第三节 混合筹资
第一编 财务管理
第九章 长期筹资
第三节 混合筹资
一、优先股筹资★
我国《公司法》没有关于优先股的规定。国务院在2013年11月30日发布了《关于开展优先股试点的指导意见》,证监会在2014年3月21日发布了《优先股试点管理办法》(2021年6月11日修订),这两项规定是我国目前关于优先股筹资的主要规范。按照我国《优先股试点管理办法》,上市公司可以发行优先股,非上市公众公司可以非公开发行优先股。本教材重点探讨上市公司优先股的发行。
(一)上市公司发行优先股的一般条件
上市公司发行优先股的一般条件
-
(1)最近3个会计年度实现的年均可分配利润应当不少于优先股1年的股息。
-
(2)最近3年现金分红情况应当符合公司章程及中国证监会的有关监管规定。
-
(3)报告期不存在重大会计违规事项。公开发行优先股,最近3年财务报表被注册会计师出具的审计报告应当为标准审计报告或带强调事项段的无保留意见的审计报告;非公开发行优先股,最近1年财务报表被注册会计师出具的审计报告为非标准审计报告的,所涉及事项对公司无重大不利影响或者在发行前重大不利影响已经消除。
-
(4)已发行的优先股不得超过公司普通股股份总数的50%,且筹资金额不得超过发行前净资产的50%,已回购、转换的优先股不纳入计算。
(二)上市公司公开发行优先股的特别规定
详细介绍
- (1)上市公司公开发行优先股,应当符合以下情形之一:
①其普通股为上证50指数成分股;
②以公开发行优先股作为支付手段收购或吸收合并其他上市公司;
③以减少注册资本为目的回购普通股的,可以公开发行优先股作为支付手段,或者在回购方案实施完毕后,可公开发行不超过回购减资总额的优先股。
中国证监会核准公开发行优先股后不再符合第①项情形的,上市公司仍可实施本次发行。
-
(2)最近3个会计年度应当连续盈利。扣除非经常性损益后的净利润与扣除前的净利润相比,以孰低者作为计算依据。
-
(3)上市公司公开发行优先股应当在公司章程中规定以下事项:
①采取固定股息率;
②在有可分配税后利润的情况下必须向优先股股东分配股息;
②未向优先股股东足额派发股息的差额部分应当累积到下一会计年度;
④优先股股东按照约定的取息率分配股息后,不再同普通股股东一起参加剩余利润分配。
商业银行发行优先股补充资本的,可就第②项和第③项事项另行约定。
-
(4)上市公司公开发行优先股的,可以向原股东优先配售。
-
(5)最近36个月内因违反工商、税收、土地、环保、海关法律、行政法规或规章,受到行政处罚且情节严重的,不得公开发行优先股。
-
(6)公司及其控股股东或实际控制人最近12个月内应当不存在违反向投资者作出的公开承诺的行为。
(三)其他规定
详细介绍
-
(1)优先股每股票面金额为100元。
优先股发行价格和票面股息率应当公允、合理,不得损害股东或其他利益相关方的合法利益,发行价格不得低于优先股票面金额。
公开发行优先股的价格或票面股息率以市场询价或证监会认可的其他公开方式确定。非公开发行优先股的票面股息率不得高于最近两个会计年度的年均加权平均净资产收益率。 -
(2)上市公司不得发行可转换为普通股的优先股。但商业银行可根据商业银行资本监管规定,非公开发行触发事件发生时强制转换为普通股的优先股,并遵守有关规定。
-
(3)上市公司非公开发行优先股仅向规定的合格投资者发行,每次发行对象不得超过200人,且相同条款优先股的发行对象累计不得超过200人。
发行对象为境外战略投资者的,还应当符合国务院相关部门的规定。
(四)交易转让及登记结算
详细介绍
-
(1)优先股发行后可以申请上市交易或转让,不设限售期。公开发行的优先股可以在证券交易所上市交易。上市公司非公开发行的优先股可以在证券交易所转让,非上市公众公司非公开发行的优先股可以在全国中小企业股份转让系统转让,转让范围仅限合格投资者。交易或转让的具体办法由证券交易所或全国中小企业股份转让系统另行制定。
