高等数学·多元函数微分学
第四章 多元函数微分学
第一节 基本概念机结论
定义1:(二元函数)
\[\begin{align}
&z=f(x,y),(x,y)\in D\subset R^2\\
\end{align}
\]

例题
\[\begin{align}
&f(x,y)=\arcsin(2x)+\ln y+\frac{\sqrt{4x-y^2}}{\ln{(1-x^2-y^2)}}\\
&解:-1\leq 2x\leq 1,y0,1-x^2-y^20,1-x^2-y^2\neq1,4x-y^2\geq0\\
&D=\{(x,y)|-\frac{1}{2}\leq x\leq\frac{1}{2},y0,x^2+y^2<1,x\geq\frac{1}{4}y^2\}\\
\end{align}
\]
定义2:(二元函数的极限)
\[\begin{align}
&\lim_{(x,y)\rightarrow(x_0,y_0)}f(x,y)=A或\lim_{x\rightarrow x_0,y\rightarrow y_0}f(x,y)=A\\
\end{align}
\]
例题
\[\begin{align}
&求极限\\
&解法1;\\
&\lim_{x\rightarrow 0,y\rightarrow 0}xy\frac{x^2-y^2}{x^2+y^2}\\
&\xlongequal[x=r\cos\theta]{y=r\sin\theta}\lim_{r\rightarrow0}{r\cos\theta r\sin\theta\frac{r^2\cos2\theta}{r^2}}=0\\
&解法2:\\
&0\leq|xy\frac{x^2-y^2}{x^2+y^2}|\leq{|xy|}\\
&\lim_{x\rightarrow 0,y\rightarrow 0}{0}=0\leq\lim_{x\rightarrow 0,y\rightarrow 0}|xy\frac{x^2-y^2}{x^2+y^2}|\leq\lim_{x\rightarrow 0,y\rightarrow 0}|xy|=0\\
&\Leftrightarrow\lim_{x\rightarrow 0,y\rightarrow 0}xy\frac{x^2-y^2}{x^2+y^2}=0\\
&\\
&验证极限不存在\\
&(1)\lim_{x\rightarrow 0,y\rightarrow 0}\frac{xy}{x^2+y^2}\\
&(2)\lim_{x\rightarrow 0,y\rightarrow 0}\frac{x^3+y^3}{x^2+y}\\
&解:\\
&(1)令y=kx\\
&\lim_{x\rightarrow0,y=kx}\frac{xkx}{x^2+k^2x^2}=\frac{k}{1+k^2}\\
&(2)令y=-x^2+x^4\\
&\lim_{x\rightarrow0,y=-x^2+x^4}\frac{x^3+(x^4-x^2)^3}{x^2+(-x^2+x^4)}=\lim_{x\rightarrow0}{[\frac{1}{x}}+\frac{(x^4-x^2)^2}{x^4}]=\infty\\
\end{align}
\]
注解:
\[\begin{align}
&一元函数\{(x,f(x))|x\in D\}\\
&多元函数\{(x,y,f(x,y))|(x,y)\in D\}
\end{align}
\]
定义3(二院函数的连续性)
\[\begin{align}
&f(x,y)在点P_0处连续:\lim_{x\rightarrow x_0,y\rightarrow y_0}f(x,y)=f(x_0,y_0)\\
&注解1:z=f(x,y)于P_0点连续\Leftrightarrow\Delta z=f(x,y)-f(x_0,y_0)\rightarrow0(x\rightarrow x_0,y\rightarrow y_0)\\
&注解2:"二元初等函数"在其定义域内处处连续,\lim_{x\rightarrow 1,y\rightarrow2}\frac{x+y}{x-y}=-3\\
\end{align}
\]
定理1
\[\begin{align}
&有界闭区域D\subset{R}上的连续函数,必有界,且有最大值最小值 \\
\end{align}
\]

