,1],则\int_0^1{x^3dx}\leq\int_0^1{x^2dx}\\
\end{align}
\]
\[\begin{align}
&(4)(估值不等式)若M及m分别是f(x)在[a,b]上的最大值和最小值,\\
&则m(b-a)\leqslant{\int_a^{b}{f(x)dx}\leqslant{M(b-a)}}\\
\end{align}
\]

\[\begin{align}
&证明:M(b-a)=S_{AFDC}=S_1+S_2+S_3\\
&m(b-a)=S_{EBDC}=S_3\\
&\int_a^{b}{f(x)dx}=S_{ADBC}=S_2+S_3\\
&S_3\leqslant{S_2+S_3\leqslant{S_1+S_2+S_3}}\\
&\Leftrightarrow{m(b-a)\leqslant{\int_a^{b}{f(x)dx}\leqslant{M(b-a)}}}\\
\end{align}
\]
\[\begin{align}
&(3)|\int_a^{b}{f(x)dx}|\leqslant{\int_a^{b}{|f(x)|dx}}\\
\end{align}
\]
2.中值定理
\[\begin{align}
&(1)若f(x)在[a,b]上连续,则\int_a^{b}{f(x)dx}=f(\xi)(b-a),(a<\xi<b)\\
&称\frac{1}{b-a}{\int_{a}^{b}{f(x)dx}为函数y=f(x)在区间[a,b]上的平均值}\\
&注解:F'(x)=f(x),F(b)-F(a)=\int_a^b{f(x)dx},f(\xi)(b-a)=F'(\xi)(b-a)\\
&(2)若f(x),g(x)在[a,b]上连续,g(x)不变号,则\int_{a}^{b}{f(x)g(x)dx}=f(\xi)\int_a^b{g(x)dx}\\
\end{align}
\]
注解:
\[\begin{align}
&\int_0^1{\frac{x}{\sin x}}dx\\
&f(x)=\begin{cases}&\frac{x}{\sin x},x\in[0,1]\\&1,x=0\\\end{cases}\\
&结论:有限处点的函数不影响定积分\\
&f(x)={\begin{cases}&x+1,[1,2]\\&x,[0,1]\\\end{cases}}\\
&\int_0^2{f(x)dx}=\int_0^1{xdx}+\int_1^2{(x+1)dx}\\
\end{align}
\]
\[\begin{align}
&证明:\frac{1}{2}\leq\int_0^{\frac{1}{2}}\frac{1}{\sqrt{1-x^n}}dx\leq\frac{\pi}{6}\\
&估值积分:x\in[0,\frac{1}{2}]\\
&\\
\end{align}
\]
例题:
\[\begin{align}
&1.求极限\lim_{n\rightarrow \infty}\int_0^1{\frac{x^ne^x}{1+e^x}dx}\\
&根据积分容易知道0\leq\frac{x^ne^x}{1+e^x}\leq x^n,x\in[0,1],n\in N^*\\
&用积分的保号性\\
&0\leq\int_0^1{\frac{x^ne^x}{1+e^x}dx}\leq \int_0^1{x^n}dx=\frac{1}{n+1}\\
&用夹逼定理\\
&\lim_{n\rightarrow\infty}\frac{1}{n+1}=0\\
&\lim_{n\rightarrow \infty}\int_0^1{\frac{x^ne^x}{1+e^x}dx}=0\\
\end{align}
\]
\[\begin{align}
&2.设I_1=\int_0^{\frac{4}{\pi}}\frac{\tan x}{x}dx,I_2=\int_0^{\frac{4}{\pi}}\frac{x}{\tan x}dx则\\
&(A)I_1I_21(B)1I_1I_2(C)I_2I_11(D)1I_2I_1\\
&解:用保序性a<b,f(x)\leq g(x),\int_a^b f(x)\leq \int_a^b g(x)\\
&\tan xx,x\in[0,\frac{\pi}{2}]\\