-
(2)优先股交易或转让环节的投资者适当性标准应当与发行环节保持一致;非公开发行的相同条款优先股经交易或转让后,投资者不得超过200人。
-
(3)中国证券登记结算公司为优先股提供登记、存管、清算、交收等服务。
(五)优先股的筹资成本
详细介绍
从投资者来看,优先股投资的风险比债券大。当企业面临破产时,优先股的求偿权低于债权人。在公司财务困难的时候,债务利息会被优先支付,优先股股利则其次。因此,同一公司的优先股股东要求的必要报酬率比债权人的高。同时,优先股投资的风险比普通股低。当企业面临破产时,优先股股东的求偿权优先于普通股股东。在公司分配利润时,优先股股息通常固定且优先支付,普通股股利只能最后支付。因此,同一公司的优先股股东要求的必要报酬率比普通股股东的低。
(六)优先股筹资的优缺点
1. 优先股筹资优点
优先股筹资优点
-
(1)与债券相比,不支付股利不会导致公司破产;没有到期期限,不需要偿还本金。
-
(2)与普通股相比,发行优先股一般不会稀释股东权益。
2. 优先股筹资缺点
优先股筹资缺点
-
(1)优先股股利不可以税前扣除,是优先股筹资的税收劣势;投资者购买优先股所获股利免税,是优先股筹资的税收优势。如果两者可以抵消,则使优先股股息率与债券利率趋于一致。
-
(2)优先股的股利支付虽然没有法律约束,但是经济上的约束使公司倾向于按时支付其股利。因此,优先股的股利通常被视为固定成本,与负债筹资的利息没有什么差别,会增加公司的财务风险并进而增加普通股的成本。
二、永续债筹资★
详细介绍
目前,我国对永续债在政策或法规上没有明确、系统的规定,永续债也没有作为独立的券种出现。根据2013年12月13日《中国证监会有关部门负责人就优先股试点答记者问》中给出的定义,永续债(Perpetual bond)是没有到期日的债券,一般由主权国家、大型企业发行,持有人不能要求清偿本金,但可以按期取得利息,是偏好超长期高回报的投资者青睐的投资工具。永续债的特点是高票息、长久期、附加赎回条款并伴随利率调整条款。尽管永续债并非一种独立的券种,但具有“永续债”特点的债券创新受到了监管层的鼓励和支持,数量呈现快速增长之势,类型分布呈现多样化特征。从目前已发行的永续债债券类型来看,中期票据、定向工具、企业债、证券公司债和一般公司债等债券类型中都包含有永续债,其中以中期票据占比最髙。
根据2022年修订的《上海证券交易所公司债券发行上市审核规则适用指引第2号—特定品种公司债券》以及2019年1月28日财政部印发的《永续债相关会计处理的规定》2019年4月16日财政部和国家税务总局印发的《关于永续债企业所得税政策问题的公告》等相关规定,本教材探讨永续债筹资的发行条件、相关约定、信息披露、会计处理和所得税政策等相关内容。
(一)发行条件
发行条件
除符合公司债券发行的一般条件外,申请在上交所上市或挂牌的,发行人主体信用评级和债项评级应当达到AA+或以上。上交所认定适用优化审核安排的发行人可以自主选择是否进行债项评级。
(二)相关约定
1. 利息支付
详细介绍
可续期债券的每个付息日,发行人可以自行选择将当期利息以及按照本条款已经递延的所有利息或其孳息推迟至下一个付息日支付,且不受到任何递延支付利息次数的限制;前述利息递延不属于发行人未能按照约定足额支付利息的行为。
发行人应当约定利息递延下的限制事项,限制事项可以包括向普通股股东分红、减少注册资本等情形。若发行人选择行使延期支付利息权,则在延期支付利息及其孳息偿付完毕之前,发行人不得发生利息递延下的限制事项。
发行人应当约定强制付息事件,强制付息事件可以包括向普通股股东分红、减少注册资本等情形。若发生强制付息事件,发行人不得递延支付当期利息,并应立即偿付已经递延支付的利息、当期利息及其孳息。
