第三节 风险与报酬
第一编 财务管理
第三章 价值评估基础
第三节 风险与报酬
本节主要讨论风险与报酬的关系,目的是解决财务估值时如何确定折现率的问题。折现率应当根据投资者要求报酬率来确定。实证研究表明,要求报酬率的高低取决于投资的风险,风险越大要求报酬率越高。不同风险的投资,需要使用不同的折现率。那么,投资的风险如何计量?特定的风险需要多少报酬来补偿?就成为确定折现率的关键问题。
一、风险的含义★
风险是一个非常重要的财务概念。任何决策都有风险,这使得风险观念在理财中具有普遍意义。风险最简单的定义是:“风险是发生财务损失的可能性”。发生损失的可能性越大,风险越大。它可以用不同结果出现的概率来描述。结果可能是好的,也可能是坏的,坏结果出现的概率越大,就认为风险越大。这个定义非常接近日常生活中使用的普通概念,主要强调风险可能带来的损失,与危险的含义类似。
在对风险进行深人研究以后人们发现,风险不仅可以带来超出预期的损失,也可能带来超出预期的收益。于是,出现了一个更正式的定义:“风险是预期结果的不确定性”。风险不仅包括负面效应的不确定性,还包括正面效应的不确定性。新的定义要求区分风险和危险。危险专指负面效应,是损失发生及其程度的不确定性。人们对于危险,需要识别、衡量、防范和控制,即对危险进行管理。保险活动就是针对危险的,是为同类危险聚集资金,对特定危险的后果提供经济保障的一种风险转移机制。风险的概念比危险广泛,包括了危险,危险只是风险的一部分。风险的另一部分即正面效应,可以称为“机会”。人们对于机会,需要识别、衡量、选择和获取。理财活动不仅要管理危险,还要识别、衡量、选择和获取增加企业价值的机会。风险的新概念,反映了人们对财务现象更深刻的认识,也就是危险与机会并存。
在投资组合理论出现之后,人们认识到投资多样化可以降低风险。当增加投资组合中资产的种类时,组合的风险将不断降低,而收益仍然是个别资产的加权平均值。当投资组合中的资产多样化到一定程度后,特殊风险可以被忽略,而只关心系统风险。系统风险是没有有效的方法可以消除的、影响所有资产的风险,它来自于整个经济系统,是影响公司经营的普遍因素。投资者必须承担系统风险弁可以获得相应的投资回报。在充分组合的情况下,单个资产的风险对于决策是没有用的,投资者关注的只是投资组合的风险;特殊风险与决策是不相关的,与决策相关的只是系统风险。在投资组合理论出现以后,风险是指系统风险,既不是指单个资产的特殊风险,也不是指投资组合的全部风险。
在资本资产定价理论出现以后,单项资产的系统风险计量问题得到解决。如果投资者选择一项资产并把它加入已有的投资组合中,那么该资产的风险完全取决于它如何影响投资组合收益的波动性。因此,一项资产最佳的风险度量,是一项资产对投资组合风险的贡献程度。衡量该风险的指标被称为贝塔系数。
理解风险概念及其演进时,不要忘记财务管理创造“风险”这一专业概念的目的。不断精确定义风险概念是为了明确风险和收益之间的权衡关系,并在此基础上给风险定价。因此,风险概念的演进,实际上是逐步明确什么是与收益相关的风险,与收益相关的风险才是财务管理中所说的风险。
在使用风险概念时,不要混淆投资对象本身固有的风险和投资者需要承担的风险。投资对象是指一项资产,在资本市场理论中经常用“证券”一词代表任何投资对象。投资对象的风险具有客观性。例如,无论企业还是个人,投资于国库券其收益的不确定栓较小,而投资于股票则收益的不确定性大得多。这种不确定性是客观存在的,不以投资者的意志为转移。因此,我们才可以用客观尺度来计量投资对象的风险。投资者是通过投资获取收益并承担风险的人,他可以是任何单位或个人。财务管理主要研究企业投资。一个企业可以投资于一项资产,也可以投资于多项资产。由于投资分散化可以降低风险,作为投资者的企业,承担的风险可能会小于企业单项资产的风险。一个股东可以投资于一个企业,也可以投资于多个企业。由于投资分散化可以降低风险,作为股东个人所承担的风险可能会小于他投资的各个企业的风险。投资者是否去冒风险及冒多大风险,是可以选择的,是主观决定的。在什么时间、投资于什么样的资卢,各投资多少,风险是不一样的。
二、单项投资的风险与报酬★★
风险的衡量,一般应用概率和统计方法。
(一)概率
在经济活动中,某一事件在相同的条件下可能发生也可能不发生,这类事件称为随机事件。概率就是用来表示随机事件发生可能性大小的数值。通常,把必然发生的事件的概率定为1,把不可能发生的事件的概率定为0,而一般随机事件的概率是介于0与1之间的一个数。概率越大就表示该事件发生的可能性越大。
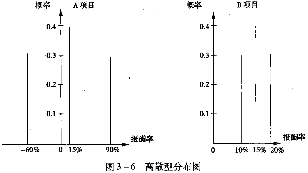
【例3-10】ABC公司有两个投资机会,A投资机会是一个高科技项目,该领域竞争很激烈,如果经济发展迅速并且该项目搞得好,取得较大市场占有率,利润就会很大。否则,利润会很小甚至亏本。B项目投资一个传统产品并且是必需品,销售前景可以准确预测出来。假设未来的经济情况只有三种:繁荣、正常、衰退,有关的概率分布和期望报酬率如表3-1所示。