&\frac{\tan x}{x}1\frac{x}{\tan x},x\in[0,\frac{\pi}{4}]\\
&根据保序性\\
&\int_0^{\frac{\pi}{4}}\frac{\tan x}{x}dx\int_0^{\frac{\pi}{4}}1dx=\frac{\pi}{4}\int_0^{\frac{\pi}{4}}\frac{x}{\tan x},x\in[0,\frac{\pi}{4}]\\
&证:\int_0^{\frac{\pi}{4}}\frac{\tan x}{x}与1的关系\\
&积分中值定理\\
&\int_0^{\frac{\pi}{4}}\frac{\tan x}{x}=f(\xi)(\frac{\pi}{4}-0)=\frac{\tan \xi}{\xi}*\frac{\pi}{4},\xi\in{[0,\frac{\pi}{4}]}\\
&根据\frac{\tan x}{x}在x\in[0,\frac{\pi}{4}]上单调递增\\
&0<f(\xi)<\frac{4}{\pi},0<\int_0^{\frac{\pi}{4}}\frac{\tan x}{x}<1\\
&选(B)\\
\end{align}
\]
三、积分上限函数

\[\begin{align}
&如果f(x)在区间[a,b]上连续,则\Phi(x)=\int_a^b{f(t)dt}在[a,b]上可导,且\int_a^b{f(t)dt})\\
&(\int_a^xf(t)dt)'=f(x),(\int_a^{x^2}f(t)dt)'=f(x^2)*2x\\
&如果f(x)在区间[a,b]上连续,\phi_1(x),\phi_2(x)为可导函数,则\Phi(x)=\int_a^b{f(t)dt}在[a,b]上可导,且(\int_{\phi_1(x)}^{\phi_2(x)}{f(t)dt})'\\
&=f[\phi_2(x)]*\phi_2'(x)-f[\phi_1(x)]*\phi_1'(x)=(\int_{\phi_1(x)}^0{f(t)dt}+\int_{\phi_2(x)}^0{f(t)dt})'\\
&设函数f(x)在[-l,l]上连续,则\\
&如果f(x)为奇函数,那么\int_0^xf(t)dt必为偶函数\\
&如果f(x)为偶函数,那么\int_0^xf(t)dt必为奇函数\\
\end{align}
\]
\[\begin{align}
&任取x\in[a,b),取\Delta x0,使x+\Delta x\in[a,b)\\
&\frac{\Delta F}{\Delta x}=\frac{F(x+\Delta x)-F(x)}{\Delta x}=\frac{1}{\Delta x}[\int_a^{x+\Delta x}f(t)dt-\int_a^xf(t)dt]=\frac{1}{\Delta x}\int_x^{x+\Delta x}f(t)dt=f(x+\sigma\Delta x)\rightarrow f(x)(\Delta x\rightarrow 0^+)\\
\end{align}
\]
推论:
\[\begin{align}
&若f(x)、\phi'(x)、\psi(x)于[a,b]上连续,则\\
&(1)(\int_a^{\phi(x)}f(t)dt)'=f(\phi(x))\phi'(x)\\
&(2)(\int_b^{\psi(x)}f(t)dt)'=-f(\psi(x))\psi'(x)\\
&(3)(\int_{\psi(x)}^{\phi(x)}f(t)dt)'=f(\phi(x))\phi'(x)-f(\psi(x))\psi'(x)\\
\end{align}
\]
例题
\[\begin{align}
&1.设函数f(x)在R上连续,且是奇函数,则其原函数均是偶函数.当f(x)是偶函数时?是周期函数?\\
&证:\\
&令F_0(x)\int_0^xf(t)dt,x\in R\\
&F_0(-x)=\int_0^{-x}f(t)dt\overset{t=-u}{=}\int_0^xf(-u)d(u)=\int_0^xf(u)du=F_0(x)\Rightarrow F_0(x)为偶函数\\
\end{align}
\]
\[\begin{align}
&求变现积分导数\\
&(1)F(x)=\int_x^{e^{-x}}f(t)dt\\
&(2)F(x)=\int_0^{x^2}(x^2-t)f(t)dt\\