2. 利率调整
详细介绍
发行人可以设置一个或多个重新定价周期,自行约定重新定价周期的利率调整机制,不同的重新定价周期可设置相同或多种不同的利率调整机制。调整机制可以包括以下方式:
-
(1)约定重新定价周期适用的票面利率调整为当期基准利率加上基本利差再加上或减去若干个基点;
-
(2)约定重新定价周期适用的票面利率调整为浮动利率;
-
(3)约定其他调整方式。
(三)信息披露
1. 募集说明书
详细介绍
-
(1)可续期公司债券的特殊发行事项及其实施程序,并对特殊发行事项作重大事项提示。特殊发行事项包括续期选择权、递延支付利息选择权、强制付息事件、利息递延下的限制事项、利率调整机制等。
-
(2)可续期公司债券计入权益的情况以及存续期内发生不再计入权益情形的相关安排。
-
(3)可续期公司债券的偿付顺序。
-
(4)可续期公司债券的特有风险,包括发行人行使续期选择权、利息递延支付、会计政策变动等风险。特有风险应作重大事项提示。
-
(5)发行人最近一期末境内外永续类负债的余额、发行日、续期期限、票面利率及利率调整机制等情况。永续类负债包括可续期公司债券、可续期企业债券、永续票据,以及境外发行的永续债券等。
-
(6)关于可续期公司债券特殊违约情形的约定,包括未发布利息递延支付公告的情况下拖欠利息、发生强制付息事件下拖欠利息、未发布续期公告的情况下拖欠本息等。
-
(7)关于触发可续期公司债券特殊违约情形及时召开债券持有人会议的约定。
-
(8)约定关于受托管理人对可续期公司债券特殊发行事项的关注义务。
-
(9)上交所要求披露的其他事项。
2. 存续期间风险管理
详细介绍
债券存续期间,发行人及其他信息披露义务人应当按照中国证监会和上交所相关要求进行信息披露及风险管理,并遵守下列要求:
-
(1)在定期报告中披露可续期公司债券续期、利率跳升、利息递延以及强制付息等情况,并就可续期公司债券是否仍计入权益及相关会计处理进行专项说明;
-
(2)出现导致本次发行可续期公司债券不再计入权益的,应当在2个交易日内披露相关信息,并说明其影响及相关安排;
-
(3)触发强制付息事件或利息递延下的限制安排的,应当在2个交易日内披露相关信息,说明其影响及相关安排,同时就该事项已触发强制付息情形作特别提示;
-
(4)上交所关于信息披露的其他要求。
3. 递延支付利息
详细介绍
发行人决定递延支付利息的,应当不晚于付息日前第10个交易日发布递延支付利息公告,披露下列内容:
-
(1)本次债券的基本情况;
-
(2)本次利息的付息期间、本次递延支付的利息金额及全部递延利息金额;
-
(3)发行人关于递延支付利息符合募集说明书等相关文件约定的声明;
-
(4)受托管理人出具的关于递延支付利息符合递延支付刺息条件的专项意见;
-
(5)律师事务所出具的关于递延支付利息符合相关法律法规规定的专项意见。
4. 行使或放弃续期选择权
详细介绍
发行人决定行使或者放弃续期选择权的,应当在本次约定的续期选择权行使日前至少30个交易日发布公告。
发行人决定行使续期选择权的,应当在公告中披露下列信息:
-
(1)本次债券的基本情况;
-
(2)债券期限的延长时间;
-
(3)后续存续期内债券的票面利率或利率计算方法。
发行人决定放弃行使续期选择权的,应当在公告中明确将按照约定及相关规定完成各项工作。
(四)会计处理
详细介绍
永续债属于混合筹资工具,既具有债性,也具有股性。永续债筹资到底应计入金融负债还是权益工具,并不直接由其名称决定,也不单纯取决于债券是否可续期,主要是看其条款是否具有真正的股性特征,以及投资者在实际求偿顺序和面临损失等方面是否存在实质弱于普通债券的可能。因此,发行方应当在遵循《企业会计准则第37号——金融工具列报》的情况下,同时考虑永续债的到期日、清偿顺序、利率跳升和间接义务等因素进行判断。
(五)所得税政策