在这里,概率表示每一种经济情况出现的可能性,同时也就是各种不同期望拫酬率出现的可能性。例如,未来经济情况出现繁荣的可能性有0.3。假如这种情况真的出现,A项目可获得高达90%的报酬率这也就是说,采纳A项目获利90%的可能性是0.3。当然,报酬率作为一种随机变量,受多种因素的影响。这里为了简化,假设其他因素都相同,只有经济情况一个因素影响报酬率。
(二)离散型分布和连续型分布
如果随机变量(如报酬率)只取有限个值,并且对应于这些值有确定的概率,则称随机变量是离散型分布。前面的[例3-10]就属于离散型分布,它有三个值,如图3-6所示。

实际上,出现的经济情况远不止三种,有无数可能的情况会出现。如果对每种情况都赋予一个概率,并分别测定其报酬率,则可用连续型分布描述,如图3-7所示。

从图3-7可以看到,我们给出例子的报酬率呈正态分布,其主要特征是曲线为对称的钟形。实际上并非所有问题都按正态分但是,按照统计学的理论,不论总体分布是正态还是非正态,当样本很大时,其样本平均数都呈正态分布。一般说来,如果被研究的量受彼此独立的大量偶然因素的影响,并且每个因素在总的影响中只占很小部分,那么,这个总影响所引起的数量上的变化,就近似服从于正态分布。所以,正态分布在统计上被广泛使用。
(三)预期值
随机变量的各个取值,以相应的概率为权数的加权平均数,叫做随机变量的预期值(数学期望或均值),它反映随机变量取值的平均化。
$预期值R$

两者的期望报酬率相同,但其概率分布不同(见图3-7)。A项目的报酬率的分散程度大,变动范围在-60%-90%之间;B项目的报酬率的分散程度小,变动范围在10%-20%之间。这说明两个项目的报酬率相同,但风险不同。为了定量地衡量风险大小,还要使用统计学中衡量概率分布离散程度的指标。
(四)离散程度
方差、标准差

在已经知道每个变量值出现概率的情况下,标准差可以按下式计算:
$标准差(\sigma)$


变异系数
【例3-11】A证券的期望报酬率为10%,标准差是12%;B证券的期望报酬率为18%,标准差是20%。
答案
变异系数(A)=12%/10%=1.2
变异系数(B)=20%/18%=1.11
直接从标准差看,B证券的离散程度较大,能否说B证券的风险比A证券大呢?不能轻易下这个结论,因为B证券的平均报酬率较大。如果以各自的平均报酬率为基础观察,A证券的标准差是其均值的12倍,而B证券的标准差只是其均值的111倍,B证券的相对风险较小cj这就是说,A证券的绝对风险较小,但相对风险较大,B证券与此正相反。
三、投资组合的风险与报酬★★
投资组合理论认为,若干种证券组成的投资组合,其收益是这些证券收益的加权平均数,但是其风险不是这些证券风险的加权平均数,投资组合能降低风险。
这里的“证券”是“资产”的代名词,它可以是任何产生现金流的东西,例如,一股股票、一项生产性实物资产、一条生产线或者是一个企业。
(一)证券组合的期望报酬率和标准差
1. 期望报酬率
证券组合的期望报酬率
2. 标准差与相关性
证券组合的标准差,并不是单个证券标准差的简单加权平均。证券组合的风险不仅取决于组合内的各证券的风险,还取决于各个证券之间的关系。
负相关会减少风险。
【例3-12】假设投资100万元,A和B各占50%。如果A和B标准差相等且完全负相关,即一个变量的增加幅度永远等于另一个变量的减少幅度。组合的风险被全部抵消,如表3-3所示。如果A和B标准差相等且完全正相关,即一个变量的增加幅度永远等于另一个变量的增加幅度。组合的风险不减少也不扩大,如表3-4所示。