&(3)F(x)=\int_0^{x}f(x^2-t)dt\\
&(4)设函数y=y(x)由参数方程\begin{cases}&x=1+2t^2\\&y=\int_1^{1+2\ln t}\frac{e^u}{u}du\\\end{cases}(t1),求\frac{d^2y}{dx^2}|_{x=9}\\
&解:\\
&(1)F(x)'=(\int_x^{e^{-x}}f(t)dt)'=f(e^{-x})(-e^{-x})-f(x)\\
&(2)F(x)'=(\int_0^{x^2}(x^2-t)f(t)dt)'=(\int_0^{x^2}x^2f(t)dt-\int_0^{x^2}tf(t)dt)'\\
&=2x\int_0^{x^2}f(t)dt+x^2f(x^2)2x-x^2f(x^2)2x=2x\int_0^{x^2}f(t)dt\\
&(3)F(x)=\int_0^{x}f(x^2-t)dt=-\frac{1}{2}\int_0^xf(x^2-t^2)d(x^2-t^2)\overset{u=x^2-t^2}{=}-\frac{1}{2}\int_0^xf(u)du\\
&F(x)'=\frac{1}{2}f(x^2)2x=xf(x^2)\\
&(4)\frac{dy}{dx}=\frac{\frac{e^{1+2\ln t}}{1+2\ln t}\frac{2}{t}}{4t^2}=\frac{e}{2(1+2\ln t)}\\
&\frac{d^2y}{dx^2}=\frac{d(\frac{dy}{dx})}{dx}=\frac{e}{2}(-\frac{\frac{2}{t}}{(1+2\ln t)^2})\frac{1}{4t}\\
\end{align}
\]
\[\begin{align}
&2.求变现积分的积分:\\
&(1)设f(x)=\int_0^x{\frac{\sin t}{\pi -t}dt},求\int_0^\pi{f(x)}dx\\
&解:\\
&\int_0^\pi{f(x)}dx=\int_0^{\pi}\int_0^x\frac{\sin t}{\pi -t}dt\space dx\\
&=x\int_0^x\frac{\sin t}{\pi t}|_0^{\pi}-\int_0^{\pi}x\frac{\sin x}{\pi -x}dx\\
&=\pi\int_0^{\pi}\frac{\sin x}{\pi t}+\int_0^{\pi}\frac{[(\pi-x)-\pi]\sin x}{\pi-x}dx=\int_0^{\pi}\sin xdx=2\\
&(2)\lim_{x\rightarrow\infty}{\frac{(\int_0^x{e^{t^2}}dt)^2}{\int_0^xe^{2t^2}dt}}=\lim_{x\rightarrow\infty}{\frac{(2\int_0^{x}e^{t^2}dt)e^{x^2}}{e^{2x^2}}}=\lim_{x\rightarrow\infty}\frac{2\int_0^{x}e^{t^2}}{e^{x^2}}=\lim_{x\rightarrow\infty}\frac{1}{2x}=0\\
\end{align}
$$ { }
\]
\begin{align}
&(3)设f(x)连续,\phi(x)=\int_0^1{f(tx)dt},且\lim_{x\rightarrow0}\frac{f(x)}{x}=A(常数),求\phi'(x)并讨论\phi'(x)在x=0处的连续性\
&当x\neq0时\
&令u=tx,t\in[0,1],u=tx\in[0,x],\phi(x)=\int_01f(tx)dt\overset{tx=u}{=}\int_0x{f(u)d(\frac{u}{x})}=\frac{\int_0^xf(u)du}{x}\
&\phi'(x)=\frac{xf(x)-\int_0xf(u)du}{x2}\
&当x=0时,f(0)=0,\phi(0)=f(0)=0,\phi'(0)=\lim_{x\rightarrow0}\frac{\phi(x)\phi(0)}{x-0}=\lim_{x\rightarrow0}\frac{\int_0xf(u)du}{x2}=\lim_{x\rightarrow 0}\frac{f(x)}{2x}=\frac{1}{2}A\