详细介绍
-
(1)企业发行的永续债,可以适用股息、红利企业所得税政策,即:投资方取得的永续债利息收入属于股息、红利性质,按照现行企业所得税政策相关规定进行处理。其中,发行方和投资方均为居民企业的,永续债利息收入可以适用企业所得税法关于居民企业之间的股息、红利等权益性投资收益免征企业所得税的规定;同时发行方支付的永续债利息支出不得在企业所得税税前扣除。
-
(2)企业发行符合规定条件的永续债,也可以按照债券利息适用企业所得税政策,即:发行方支付的永续债利息支出准予在其企业所得税税前扣除;投资方取得的永续债利息收入应当依法纳税。此处符合规定条件的永续债,是指符合下列条件中5条(含)以上的永续债:①被投资企业对该项投资具有还本义务;②有明确约定的利率和付息频率;③有一定的投资期限;④投资方对被投资企业净资产不拥有所有权;⑤投资方不参与被投资企业日常生产经营活动;⑥被投资企业可以赎回,或满足特定条件后可以赎回;⑦被投资企业将该项投资计入负债;⑧该项投资不承担被投资企业股东同等的经营风险;⑨该项投资的清偿顺序位于被投资企业股东持有的股份之前。
-
(3)企业发行永续债,应当将其适用的税收处理方法在证券交易所、银行间债券市场等发行市场的发行文件中向投资方予以披露。
-
(4)发行永续债的企业对每一永续债产品的税收处理方法一经确定,不得变更。企业对永续债采取的税收处理办法与会计核算方式不一致的,发行方在进行税收处理时须作出相应纳税调整。
(六)永续债的筹资成本
详细介绍
与优先股类似,永续债作为具有一定权益属性的债务工具,也是一种混合筹资工具,因此,其风险介于普通债券和普通股之间。高票息是永续债的重要特点,其利率一般比同期限、同等级的普通债券要高,但比普通股要低。
(七)永续债筹资的优缺点
1. 永续债筹资优点
详细介绍
-
(1)与普通债券相比,永续债不用偿还本金,无还本压力,不会给企业造成财务困境,而普通债券则需发行人到期还本;永续债筹资有可能计入企业权益,从而补充资本金,降低资产负债率,改善企业财务报表,而普通债券筹资则会提高资产负债率,抬高杠杆,加大财务风险。
-
(2)与普通股相比,永续债资本成本低于普通股资本成本;永续债投资者不具有表决权,永续债筹资即使计入企业权益,也是计入其他权益工具,不增加股本,不会稀释股权,不会摊薄每股收益等财务指标,而配股和增发等普通股筹资则增加股本,稀释股权,摊薄每股收益等;永续债利息有可能税前扣除,具有抵税效果,股利则不可以在税前扣除,没有抵税效果。
2. 永续债筹资缺点
详细介绍
尽管永续债发行人可以选择递延付息,但通常也要承担相应的代价,例如在递延期间利息要孳息,且在发放现金股利、减少注册资本等方面受到很多限制;因永续债混合债务和权益的属性,导致投资者对其定位不清晰,以致流通性较差,变现能力较弱。
三、附认股权证债券筹资★★★
(一)认股权证的特征
详细介绍
认股权证是公司向股东发放的一种凭证,授权其持有者在一个特定期间以特定价格购买特定数量的公司股票。
1. 认股权证与股票看涨期权的共同点
-
(1)均以股票为标的资产,其价值随股票价格变动;
-
(2)均在到期前可以选择执行或不执行,具有选择权;
-
(3)均有一个固定的执行价格。
2. 认股权证与股票看涨期权的区别
-
(1)股票看涨期权执行时,其股票来自二级市场,而当认股权执行时,股票是新发股票。认股权证的执行会引起股份数的增加,从而稀释每股收益和股价。股票看涨期权不存在稀释问题。标准化的期权合约,在行权时只是与发行方结清价差,根本不涉及股票交易。
-
(2)股票看涨期权时间短,通常只有几个月。认股权证期限长,可以长达10年,甚至更长。
-
(3)布莱克-斯科尔斯模型假设没有股利支付,股票看涨期权可以适用。认股权证不能假设有效期限内不分红,5-10年不分红很不现实,不能用布莱克—斯科尔斯模型定价。