实际上,各种证券之间不可能完全正相关;也不可能完全负相关,所以不同证券的投资组合可以降低风险,但又不能完全消除风险。一般而言,证券的种类越多,组合降低风险的效果越好。
(二)投资组合的风险计量
投资组合的风险不是各证券标准差的简单加权平均数,那么它如何计量呢?
投资组合报酬率的标准差$\sigma$
相关系数总是在[-1, +1]间取值。
当相关系数为1时,表示一种证券报酬率的增长总是与另一种证券报酬率的增长成比例,反之亦然;
当相关系数为-1时,表示一种证券报酬率的增长总是与另一种证券报酬率的减少成比例,反之亦然;
当相关系数为0时,表示缺乏相关性,每种证券的报酬率相对于另外的证券的报酬率独立变动。
一般而言,多数证券的报酬率趋于同向变动,因此两种证券之间的相关系数多为小于1的正值。
1. 协方差的计算
2. 协方差矩阵
3. 协方差比方差更重要
【例3-13】假设A证券的期望报酬率为10%,标准差是12%。B证券的期望报酬率为18%,标准差是20%。假设等比例投资于两种证券,即各占50%。
该组合的期望报酬率=?


从这个计算过程可以看出:只要两种证券预期报酬率的相关系数小于1,证券组合报酬率的标准差就小于各证券报酬率标准差的加权平均数。
(三)两种证券组合的投资比例与有效集
在[例3-13]中,两种证券的投资比例是相等的。如投资比例变化了,投资组合的期望报酬率和标准差也会发生变化。对于这两种证券其他投资比例的组合,计算结果如表3-5所示。

图3-8 投资于两种证券组合的机会集
图3-8描绘出随着对两种证券投资比例的改变,期望报酬率与风险之间的关系。图中黑点与表3-5中的六种投资组合一一对应。连接这些黑点所形成的曲线称为机会集,它反映出风险与报酬之间的权衡关系。

该图有几项特征是非常重要的:
- (1)它揭示了分散化效应。比较曲线和以虚线绘制的直线的距离可以判断分散化效应的大小。该直线是由全部投资于A和全部投资于B所对应的两点连接而成。它是当两种证券完全正相关(无分散化效应)时的机会集曲线。曲线贝lj代表相关系数为0.2时的机会集曲线。从曲线和直线间的距离,我们可以看出本例的风险分散效果是相当显著的。投资组合抵消风险的效应可以通过曲线1~2的弯曲看出来。从第1点出发,拿出一部分资金投资于标准差较大的B证券会比将全部资金投资于标准差小的A证券的组合标准差还要小。这种结果与人们的直觉相反,揭示了风险分散化的内在特征。一种证券的未预期变化往往会被另一种证券的反向未预期变化所抵消。尽管从总体上看,这两种证券是同向变化的,但抵消效应还是存在的,在图中表现为机会集曲线有一段1-2的弯曲。
- (2)它表达了最小方差组合。即在持有证券的各种组合中标准差最小的组合。本例中,最小方差组合是80%的资金投资于A证券、20%的资金投资于B证券。离开此点,无论增加或减少投资于B证券的比例,都会导致标准差的小幅上升。必须注意的是,分散化投资并非必然导致机会集曲线向第1点组合左侧凸出,它取决于相关系数的大小。如果分散化投资未导致机会集曲绣向第1点组合左侧凸串,则最小方差组合为第1点组合,即全部投资于A。
- (3)它表达了投资的有效集合。在只有两种证券的情况下,投资者的所有投资机会只能出现在机会集曲线上,而不会出现在该曲线上方或下方。改变投资比例只会改变组合在机会集曲线上的位置。最小方差组合以下的组合(曲线12的部分)是无效的。没有人会打算持有期望报酬率比最小方差组合期望报酬率还低的投资组合,它们比最小方差组合不但风险大,而且报酬低。因此,机会集曲线12的弯曲部分是无效的,它们与最小方差组合相比不但标准差大(即风险大),而且报酬率也低。本例中,有效集是2~6之间的那段曲线,即从最小方差组合点到最高期望报酬率组合点的那段曲线。
(四)相关性对风险的影响
图3-9 相关系数机会集曲线
图3-8中,只列示了相关系数为02和1的机会集曲线,如果增加一条相关系数为05的机会集曲线,就成为图3-9。
从图3-9中可以看到:
(1)相关系数为0.5的机会集曲线与完全正相关的直线的距离缩小了,并且没有向点1左侧凸出的现象。
(2)最小方差组合是100%投资于A证券。将任何比例的资金投资于B证券,所形成的投资组合的方差都会高于将全部资金投资于风险较低的A证券的方差。因此,新的有效边界就是整个机会集。
(3)证券报酬率之间的相关系数越小,机会集曲线就越弯曲,风险分散化效应也就越强。证券报酬率之间的相关系数越大,风险分散化效应就越弱。完全正相关的投资组合,不具有风险分散化效应,其机会集是一条直线。