&\lim_{x\rightarrow0}\phi'(x)=\lim_{x\rightarrow 0}{\frac{xf(x)-\int_0xf(u)du}{x2}}=A-\frac{1}{2}A=\frac{1}{2}A=\phi'(0)\Leftrightarrow\phi'(x)在x=0处连续\
\end{align}
\[
注解:
\]
\begin{align}
&注意变限积分进行正逆运算时上下限的映射\
&例如F(x)=\int_0x{f(t)dt}\overset{t=-u}{=}\int_{-a}f(-u)d(-u)\
\end{align}
\[
### 四、定积分的计算
#### 1.牛顿莱布尼茨公式
\]
\int_abf(x)dx=F(x)|_ab=F(b)-F(a)
\[
#### 2.换元积分法
\]
\int_abf(x)dx=\int_\alpha\beta{f(\Phi(t))\Phi'(t)dt}
\[
#### 3.分部积分法
\]
\int_abudv=uv|_ab-\int_a^bvdu
\[
#### 4.奇偶性和周期性
\]
\begin{align}
&直接使用奇偶性周期性定义证明\
&(1)设f(x)为[-a,a]上的连续函数(a0),则\
&\int_{-a}{a}f(x)dx=\begin{cases}0,&f(x)奇函数\2\int_0^af(x)dx,&f(x)偶函数\end{cases}\
&证:\int_{-a}0{f(x)dx}\overset{x=-t}{=}\int_0a{f(-t)d(-t)}=-\int_{0}{a}f(t)d(t)=-\int_0a{f(x)dx}\
\end{align}
\[
\]
\begin{align}
&(2)设f(x)是以T为周期的连续函数,则对\forall A,有\int_a{a+T}f(x)=\int_0T{f(x)dx}\
&\int_a{a+T}f(x)dx\overset{x=a+t}{=}\int_0T{f(a+t)d(a+t)}=\int_0^{a+t}f(a+t)dt\
\end{align}
\[
\]
\begin{align}
&\Phi:x\in[a,b]\rightarrow y\in[c,d],令\frac{x-a}{b-a}=\frac{y-c}{d-c},y=c+\frac{d-c}{b-a}(x-a)\
\end{align}\
\[

#### 5.奇偶函数积分后的奇偶性(奇偶函数求导后的奇偶性)
##### 1.奇偶函数求导后的奇偶性
\]
\begin{align}
&(1)f(x)为奇函数:\
&f(-x)=-f(x)\
&\Leftrightarrow f'(-x)(-1)=-f'(x)\
&\Leftrightarrow f'(-x)=f'(x)\
&\Leftrightarrow f'(x)为偶函数\
&(2)f(x)为偶函数:\
&f(-x)=f(x)\
&\Leftrightarrow f'(-x)=f'(x)\
&\Leftrightarrow f'(-x)(-1)=f'(x)\
&\Leftrightarrow f'(-x)=-f'(x)\
&\Leftrightarrow f'(x)为奇函数\
\end{align}
\[
##### 2.奇偶函数求积分后的奇偶性
\]
\begin{align}
&设F(x)为f(x)的原函数\
&(1)f(x)为奇函数:\
&f(-x)=-f(x)\
&\Leftrightarrow \int f(-x)dx=-\int f(x)dx\
&\Leftrightarrow -\int f(-x)d(-x)=-\int f(x)dx\
&\Leftrightarrow F(-x)=F(x)\
&\Leftrightarrow F(x)为偶函数\
&(2)f(x)为偶函数:\
&f(-x)=f(x)\
&\Leftrightarrow \int f(-x)dx=\int f(x)dx\
&\Leftrightarrow -\int f(-x)d(-x)=\int f(x)dx\
&\Leftrightarrow F(-x)=-F(x)\
&\Leftrightarrow F(x)为奇函数\
\end{align}
\[
##### 3.奇偶函数复合后的奇偶性
\]
\begin{align}
&\exist f(x),g(x),F(x)=f(g(x))\