3. 发行认股权证的用途
-
(1)在公司发行新股时,为避免原有股东每股收益和股权被稀释,给原有股东配发一定数量的认股权证,使其可以按优惠价格认购新股,或直接出售认股权证,以弥补新股发行的稀释损失。这是认股权证最初的功能。
-
(2)作为奖励发给本公司的管理人员。所谓“奖励期权”,其实是奖励认股权证,它与期权并不完全相同。有时,认股权证还作为奖励发给投资银行机构。
-
(3)作为筹资工具。认股权证与公司债券同时发行,用来吸引投资者购买票面利率低于市场要求的长期债券。
我们这里主要讨论筹资问题,因此重点是认股权证与债券的捆绑发行。
(二)附认股权证债券的筹资成本
详细介绍
附认股权证债券,是指公司债券附认股权证,持有人依法享有在一定期间内按约定价格(执行价格)认购公司股票的权利,是债券加上认股权证的产品组合。通常,附认股权证债券可分为分离型与非分离型和现金汇人型与抵缴型。其中,分离型指认股权证与公司债券可以分开,单独在流通市场上自由买卖;非分离型指认股权证无法与公司债券分开,两者存续期限一致,同时流通转让;自发行至交易均合二为一,不得分开转让。非分离型附认股权证公司债券近似于可转债。现金汇人型指当持有人行使认股权利时,必须再拿出现金来认购股票;抵缴型则指公司债票面金额本身可按一定比例直接转股,如现行可转换公司债的方式。把分离型、非分离型与现金汇入型、抵缴型进行组合,可以得到不同的产品类型。
下面以分离型附认股权证债券为例说明如何计算筹资成本。
【例9-6】A公司目前股价20元/股,预计公司未来可持续增长率为5%。公司拟通过平价发行附认股权证债券筹集资金,债券面值为每份1000元,期限20年,票面利率8%,同时每份债券附送20张认股权证,认股权证在10年后到期,在到期前每张认股权证可以按22元的价格购买1股普通股。相关数据如表9-3所示。

答案
附认股权证债券的筹资成本,可以用投资者的内含报酬率来估计。

这是投资者税前报酬率。假设等风险普通债券市场利率为10%,附认股权证债券税前报酬率比直接投资普通债券低了1.02个百分点。这表明认股权证和债券组合的风险大于直接债务投资,但该组合的内含报酬率却低于等风险普通债券的必要报酬率10%,投资者不会购买该项投资组合,他们宁可投资于普通债券。为了提高投资者的报酬率,发行公司需要降低执行价格或提高债券的票面利率或增加每份债券附送的认股权证数量。
投资者的期望报酬率,就是公司的税前资本成本。发行公司愿意承担这一较高的成本,以便及时取得所需资金。如果计算出的组合内含报酬率高于直接增发股份,发行公司就不会接受该方案。公司正是认为市场低估了自己的价值,才选择发行认股权证和债券组合。
计算出的内含报酬率必须处在债务市场利率和税前普通股成本之间,才可以被发行人和投资者同时接受。
(三)附认股权证债券筹资的优点和缺点
附认股权证债券筹资的优点和缺点
附认股权证债券筹资的主要优点是,发行附认股权证债券可以起到一次发行、二次筹资的作用,而且可以有效降低筹资成本。该债券的发行人主要是高速增长的小公司,这些公司有较高的风险,直接发行债券需要较高的票面利率。发行附认股权证债券,是以潜在的股权稀释为代价换取较低的利息。
附认股权证债券筹资的主要缺点是灵活性较差。相对于可转换债券,附认股权证债券发行人一直都有偿还本息的义务,因无赎回和强制转股条款,从而在市场利率大幅降低时,发行人需要承担一定的机会成本。附认股权证债券的发行者,主要目的是发行债券而不是股票,是为了发债而附带期权。认股权证的执行价格,一般比发行时的股价高出20%~30%。如果将来公司发展良好,股票价格会大大超过执行价格,原有股东也会蒙受较大损失。此外,附认股权证债券的承销费用通常高于债务筹资。
四、可转换债券筹资★★★
(一)可转换债券的主要条款
详细介绍
可转换债券,是一种特殊的债券,它在一定期间内依据约定的条件可以转换成普通股。