定义4(偏导数)
\[\begin{align}
&\frac{\partial{z}}{\partial x}|_{(x_0,y_0)}=\lim_{\Delta x\rightarrow 0}\frac{\Delta Z_x}{\Delta x}=\lim_{\Delta x\rightarrow0}\frac{f(x_0+\Delta x,y_0)-f(x_0,y_0)}{\Delta x}\\
&f_y'(x_0,y_0)=\lim_{\Delta y\rightarrow0}\frac{\Delta Z_y}{\Delta y}=\lim_{y\rightarrow y_0}\frac{f(x_0,y_)-f(x_0,y_0)}{y-y_0}
\end{align}
\]

例题
\[\begin{align}
&(1)设f(x,y)=\begin{cases}&\frac{xy}{x^2+y^2},(x,y)\neq(0,0)\\&0,(x,y)=(0,0)\\\end{cases},求f_x'(0,0)和f'_y(0,0),但\lim_{x\rightarrow 0,y\rightarrow 0}f(x,y)不存在\\
&(2)求f(x,y)=\sqrt{x^2+y^2}在(0,0)处的偏导数,并说明函数在此点的连续性\\
\end{align}
\]

\[\begin{align}
&(1)f_x'(0,0)=\lim_{x\rightarrow0}\frac{f(x,0)-f(0,0)}{x-0}=\lim_{x\rightarrow 0}{\frac{0-0}{x}}=0\\
&同理得f_y'(0,0)=0
&\\
\end{align}
\]
\[\begin{align}
&\lim_{x\rightarrow 0^{\pm}}\frac{f(x,0)-f(0,0)}{x-0}=\lim_{x\rightarrow x^{\pm}}\frac{\sqrt{x^2}-0}{x}=\pm 1\\
&\Rightarrow f'_x(0,0),f'_y(0,0)不存在\\
\end{align}
\]
定义5(全微分)
\[\begin{align}
&若z=f(x,y),\Delta z=A\Delta x+B\Delta y+o(\rho)(\rho\rightarrow 0),\rho=\sqrt{\Delta x^2+\Delta y^2},则称z=f(x,y)在点P_0可微,\\
&dz|_{(x_0,y_0)}=df|_{(x_0,y_0)}=A\Delta x+B\Delta y
\end{align}
\]
注解:
\[\begin{align}
&(1)若\exist A,B使得\lim_{\Delta x\rightarrow0,\Delta y\rightarrow 0}\frac{\Delta f-A\Delta x-B\Delta y}{\sqrt{\Delta x^2+\Delta y^2}}=0,则f于(0,0)可微\\
&(2)若f于(x_0,y_0)可微,则\lim\frac{\Delta f-df}{\sqrt{\Delta x^2+\Delta y^2}}=0
\end{align}
\]
定理2
\[\begin{align}
&若z=f(x,y)在点P_0(x_0,y_0)处可微,则偏导数存在,且dz|_{(x_0,y_0)}=f'_x(x_0,y_0)dx+f_y'(x_0,y_0)dy\\
\end{align}
\]
定理3 几个命题之间的关系
\[\begin{align}
&可微\Rightarrow\begin{cases}&连续\Rightarrow极限存在\\&偏导数存在\\&方向导数存在\\\end{cases}\\
\end{align}
\]
二元函数可微与偏导的联系 - blueflylabor - 博客园 (cnblogs.com)
例题

注解:
\[\begin{align}
&可微充分条件\Leftrightarrow偏导函数在(x_0,y_0)处连续\Rightarrow 可微\\
\end{align}
\]