&设f(x)为奇函数\
&(1)g(x)为偶函数\
&F(-x)=f(g(-x))=f(g(x))=F(x),F(x)为偶函数\
&(2)g(x)为奇函数\
&F(-x)=f(g(-x))=f(-g(x))=-f(g(x))=-F(x),F(x)为奇函数\
&设f(x)为偶函数\
&(1)g(x)为奇函数\
&F(-x)=f(g(-x))=f(g(x))=F(x),F(x)为偶函数\
&(2)g(x)为偶函数\
&F(-x)=f(g(-x))=f(g(x))=F(x),F(x)为偶函数\
&注解:外偶全偶,外奇奇偶\
\end{align}
\[
例题:
\]
\begin{align}
&1.设M=\int_{-\frac{\pi}{2}}^{\frac{\pi}{2}}{\frac{\sin x}{1+x2}\cos4xdx},N=\int_{-\frac{\pi}{2}}^{\frac{\pi}{2}}{(\sin x3+\cos4x)dx},P=\int_{-\frac{\pi}{2}}{\frac{\pi}{2}}(x2\sin3x-\cos4x)dx,则\
&(A)N<P<M(B)M<P<N(C)N<M<P(D)P<M<N\
&根据对称性判断\
&M:f_M(x)为奇函数,F_M(x)为偶函数\
&N:N=\int_{-\frac{\pi}{2}}^{\frac{\pi}{2}}{(\sin x3+\cos4x)dx}=\int_{-\frac{\pi}{2}}^{\frac{\pi}{2}}\sin 3xdx+\int_{-\frac{\pi}{2}}{2}}\cos ^4xdx\
&\int_{-\frac{\pi}{2}}^{\frac{\pi}{2}}\sin 3xdx=0,\int_{-\frac{\pi}{2}}{2}}\cos ^4xdx\geq 0,\Rightarrow N\geq 0\
&P:P=\int_{-\frac{\pi}{2}}{\frac{\pi}{2}}(x2\sin3x-\cos4x)dx=\int_{-\frac{\pi}{2}}{\frac{\pi}{2}}x2\sin3xdx-\int_{-\frac{\pi}{2}}{2}}\cos^4xdx\
&\int_{-\frac{\pi}{2}}{\frac{\pi}{2}}x2\sin3xdx=0,\int_{-\frac{\pi}{2}}{2}}\cos^4xdx\geq0,\Rightarrow P\leq0\
&\Leftrightarrow P<M<N,\space\space选(D)\
\end{align}
\[
\]
\begin{align}
&2.设f(x)=\begin{cases}&kx,0\leq x\leq \frac{1}{2}a\&c,\frac{1}{2}a<x\leq a\\end{cases},求F(x)=\int_0^xf(t)dt,x\in[0,a]\
&F(x)=\begin{cases}&\int_0xktdt=\frac{1}{2}kt2|_0x=\frac{1}{2}kx2,0\leq x\leq \frac{1}{2}a\&\int_0{\frac{1}{2}a}ktdt+\int_{\frac{1}{2}a}c cdt=\frac{1}{8}ka2+c2-\frac{1}{2}ac,\frac{1}{2}a<x\leq a\\end{cases}\
\end{align}
\[
\]
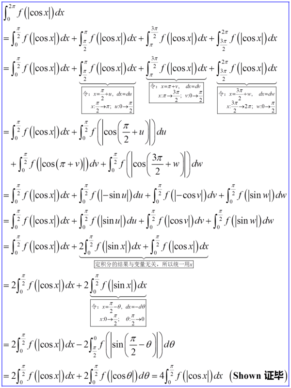
\begin{align}
&3.证明:\int_0^{2\pi}f(|\cos x|)dx=4\int_0^{\frac{\pi}{2}}f(|\cos x|)dx\
\end{align}
\[

#### 6.已有公式
\]
\begin{align}
&(1)\int_0{\frac{\pi}{2}}{\sinnxdx=\int_0{\frac{\pi}{2}}\cosn xdx=\begin{cases}\frac{n-1}{n}\frac{n-3}{n-2}...\frac{1}{2}\frac{\pi}{2},&n为偶数\\frac{n-1}{n}\frac{n-3}{n-2}...*\frac{2}{3},&n为大于1的奇数\\end{cases}}\