(五)多种证券组合的风险和报酬
图3-10 机会集例示
对于两种以上证券构成的组合,以上原理同样适用。值得注意的是,多种证券组合的机会集不同于两种证券组合的机会集。两种证券的所有可能组合都落在一条曲线上,而两种以上证券的所有可能组合会落在一个平面中,如图3-10的阴影部分所示。这个机会集反映了投资者所有可能的投资组合,图中阴影部分中的每一点都与一种可能的投资组合相对应。随着可供投资的证券数量的增加,所有可能的投资组合数量将呈几何级数上升。
最小方差组合是图3-10最左端的点,它具有最小组合标准差。多种证券组合的机会集外缘有一段向后弯曲,这与两种证券组合中的现象类似:不同证券报酬率的波动相互抵消,产生风险分散化效应。

在图3-10中以粗线描出的部分,称为有效集或有效边界,它位于机会集的顶部,从最小方差组合点起到嘉高期望报酬率点止。投资者应在有效集上寻找投资组合。在机会集内,有效集以外的投资组合与有效边界上的投资组合相比,有三种情况:相同的标准差和较低的期望报酬率;相同的期望报酬率和较高的标准差;较低的期望报酬率和较高的标准差。这些投资组合都是无效的。如果投资组合是无效的,可以通过改变投资比例转换到有效边界上的某个组合,以达到提髙期望报酬率而不增加风险,或者降低风险而不降低期望报酬率的目的’或者得到一个既提高期望报酬率又降低风险的组合。
(六)资本市场线
图3-11 资本市场线:最佳组合的选择