第二节 多元函数微分法
初等函数的微分法

注解:
\[\begin{align}
&(1)对x把y看做常数,对y把x看成常数\\
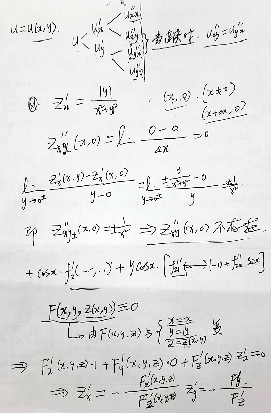
&(2)u\begin{cases}&u_x'\begin{cases}&u''_{xx}\\&u''_{xy}\\\end{cases}\\&u_y'\begin{cases}&u''_{yx}\\&u''_{yy}\\\end{cases}\\\end{cases}
当偏导函数连续时,u''_{xy}=u''_{yx}
\end{align}
\]
例题
\[\begin{align}
&1.设z=\arcsin\frac{x}{\sqrt{x^2+y^2}},求\frac{\partial^2z}{\partial x^2},\frac{\partial^2z}{\partial x\partial y}\\
&解\\
&z'_x=\frac{|y|}{x^2+y^2}\\
&z''_{xx}=\frac{\partial}{\partial x}(\frac{|y|}{x^2+y^2})=\begin{cases}&\frac{-2xy}{(x^2+y^2)^2},y0\\&0,x\neq0,y=0\\&\frac{2xy}{(x^2+y^2)^2},y0\end{cases}\\
&z''_{xy}=\frac{\partial}{\partial y}(\frac{|y|}{x^2+y^2})=\begin{cases}&\frac{x^2-y^2}{(x^2+y^2)^2},y0\\&不存在,x\neq 0,y=0\\&\frac{y^2-x^2}{(x^2+y^2)^2},y<0\\\end{cases}\\
\end{align}
\]

复合函数微分法


\[\begin{align}
&\frac{\partial z}{\partial x}=-\frac{1}{x^2}f(xy)+\frac{1}{x}f'(xy)y+y\phi'(x+y)\\
&\frac{\partial^2 z}{\partial x\partial y}=-\frac{1}{x^2}f'(xy)x+\frac{1}{x}[f''(xy)xy+f'(xy)]+\phi'(x+y)+y\phi''(x+y)\\
\end{align}
\]

\[\begin{align}
&法1:\\
&\frac{\partial f}{\partial x}=e^{-(xy)^2}y-e^{-(x+y)^2}\\
&\frac{\partial^2 f}{\partial x\partial y}=\\
&法2:\\
&令u=x+y,v=xy,f(x,y)由\int_v^ue^{-t^2}dt与\begin{cases}&u=x+y\\&v=xy\\\end{cases}复合\\
&\frac{\partial f}{\partial x}=e^{-(v)^2}\frac{\partial u}{\partial x}-e^{-(u)^2}\frac{\partial v}{\partial x}\\
&\frac{\partial^2 f}{\partial x\partial y}=\\
\end{align}
\]
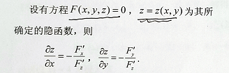
多元隐函数的微分法

例题:

\[\begin{align}
&法1:公式法\\
&F(x,y,u)=u+e^u-xy,u'_x=\frac{\partial u}{\partial x}=-\frac{F'_x}{F'_x}=-\frac{-y}{1+e^u}\\
&法2:\\
&u'_x+e^uu'_x=y,u_x'=\frac{y}{1+e^u},u'_y={\frac{x}{1+e^u}}\\\
&\frac{\partial ^2u}{\partial x\partial y}={\frac{1*[1+e^u]-y*e^u*u_y'}{[1+e^u]^2}}\\
\end{align}
\]

多元函数的极值与最值求法



无条件极值(二元)
\[\begin{align}
&(1)定义\\
&(2)必要条件\begin{cases}&z_x'(x_0,y_0)=0\\&z_y'(x_0,y_0)=0\\\end{cases}\\
&(3)充分条件\Delta=AC-B^2\begin{cases}&0\\&<0\\\end{cases}\\
&A=f_{xx}''(x_0,y_0),B=f_{xy}''(x_0,y_0),C=f''_{yy}(x_0,y_0)\\
\end{align}
\]
有界闭区域
\[\begin{align}
&有界闭区域D上的连续函数f(x,y)的最值:\\
&如果函数f(x,y)在有界闭区域D\subset R^2上连续,则f(x,y)必在D上取得最大值和最小值\\
\end{align}
\]

解题步骤


例题:


浙公网安备 33010602011771号