&(2)\int_0^{\pi}xf(\sin x)dx=\frac{\pi}{2}\int_0^{\pi}f(\sin x)dx(f(x)为连续函数)\
\end{align}
\[
#### 7.与定积分有关的证明
#### 8.经典例题:
##### 例题1:
\]
\begin{align}
&\lim_{n\rightarrow \infty}{(\frac{1}{n+1}+\frac{1}{n+2}+...+\frac{1}{n+n})}\
&法1:夹逼定理+基本不等式\
&\frac{1}{1+x}<\ln(x+1)<x\
&令x=\frac{1}{n}\
&得\frac{1}{n+1}=\frac{\frac{1}{n}}{\frac{1}{n}+1}<\ln(\frac{1}{n}+1)=\ln(n+1)-\ln(n)<\frac{1}{n}\
&得\frac{1}{n+2}<ln(n+2)-ln(n+1)<\frac{1}{n+1}\
&得\frac{1}{n+n}<\ln(n+n)-\ln(n+n-1)<\frac{1}{n+n-1}\
&得\frac{1}{n+1}+\frac{1}{n+2}+...+\frac{1}{n+n}<ln(2n)-ln(n)=ln2\
&法2:\lim_{n\rightarrow \infty}{(\frac{1}{n+1}+\frac{1}{n+2}+...+\frac{1}{n+n})}中\
&\frac{1}{n+1}中n为主体,1为变体\
&\frac{变体}{主体}\rightarrow^{n \rightarrow{\infty}}\begin{cases}0,次(夹逼定理)\A\neq 0,同(定积分)\end{cases}\
&\lim_{\lambda \rightarrow 0}{\sum_{i=1}^{n}{f(\xi_i)\Delta x_i}=\lim_{n\rightarrow \infty}\frac{1}{n}\sum_{i=1}{n}f(\xi_i)(b-a)}=\int_01\frac{1}{1+x}=\ln(1+x)|_{0}^{1}=\ln2\
\end{align}
\[
##### 例题2
\]
\begin{align}
&设f(x)=\int_0^{\pi}{\frac{\sin x}{\pi-t}dt},计算\int_0^{\pi}f(x)dx.\
&法1:分部积分+换元法\
&原式=xf(x)|_0{\pi}-\int_0dx}\
&=\pi{\int_0{\pi}{\frac{\sin{t}}{\pi-t}dt}-\int_0{\pi-x}}dx}\
&=\int_0^{\pi}{\frac{(\pi-x)\sin x}{\pi-x}dx}=2\
&法2:\
&原式=\int_0\pi{f(x)d(x-{\pi})}=(x-\pi)f(x)|_0-\int_0^{\pi}{\frac{(x-\pi)\sin x}{\pi-x}dx}=2\
&法3:二重积分转化为累次积分\
&原式=\int_0{\pi}{\int_0\frac{x\sin t}{\pi-t}dt}dx\
\end{align}
\[
##### 例题3


\]
\begin{align}
&法1:构造辅助函数\
&根据题意f(1)=f(-1)=1,f(0)=-1\Rightarrow f(x)为偶函数,f最低点函数值为-1\
&可以构造符合题意的辅助函数f(x)=2x^2-1\
&法2:根据函数的性质直接判断
\end{align}
\[

##### 例题4
AZZK.jpg)
\]
\begin{align}
&因为\lim_{x\rightarrow 0}{\frac{ax-\sin x}{\int_bx{\frac{\ln{1+t3}}{t}dt}}}=c(c\neq 0)\
&所以\lim_{x\rightarrow 0}{ax-\sin x}=0并且\lim_{x \rightarrow 0}{\int_bx{\frac{\ln{1+t3}}{t}dt}}=0\
&化简,使用洛必达法则上下求导\
&\lim_{x\rightarrow 0}{\frac{ax-\sin x}{\int_bx{\frac{\ln{1+t3}}{t}dt}}}=\lim_{x\rightarrow 0}{\frac{a-\cos x}{\frac{\ln{1+x^3}}{x}}}=\lim_{x\rightarrow 0}{\frac{a-\cos x}{x^2}}\