可转换债券通常有以下主要条款:
1. 可转换性
可转换债券,可以转换为特定公司普通股。这种转换,在资产负债表上只是负债转换为普通股,并不增加额外的资本。认股权证与之不同,认股权会带来新的资本。这种转换是一种期权,债券持有人可以选择转换,也可选择不转换而继续持有债券。
2. 转换价格
可转换债券发行之时,明确了以怎样的价格转换为普通股,这一规定的价格就是可转换债券的转换价格(也称转股价格),即转换发生时投资者为取得普通股每股所支付的实际价格。转换价格通常比发行时的般价高出20%~30%。
3. 转换比率
转换比率是债权人将一份债券转换成普通股可获得的普通股股数。可转换债券的面值、转换价格、转换比率之间存在下列关系:
【例9-7】A公司2x20年发行了12.5亿元可转换债券,其面值1000元,年利率为4.75%,2x30年到期。转换可以在此前的任何时候进行,转换比率为6.41。其转换价格可以计算出来:
答案
转换价格=1000/6.41=156.01(元)
这就是说,为了取得A公司的1股股票,需要放弃金额为156.01元的债券面值。
4. 转换期
转换期是指可转换债券转换为股份的起始日至结束日的期间。可转换债券的转换期可以与债券的期限相同,也可以短于债券的期限。例如,某种可转换债券规定只能从其发行一定时间之后(如发行若干年之后)才能够行使转换权,这种转换期称为递延转换期,短于其债券期限。还有的可转换债券规定只能在一定时间内(如发行日后的若干年之内)行使转换权,超过这一段时间转换权失效,因此转换期也会短于债券的期限,这种转换期称为有限转换期。超过转换期后的可转换债券,不再具有转换权,自动成为不可转换债券(或普通债券)。
我国《上市公司证券发行管理办法》规定,自发行结束之日起6个月后方可转换为公司股票,转股期限由公司根据可转换公司债券的存续期限及公司财务状况决定。
5. 赎回条款
赎回条款是可转换债券的发行企业可以在债券到期日之前提前赎回债券的规定。赎回条款包括下列内容:
-
(1)不可赎回期。不可赎回期是可转换债券从发行时开始,不能被赎回的那段期间。例如,规定自发行日起两年之内不能由发行公司赎回,债券的前两年就是不可赎回期。设立不可赎回期的目的,在于保护债券持有人的利益,防止发行企业通过滥用赎回权,促使债券持有人尽早转换债券。不过,并不是每种可转换债券都设有不可赎回条款。
-
(2)赎回期。赎回期是可转换债券的发行公司可以赎回债券的期间。赎回期安排在不可赎回期之后,不可赎回期结束之后,即进入可转换债券的赎回期。
-
(3)赎回价格。赎回价格是事前规定的发行公司赎回债券的出价。赎回价格一般高于可转换债券的面值,两者之差为赎回溢价。赎回溢价随债券到期日的临近而减少。例如,一种20x1年1月1日发行,面值100元,期限5年,不可赎回期为3年,赎回期为2年的可赎回债券,规定到期前1年(即20x4年)的赎回价格为110元,到期年度(即20x5年)的赎回价格为105元。
-
(4)赎回条件。赎回条件是对可转换债券发行公司赎回债券的情况要求,即需要在什么样的情况下才能赎回债券。赎回条件分为无条件赎回和有条件赎回。无条件赎回是在赎回期内发行公司可随时按照赎回价格赎回债券。有条件赎回是对赎回债券有一些条件限制,只有在满足了这些条件之后才能由发行公司赎回债券。
发行公司在赎回债券之前,要向债券持有人发出通知,要求他们在将债券转换为普通股与卖给发行公司(即发行公司赎回)之间作出选择。一般而言,债券持有人会将债券转换为普通股。可见,设置赎回条款是为了促使债券持有人转换股份,因此又被称为加速条款,同时也能使发行公司避免市场利率下降后,继续向债券持有人按较高的债券票面利率支付利息所蒙受的损失。
6. 回售条款