如图3-11所示,从无风险资产的报酬率(Y轴的\(R_f\))开始,做有效边界的切线,切点为\(M\),该直线被称为资本市场线。
现将资本市场线的有关问题说明如下:
- (1)假设存在无风险资产。投资者可以在资本市场上借到钱,将其纳入自己的投资总额;或者可以将多余的钱贷出。无论借入还是贷出,利息都是固定的无风险资产的报酬率。\(R_f\)代表无风险资产的报酬率,它的标准差为0,即报酬率是确定的。
- (2)存在无风险资产的情况下,投资者可以通过贷出资金减少自己的风险,当然也会同时降低期望报酬率。最厌恶风险的人可以全部将资金贷出,例如购买政府债券并持有至到期。偏好风险的人可以借入资金(对无风险资产的负投资),增加购买风险资产的资本,以使期望报酬率增加。
其中:\(Q\)表示投资者投资于风险组合M的资金占自有资本总额的比例;\(1-Q\)表示投资者投资于无风险资产的比例。
如果贷出资金,\(Q\)将小于1;如果是借入资金,\(Q\)会大于1。
此时不用考虑无风险资产,因为无风险资产的标准差等于0。如果贷出资金,Q小于1,承担的风险小于市场平均风险;如果借入资金,Q大于1,承担的风险大于市场平均风险。
- (3)切点M是市场均衡点,它代表唯一最有效的风险资产组合,它是所有证券以各自的总市场价值为权数的加权平均组合,我们将其定义为“市场组合”。虽然理智的投资者可能选择\(XMN\)线上的任何有效组合(它们在任何给定风险水平下收益最大),但是无风险资产的存在,使投资者可以同时持有无风险资产和市场组合(\(M\)),从而位于\(MR_f\)上的某点。\(MR_f\)上的组合与\(XMN\)上的组合相比,风险小而报酬率与之相同,或者报酬高而风险与之相同,或者报酬高且风险小。
- (4)图3-11中的直线揭示出持有不同比例的无风险资产和市场组合情况下风险和期望报酬率的权衡关系。直线的截距表示无风险报酬率,它可以视为等待的报酬率。直线的斜率代表风险的市场价格,它告诉我们当标准差增长某一幅度时相应期望报酬率的增长幅度。直线上的任何一点都可以告诉我们投资于市场组合和无风险资产的比例。在(\(M\))的左侧,你将同时持有无风险资产和风险资产组合。在(\(M\))的右侧,你将仅持有市场组合(\(M\)),并且会借入资金以进一步投资于(\(M\))。
- (5)个人的效用偏好与最佳风险资产组合相独立(或称相分离)。投资者个人对风险的态度仅仅影响借入或贷出的资金量,而不影响最佳风险资产组合。其原因是当存在无风险资产并可按无风险报酬率自由借贷时,市场组合优于所有其他组合。对于不同风险偏好的投资者来说,只要能以无风险报酬率自由借贷,他们都会选择市场组合(\(M\))。这就是所谓的分离定理。它也可表述为最佳风险资产组合的确定独立于投资者的风险偏好。它取决于各种可能风险组合的期望报酬率和标准差。个人的投资行为可分为两个阶段:先确定最佳风险资产组合,后考虑无风险资产和最佳风险资产组合的理想组合。只有第二阶段受投资者风险反感程度的影响。分离定理在理财方面非常重要,它表明企业管理层在决策时不必考虑每位投资者对风险的态度。证券的价格信息完全可用于确定投资者所要求的报酬率,该报酬率可指导管理层进行有关决策。
(七)系统风险和非系统风险
在投资组合的讨论中,我们知道个别资产的风险,有些可以被分散掉,有些则不能。无法分散掉的是系统风险,可以分散掉的是非系统风险。
1.系统风险
详细介绍
系统风险是指那些影响所有公司的因素引起的风险。例如,战争、经济衰退、通货膨胀、利率等非预期的变动,对许多资产都会有影响。系统风险所影响的资产非常多,虽然影响程度的大小有区别。例如,各种股票处于同一经济系统之中,它们的价格变动有趋同性,多数股票的报酬率在一定程度上正相关。经济繁荣时,多数股票的价格都上涨;经济衰退时,多数股票的价格下跌。尽管涨跌的幅度各股票有区别,但是多数股票的变动方向是一致的。所以,不管投资多样化有多充分,也不可能消除全部风险,即使购买的是全部股票的市场组合。
由于系统风险是影响整个资本市场的风险,所以也称市场风险。由于系统风险没有有效的方法消除,所以也称不可分散风险。
2.非系统风险
详细介绍
非系统风险,是指发生于个别公司的特有事件造成的风险。例如,一家公司的工人罢工、新产品开发失败、失去重要的销售合同、诉讼失败,或者宣告发现新矿藏、取得一个重要合同等。这类事件是非预期的、随机发生的,它只影响一个或少数公司,不会对整个市场产生太大影响。这种风险可以通过多样化投资来分散,即发生于一家公司的不利事件可以被其他公司的有利事件所抵消。
由于非系统风险是个别公司或个别资产所特有的,因此也称特殊风险或特有风险。由于非系统风险可以通过投资多样化分散掉,因此也称可分散风险。
由于非系统风险可以通过分散化消除,因此一个充分的投资组合几乎没有非系统风险。假设投资者都是理智的,都会选择充分投资组合,非系统风险将与资本市场无关,市场不会对它给予任何价格补偿。通过分散化消除的非系统风险,几乎没有任何值得市场承认的、必须花费的成本。
我们已经知道,资产的风险可以用标准差计量。这个标准差是指它的整体风险。现在我们把整体风险划分为系统风险和非系统风险,如图3-12所示。

