实验二:实验逻辑回归算法
【实验目的】
理解逻辑回归算法原理,掌握逻辑回归算法框架;
理解逻辑回归的sigmoid函数;
理解逻辑回归的损失函数;
针对特定应用场景及数据,能应用逻辑回归算法解决实际分类问题。
【实验内容】
1.根据给定的数据集,编写python代码完成逻辑回归算法程序,实现如下功能:
建立一个逻辑回归模型来预测一个学生是否会被大学录取。假设您是大学部门的管理员,您想根据申请人的两次考试成绩来确定他们的入学机会。您有来自以前申请人的历史数据,可以用作逻辑回归的训练集。对于每个培训示例,都有申请人的两次考试成绩和录取决定。您的任务是建立一个分类模型,根据这两门考试的分数估计申请人被录取的概率。
算法步骤与要求:
(1)读取数据;(2)绘制数据观察数据分布情况;(3)编写sigmoid函数代码;(4)编写逻辑回归代价函数代码;(5)编写梯度函数代码;(6)编写寻找最优化参数代码(可使用scipy.opt.fmin_tnc()函数);(7)编写模型评估(预测)代码,输出预测准确率;(8)寻找决策边界,画出决策边界直线图。
2. 针对iris数据集,应用sklearn库的逻辑回归算法进行类别预测。
要求:
(1)使用seaborn库进行数据可视化;(2)将iri数据集分为训练集和测试集(两者比例为8:2)进行三分类训练和预测;(3)输出分类结果的混淆矩阵。
【实验报告要求】
对照实验内容,撰写实验过程、算法及测试结果;
代码规范化:命名规则、注释;
实验报告中需要显示并说明涉及的数学原理公式;
查阅文献,讨论逻辑回归算法的应用场景;
实验1
(1)读取数据

(2)绘制数据观察数据分布情况

(3)编写sigmoid函数代码,(4)编写逻辑回归代价函数代码

(5)编写梯度函数代码

(6)编写寻找最优化参数代码

(7)编写模型评估(预测)代码,输出预测准确率

(8)寻找决策边界,画出决策边界直线图


实验2
(1)使用seaborn库进行数据可视化


(2)将iri数据集分为训练集和测试集(两者比例为8:2)进行三分类训练和预测

(3)输出分类结果的混

(4)可视化

(5)实验报告中需要显示并说明涉及的数学原理公式
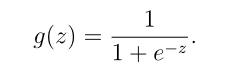
Sigmoid函数:


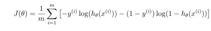
代价函数:

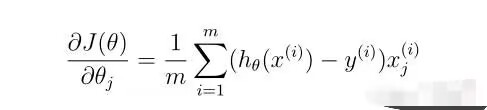
梯度函数:

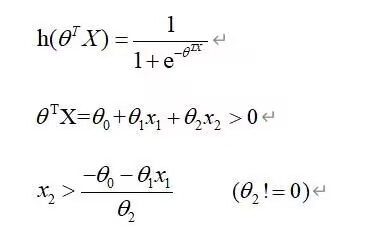
求解决策边界:

(6)逻辑回归算法的应用场景
广告点击率,是否为垃圾邮件,是否患病,金融诈骗,虚假账号等

浙公网安备 33010602011771号