boost电路设计公式
参考:手撕Boost!Boost公式推导及实验验证-面包板社区 (eet-china.com)
一下仅记录一些关键的知识点:
1、电感的峰值电流不能超过电感的饱和电流
2、电感的饱和电流是指电感感量下降到标称值的30%(不同厂家这个值有差异)的时候的电流。
3、
4、
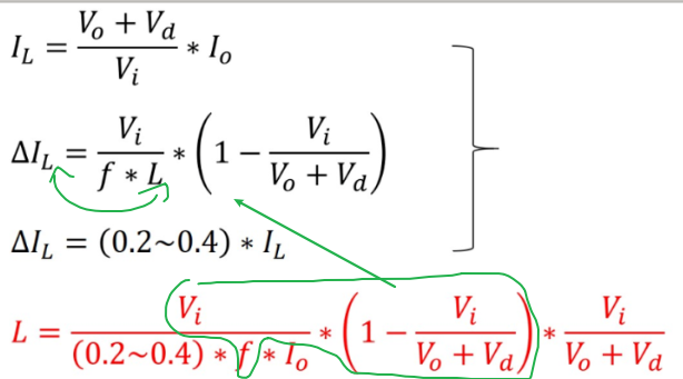
5、boost平均电感电流计算公式:
- IL=Vo*Io/(Vi*n),估算时可以取n≈80%
- IL=(Vo+Vd)*Io/Vi(仅考虑输出二极管的导通损耗)
6、电感的纹波电流△IL,电感电流的纹波跟负载电流的大小没有关系

7、△IL=(0.2~0.4)*IL(boost拓扑电流纹波与平均电流的一般关系),进而求得电感值范围

8、输入滤波电容存在的意义:实际应用中,输入电源可能距离很远,有了很长的走线,走线越长,电感就越大
(输入电源默认来自远方,是没法提供快速变化的电流的)

总的来说,就是相当于远处的电源接了一个电感到boost电路的输入端,电感电流不能突变,也就是说输入电源不能快速响应这个boost电流的需求。(如上图)
电容上面的纹波变化可以分成两个部分:
- 一个是电容放电或者是充电,存储了电荷量发生了变化,这个变化会导致电压变化,可以用公式Q=CUq来表示,Uq即是电压的变化。
- 另一个是电容有等效串联电阻ESR,电容充放电时有电流流过,电流流过ESR会产生压降,这个压降用Uesr表示吧。
所以,电压纹波应该是:△Vi=Uq+Uesr

电容充电和放电时间长度是一样的,都是周期的一半,T/2。需要注意,电容电流是在大于0时充电,电流小于0时放电,也就是图中阴影部分,充电与放电的切换的时刻并不是开关导通与断开的时候,而是在中间时刻。
三角形底部是时间,充电/放电时间等于T/2
三角形的高为电感纹波电流的一半,△IL/2。总放电量为Q=1/2*底*高,再结合Q=CUq,即可求得Uq了。

2、电流流过电容的ESR造成的压降Uesr。
前面波形图知道,电容的充电电流最大是△IL/2,放电电流最大就是-△IL/2,负号表示电流方向,方向的不同,引起的压降的电压也是相反的。
那么ESR引起的总的压降是:
Uesr=△IL/2*ESR-(-△IL/2*ESR)= △IL*ESR

所以根据电压纹波△Vi=Uq+Uesr,若已知△Vi,输入电容Ci的大小,ESR,其中两个,就可得另一个。

考虑到我们的电容实际使用情况
陶瓷电容ESR小,容量小,Uq对纹波起决定作用,所以可以近似△Vi=Uq
铝电解电容容量大,ESR大,Uesr对纹波起决定作用,所以可以近似△Vi=Uesr

9、输出滤波电容
同样,纹波由电容电荷量变化和ESR决定。
1、电容电荷量变化引起的Uq
一个周期内,电容的充电电荷量和放电电荷量必然一样,我们计算出其中一个就行了。显然,放电的时候更好计算,因为放电电流就是负载电流,是恒定的,为Io=Vo/RL。

2、电流流过电容的ESR造成的压降Uesr

在开关导通的时候,二极管不导通,负载的电流为Io,完全由输出滤波电容提供,即滤波电容的放电电流也为Io,而且还是在导通时间里面恒定不变的。
在开关从导通切换到断开时,电感的电流已经是充到最大的,因为先前开关导通时电感一直在充电,所以切换时电感电流最大,且等于电感平均电流加上纹波电流的一半,即为IL+△IL/2。切换时,这个已经充好的电流会通过二极管给负载供电,负载电流为Io。同时,电感还要给电容进行充电,根据节点电流和为0,那么电容的充电电流就是电感充到最大的电流减去负载的电流,即IL+△IL/2-Io。
在开关断开之后,电感电压反向了,所以电感电流持续减小,也就是说二极管的电流持续减小,而负载电流不变,所以输出滤波电容的电流持续减小。
根据上图,在开关切换之前,电容的电流为-Io,那么ESR两端的电压是-Io*ESR。
在切换之后,电容的电流立马反向,为IL+△IL/2-Io,那么ESR两端的电压是(IL+△IL/2-Io)*ESR,两者相减,就是ESR上电压变化量,也是ESR产生的纹波电压大小。
即 Uesr = (IL+△IL/2-Io)*ESR-(-Io*ESR) = (IL+△IL/2)*ESR

陶瓷电容ESR小,容量小,Uq对纹波起决定作用,所以可以近似△Vo=Uq
铝电解电容容量大,ESR大,Uesr对纹波起决定作用,所以可以近似△Vo=Uesr

可以看到,公式里面没有电感L,也就是说,如果使用陶瓷电容滤波,增大电感量对输出纹波不起作用,不要傻傻去增大电感啦。
下面是详细说明:
---------------------------------------------------------------------------------------------------------------
我们在电感选型的时候,一定知道有个参数叫饱和电流吧。我们会要求,电感的峰值电流不能超过电感的饱和电流。
为啥是峰值电流,不是有效值电流?
因为,我们一般认为电感的感量是不变的,但是实际情况是,电流大到一定程度的时候,电感量L会随电流的增大而减小,所以会有电感饱和电流这一说。
并且,随着电感电流的继续增大,电感量下降速度加快。
如果选型的电感饱和电流太小会怎么样呢?
开关导通,电感电流增大,增大到饱和电流的时候,那么L会快速减小,意味着di/dt=U/L快速增大。也就是说,di/dt变大了,即电感电流随时间更快的增大。
电流更大了,那么进一步电感感量L更小了,di/dt更更更大了,电流又更更更大了。如此,电流就突破天际了,这就悲剧了。

电感的饱和电流是指电感感量下降到标称值的30%(不同厂家这个值有差异)的时候的电流。


浙公网安备 33010602011771号