回售条款是在可转换债券发行公司的股票价格达到某种程度时,债券持有人有权按照约定的价格将可转换债券卖给发行公司的有关规定。回售条款也具体包括回售时间、回售价格等内容。设置回售条款是为了保护债券投资者的利益,使他们能够避免遭受过大的投资损失,从而降低投资风险。合理的回售条款,可以使投资者具有安全感,因而有利于吸引投资者。
7. 强制性转换条款
强制性转换条款是在某些条件具备之后,债券持有人必须将可转换债券转换为股票,无权要求偿还债券本金的规定。设置强制性转换条款,是为了保证可转换债券顺利地转换成股票,实现发行公司扩大权益筹资的目的。
(二)可转换债券的筹资成本
可转换债券的持有者,同时拥有1份债券和1份股票的看涨期权。它与拥有普通债券和认股权证的投资组合基本相同,不同的只是为了执行看涨期权必须放弃债券。因此,可以先把可转换债券作为普通债券分析,然后再当作看涨期权处理,就可以完成其估值。纯债券价值是不含看涨期权的普通债券的价值,转换价值是债券转换成的股票价值。这两者决定了可转换债券的价格。下面举例说明其估计方法。
【例9-8】A公司拟平价发行可转换债券筹资5000万元,有关资料如表9-4所示。

答案
为确定可转换债券的成本,我们分析该债券的税前收益:
1. 分析纯债券部分的价值

此后,纯债券价值逐年递增,至到期时为其面值1000元。如图9-1中的GF曲线所示。具体数字列在表9-5的“纯债券价值”的栏目中。
2. 分析期权部分的转换价值
如果在零时点转换,其价值为:
转换价值=股价x转换比例=35x20=700(元)
投资者不会为取得700元转换价值而放弃债券部分价值850.61元,他会继续等待,寄希望股价的增长。转换价值每年以6%的速度增加,第5年936.76元,第10年1253.56元。如图9-1中的ABCD曲线所示。具体数字列在表9-5的“转换价值”的栏目中。


3. 分析底线价值
可转换债券的最低价值,应当是纯债券价值和转换价值两者中较高者。这是市场套利的结果。如果可转换债券的市价低于纯债券价值,人们就会购入被低估的债券,使之价格升高;如果可转换债券的市价低于转换价值,人们就会购入债券并立即转换为股票后出售套利。
因此,纯债券价值和转换价值中较高者,形成了底线价值,如图9-1中的GBCD的曲线所示。具体数字列在表9-5“底线价值”栏目。
4. 分析市场价值
我们不知道具体的可转换债券的市场价值变化情况。但是,我们知道它不会低于底线价值。持有可转换债券相当于持有看涨期权,在可提前赎回期前它的价值高于转换价值,也高于票面利率相同的纯债券价值。它以1000元的价值出售,市场价值以此为出发点,随着时间推移纯债券部分会升值,期权部分会随股价上升而逐步升高,因此可转换債券的市场价值会逐步上升。到达赎回期时,市场价值曲线被转换价值曲线替代,如图9-1中的CD曲线所示。
5. 赎回价值
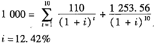
可转换债券设置有赎回保护期,在此以前发行者不可以赎回。本债券的保护期为10年。在10年后,赎回价格是1050元。如果10年后的债券价值同预期值一样为887元,转换价值为1253.56元,可转换债券的底线价值为两者较高者即1253.56元。公司要用1050元将其赎回,这时的正确选择是转换为普通股。
6. 分析筹资资本成本
假设可转换债券的持有人在10年后转换,他的现金流量分布为:
零时点购买可转换债券支出1000元;第1至10年持有债券并每年取得利息100元;第10年年底进行转换,取得转换价值1253.56元。

根据上述现金流量计算内含报酬率为11.48%。

这个投资者的报酬率,就是筹资人的税前资本成本。如果它的税后资本成本高于股权资本成本(14%),则不如直接增发普通股;如果它的税前资本成本低于普通债券的利率(12%)则对投资者没有吸引力。目前的方案,对于投资者缺乏吸引力,需要修改。
7. 筹资方案的修改