&\Rightarrow a=1,c=\frac{1}{2},b=0\
\end{align}
\[
## 反常积分
### 一、无穷区间上的反常积分
\]
\begin{align}
&(1)\int_a^{+\infty}{f(x)}dx=\lim_{t\rightarrow +\infty}{\int_{a}^{t}f(x)dx}\
&(2)\int_{-\infty}^{b}{f(x)}dx=\lim_{t\rightarrow -\infty}{\int_{t}^{b}f(x)dx}\
&(3)\int_{-\infty}{0}{f(x)}dx和{\int_{0}f(x)dx}都收敛,则{\int_{-\infty}^{+\infty}f(x)dx}收敛\
&且{\int_{-\infty}{+\infty}f(x)dx}=\int_{-\infty}dx+{\int_{0}^{+\infty}f(x)dx}\
&如果其中一个发散,结果也发散\
&常用结论:\int_a{+\infty}{\frac{1}{xp}dx}\begin{cases}&p1,收敛\&p\leq1 ,发散\\end{cases},(a0)\
\end{align}
\[
### 二、无界函数的反常积分
\]
\begin{align}
&如果函数f(x)在点a的任一领域内都无界,那么点a为函数f(x)的瑕点(也称为无界点).无界函数的反常积分也成为瑕积分\
&(1)设函数f(x)在(a,b]上连续,点a为f(x)的瑕点.如果极限\lim_{t\rightarrow a+}{\int_{t}{f(x)dx}}\exist,\
&则称此极限为函数f(x)在区间[a,b]上的反常区间,记作\int_{a}{b}f(x)dx,即\int_{a}f(x)dx=\lim_{t\rightarrow a+}{\int_{t}{f(x)dx}}\
&这时也称反常积分\int_ab{f(x)dx}收敛,如果上述极限不存在,则反常积分\int_ab{f(x)dx}发散\
&(2)设函数f(x)在[a,b)上连续,点b为函数f(x)的瑕点,则可以类似定义函数f(x)在区间[a,b]上的反常积分\int_a^bf(x)dx=\lim_{t\rightarrow b-}{\int_atf(x)dx}\
&设函数f(x)在[a,b]上除点c(a<c<b)外连续,点c为函数f(x)的瑕点,如果反常积分\int_ac{f(x)dx}和\int_cb{f(x)dx}都收敛\
&则称反常积分\int_ab{f(x)dx}收敛,且\int_ab{f(x)dx}=\int_ac{f(x)dx}+\int_cb{f(x)dx}\
&如果至少一个发散,则称\int_a^b{f(x)dx}发散\
&常用结论:\
&\int_ab{\frac{1}{(x-a)p}}\begin{cases}&p<1,收敛\&p\geq 1,发散\\end{cases}\
&\int_ab{\frac{1}{(x-a)p}}\begin{cases}&p<1,收敛\&p\geq 1,发散\\end{cases}\
\end{align}
\[
### 三、例题
##### 例题1

\]
\begin{align}
&\int\frac{1}{\ln^{\alpha}x}d(\ln x)\rightarrow^{\ln x=u}\int{\frac{du}{u^{\alpha+1}}}\begin{cases}&{\alpha-1< 1}\&{\alpha+11}\\end{cases}\Rightarrow 0<\alpha<2\
\end{align}
\[
## 定积分的应用
#### 微元法
\]
\begin{align}
&\
\end{align}
\[
### 一、几何应用
#### 1.平面图形的面积
\]
\begin{align}
&(1)若平面域D由曲线y=f(x),y=g(x)(f(x)\geq g(x)),x=a,x=b(a<b)所围成,则平面域D的面积为\
&S=\int_a^b{[f(x)-g(x)]dx}\
&(2)若平面域D由曲线由\rho=\rho(\theta),\theta=\alpha,\theta=\beta(\alpha<\beta)所围成,则其面积为S=\frac{1}{2}\int_{\alpha}{\beta}{\rho2(\theta)d\theta}
