关于对虚拟DOM的理解
频繁且复杂的dom操作通常是前端性能瓶颈的产生点,Vue提供了虚拟dom的解决办法
虚拟的DOM的核心思想是:对复杂的文档DOM结构,提供一种方便的工具,进行最小化地DOM操作。这句话,也许过于抽象,却基本概况了虚拟DOM的设计思想
(1) 提供一种方便的工具,使得开发效率得到保证
(2) 保证最小化的DOM操作,使得执行效率得到保证
也就是说,虚拟dom的框架/工具都是这么做的:
- 根据虚拟dom树最初渲染成真实dom
- 当数据变化,或者说是页面需要重新渲染的时候,会重新生成一个新的完整的虚拟dom
- 拿新的虚拟dom来和旧的虚拟dom做对比(使用diff算法)。得到需要更新的地方之后,更新内容
这样的话,就能大量减少真实dom的操作,提高性能
虚拟DOM的Diff算法
虚拟DOM中,在DOM的状态发生变化时,虚拟DOM会进行Diff运算,来更新只需要被替换的DOM,而不是全部重绘。
在Diff算法中,只平层的比较前后两棵DOM树的节点,没有进行深度的遍历。
1.如果节点类型改变,直接将旧节点卸载,替换为新节点,旧节点包括下面的子节点都将被卸载,如果新节点和旧节点仅仅是类型不同,但下面的所有子节点都一样时,这样做也是效率不高的一个地方。
2.节点类型不变,属性或者属性值改变,不会卸载节点,执行节点更新的操作。
3.文本改变,直接修改文字内容。
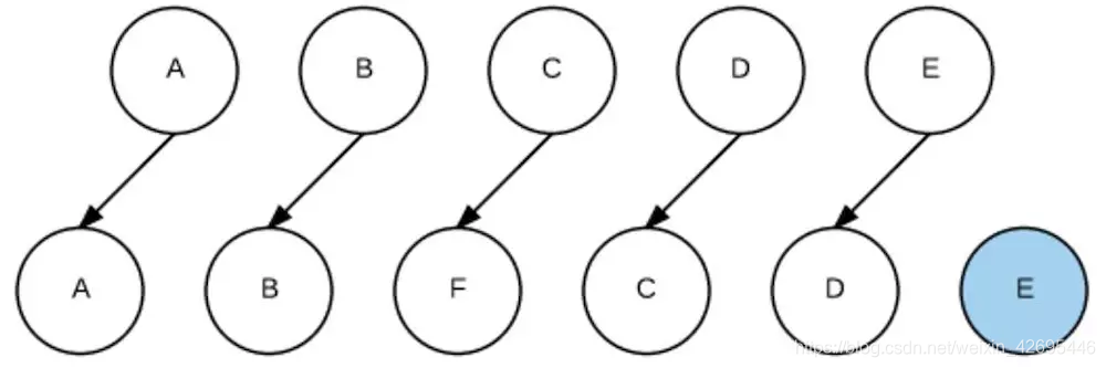
4.移动,增加,删除子节点时:

写代码时,如果没有给数组或枚举类型定义一个key,就会采用上面的粗暴算法。
如果为元素增加key后,Vue就能根据key,直接找到具体的位置进行操作,效率比较高。如下图:

在v-for中提供key,一方面可以提高性能,一方面也会避免出错
38864ee8-875b-4a96-bc91-5857c6e7e7bd
本文来自博客园,作者:智勇_y,转载请注明原文链接:https://www.cnblogs.com/blender-su/p/17758294.html

浙公网安备 33010602011771号