修改的途径包括:提高每年支付的利息、提高转换比率或延长赎回保护期间。如果企业的所得税税率为25%,股权的税前资本成本是14%/(1-25%)=18.67%,修改的目标是使得筹资资本成本处于18.67%和12%之间。
如果将票面利率提高到11%,其他因素不变,则内含报酬率可以达到12.42%。

如果转换比率提高到25,其他因素不变,则内含报酬率为13.07%。

也可同时修改票面利率、转换比率和赎回保护期年限,使内含报酬率达到双方可以接受的预想水平。
(三)可转换债券筹资的优点和缺点
1. 可转换债券筹资的优点
可转换债券筹资的优点
-
(1)与普通债券相比,可转换债券使得公司能够以较低的利率取得资金。债权人同意接受较低利率的原因是有机会分享公司未来发展带来的收益。可转换债券的票面利率低于同一条件下的普通债券的利率,降低了公司前期筹资的成本。与此同时,它向投资者提供了转为股权投资的选择权,使之有机会转为普通股并分享公司更多的收益。值得注意的是,可转换债券转换成普通股后,其原有的低息优势将不复存在,公司要承担普通股筹资的成本。
-
(2)与普通股相比,可转换债券使得公司取得了以高于当前股价出售普通股的可能性。有些公司本来是想要发行股票而不是债务,但是认为当前其股票价格太低,为筹集同样的资金需要发行更多的股票。为避免直接发行新股而遭受损失,才通过发行可转换债券变相发行普通股。因此,在发行新股时机不理想时,可以先发行可转换债券,然后通过转换实现较高价格的股权筹资。这样做不至于因为直接发行新股而进一步降低公司股票市价;而且因为转换期较长,即使在将来转换股票时,对公司股价的影响也较温和,从而有利于稳定公司股价。
2. 可转换债券筹资的缺点
可转换债券筹资的缺点
-
(1)股价上涨风险。虽然可转换债券的转换价格高于其发行时的股票价格,但如果转换时股票价格大幅上涨,公司只能以较低的固定转换价格换出股票,会降低公司的股权筹资额。
-
(2)股价低迷风险。发行可转换债券后,如果股价没有达到转股所需要的水平,可转换债券持有者没有如期转换普通股,则公司只能继续承担债务。在订有回售条款的情况下,公司短期内集中偿还债务的压力会更明显。尤其是有些公司发行可转换债券的目的是筹集权益资本,股价低迷使其原定目的无法实现。
-
(3)筹资资本成本高于普通债券。尽管可转换债券的票面利率比普通债券低,但是加入转股成本之后的总筹资资本成本比普通债券要高。
(四)可转换债券和附认股权证债券的区别
可转换债券和附认股权证债券的区别
-
(1)可转换债券在转换时只是报表项目之间的变化,没有增加新的资本;附认股权证债券在认购股份时给公司带来新的权益资本。
-
(2)灵活性不同。可转换债券允许发行者规定可赎回条款、强制转换条款等,种类较多而附认股权证债券的灵活性较差。
-
(3)适用情况不同。发行附认股权证债券的公司,比发行可转换债券的公司规模小、风险更高,往往是新的公司启动新的产品。对这类公司,潜在的投资者缺乏信息,很难判断风险的大小,也就很难设定合适的利率。为了吸引投资者,他们有两种选择,一个是设定很髙的利率,承担高成本;另一个选择是采用期权与债权捆绑,向投资者提供潜在的升值可能性,适度抵消遭受损失的风险。附认股权证债券的发行者,主要目的是发行债券而不是股票,是为了发债而附带期权,只是因为当前利率要求高,希望通过捆绑期权吸引投资者以降低利率。可转换债券的发行者,主要目的是发行股票而不是债券,只是因为当前股价偏低,希望通过将来转股以实现较高的股票发行价。
-
(4)两者的发行费用不同。可转换债券的承销费用与普通债券类似,而附认股权证债券的承销费用介于债务融资和普通股融资之间。
End
|
微信扫码,自愿捐赠。四海同道,共谱新篇。
微信捐赠不显示捐赠者个人信息,如需要,请注明联系方式。 |

浙公网安备 33010602011771号