\end{align}
\[
#### 2.旋转体的体积
\]
\begin{align}
&若区域D由曲线y=f(x)(f(x)\geq 0)和直线x=a,x=b(0\leq a<b)及x轴所围成,则\
&(1)区域D绕x轴旋转一周所得到的旋转体体积为V_x=\pi\int_ab{f2(x)dx}\
&(2)区域D绕y轴旋转一周所得到的旋转体体积为V_y=2\pi\int_a^b{xf(x)dx}\
&(3)区域D绕y=kx+b轴旋转一周所得到的旋转体体积为V=2\pi\int_D\int{r(x,y)d\sigma}\
&例如:求y=x,y=x^2在第一象限的封闭图形绕转轴的体积\
\end{align}
\[
HIN4FCVUKI$%5DZB.jpg)
\]
\begin{align}
&V_x=2\pi\int_D\int yd\sigma=2\pi\int_01{dx}\int_{x2}^{x}ydy\
&V_y=2\pi\int_D\int xd\sigma=2\pi\int_01{dx}\int_{x2}^{x}xdy\
&V_{x=1}=2\pi\int_D\int (1-x)d\sigma\
&V_{y=2}=2\pi\int_D\int (2-y)d\sigma\
\end{align}
\[
#### 3.曲线弧长
\]
\begin{align}
&(1)C:y=y(x),a\leq x\leq b,s=\int_ab{\sqrt{1+y'2}dx}\
&(2)C:\begin{cases}&x=x(t)\&y=y(t)\\end{cases},\alpha \leq t\leq \beta,s=\int_{\alpha}{\beta}{\sqrt{x'2+y'^2}dx}\
&(3)C:\rho=\rho(\theta),\alpha \leq \theta\leq \beta,s=\int_{\alpha}{\beta}{\sqrt{\rho2+\rho'^2}dx}\
\end{align}
\[
#### 4.旋转体侧面积
\]
\begin{align}
&曲线y=f(x)(f(x)\geq 0)和直线x=a,x=b(0\leq a<b)及x轴所围成的区域绕x轴旋转所得到的旋转体的侧面积为\
&S=2\pi\int_ab{f(x)\sqrt{1+f'2(x)}dx}\
\end{align}
\[
### 二、物理应用
#### 1.压力
#### 2.变力做功
#### 3.引力(较少考)
#### 例题1
\]
\begin{align}
&分析题意可知,该容器由x2+y2=1的圆和x2+(y-1)2=1的偏心圆组成\
&根据图像的对称性可以避免不同表达式带来的困难\
&对圆的小带子进行积分,带子长度为x,积分区间为-1到\frac{1}{2},\int_{-1}^{\frac{1}{2}}{\pi x^2dy}\
&由于图像的对称性,将积分结果乘二\
&(1)V=2\pi\int_{-1}{\frac{1}{2}}{x2}dy=2\pi\int_{-1}{\frac{1}{2}}{(1-y2)dy}=\frac{9\pi}{4}\
\end{align}
\[

\]
\begin{align}
&(2)W=FS=GS=mgS=\rho VSg\
&上部为W_1=\int_{\frac{1}{2}}{2}(2y-y2)(2-y)dy\rho g\
&下部为W_2=\int{\frac{1}{2}}_{-1}(1-y2)(2-y)dy*\rho g\
&W=W_1+W_2\
\end{align}
\[
#### 例题2

\]
\begin{align}
&F_p=PA=\rho ghA\
&将图像分为上部和下部,上部为矩形区域和下部的抛物线围成的面积区域,对其进行依次求解\
&P_1=2\rho gh\int_1^{h+1}{h+1-y}dy=\rho gh^2\
&P_2=2\rho gh\int_0^1{(h+1-y)\sqrt{y}dy=4\rho g(\frac{1}{3}h+\frac{2}{15})}\
&\frac{P_1}{P_2}=\frac{4}{5}\Rightarrow h=2,h=-\frac{1}{3}(舍去)
\end{align}
\[
.jpg)\]