承担风险会从市场上得到回报,回报大小仅仅取决于系统风险。这就是说,一项资产的必要报酬率高低取决于该资产的系统风险大小。
综上所述,需要掌握的主要内容是:
证券组合的风险不仅与组合中每个证券报酬率的标准差有关,而且与各证券之间报酬率的协方差有关。
对于一个含有两种证券的组合,投资机会集曲线描述了不同投资比例组合的风险和报酬之间的权衡关系。
风险分散化效应有时使得机会集曲线向左凸出,并产生比最低风险证券标准差还低的最小方差组合。
有效边界就是机会集曲线上从最小方差组合点到最高期望报酬率的那段曲线。
持有多种彼此不完全正相关的证券可以降低风险。
如果存在无风险证券,新的有效边界是经过无风险报酬率并和机会集相切的直线,该直线称为资本市场线,该切点被称为市场组合,其他各点为市场组合与无风险投资的有效搭配。
资本市场线横坐标是标准差,纵坐标是报酬率。该直线反映两者的关系,即风险价格。
四、资本资产定价模型(CAPM)★★★
1964年,威廉夏普(William Sharpe)根据投资组合理论提出了资本资产定价模型(CAPM)。资本资产定价模型,是财务学形成和发展过程中最重要的里程碑。它第一次使人们可以量化市场的风险程度,并且能够对风险进行具体定价。
资本资产定价模型的研究对象,是充分组合情况下风险与必要报酬率之间的均衡关系。资本资产定价模型可用于回答如下不容回避的问题:为了补偿某一特定程度的风险,投资者应该获得多大的报酬率?在前面的讨论中,我们将风险定义为期望报酬率的不确定性;然后根据投资理论将风险区分为系统风险和非系统风险,知道了在高度分散化的资本市场里只有系统风险,并且舍得到相应的回报。现在将讨论如何衡量系统风险以及如何给风险定价。
(一)系统风险的度量
既然一项资产的必要报酬率取决于它的系统风险,那么度量系统风险就成了一个关键问题。
$\beta$系数
一项资产的必要报酬率取决于它的系统风险。
度量一项资产系统风险的指标是\(\beta\)系数,用希腊字母\(\beta\)表示。

一种股票的\(\beta\)取决于:(1)该股票与整个股票市场的相关性;(2)它自身的标准差;(3)整个市场的标准差。
\(\beta\)系数的经济意义在于,它告诉我们相对于市场组合而言特定资产的系统风险是多少。
13系数的计算方法有两种:
一种是使用回归直线法。根据数理统计的线性回归原理,0系数均可以通过同一时期内的资产报酬率和市场组合报酬率的历史数据,使用线性回归方程预测出来。系数就是该线性回归方程的回归系数。
【例3-14】J股票历史已获得报酬率以及市场历史已获得报酬率的有关资料如表3-6所示,计算其召值的数据准备过程如表3-7和表3-8所示。



求解回归方程$y=a+bx$系数的计算公式如下:

将有关数据代入上式:

直线方程斜率\(b\),就是该股票的\(\beta\)系数。
另一种方法是按照定义,根据证券与股票指数报酬率的相关系数、股票指数的标准差和股票报酬率的标准差直接计算。
相关系数的计算:

标准差的计算:

$\beta$系数的计算:

\(\beta\)系数的经济意义在于,它告诉我们相对于市场组合而言特定资产的系统风险是多少。例如,市场组合相对于它自己的\(\beta\)系数是1;如果一项资产的\(\beta\)=0.5,表明它的系统风险是市场组合系统风险的二分之一,其报酬率的波动幅度只及一般市场报酬率波动幅度的一半;如果一项资产的\(\beta\)=2,说明这种资产报酬率波动幅度为一般市场报酬率波动幅度的2倍。总之,某一股票\(\beta\)值的大小反映了该股票报酬率波动与整个市场报酬率波动之间的相关性及程度。
(二)投资组合的\(\beta\)系数
投资组合的$\beta$系数
如果一个髙值股票(\(\beta\)>1)被加入到一个平均风险组合(\(\beta_P\))中,则组合风险将会提高;反之,如果一个低\(\beta\)值股票(\(\beta\)<1)加入到一个平均风险组合中,则组合风险将会降低。所以,一种股票的值可以度量该股票对整个组合风险的贡献,\(\beta\)值可以作为这一股票风险程度的一个大致度量。
【例3-15】一个投资者拥有10万元现金进行组合投资,共投资10种股票且各占1/10即1万元。如果这10种股票的\(\beta\)值皆为1.18,则组合的\(\beta\)值为\(\beta_P\)=1.18。该组合的系统风险比市场组合的系统风险大,即其价格波动的范围较大,报酬率的变动也较大。现在假设完全售出其中的一种股票且以一种\(\beta\)=0.8的股票取而代之。此时,股票组合的\(\beta\)值将由1.18下降至1.142。

(三)证券市场线
证券市场线
按照资本资产定价模型理论,单一证券的系统风险可由系数来度量,而且其风险与收益之间的关系可由证券市场线来描述。
这个等式被称为资本资产定价模型:


图3-13证券市场线:\(\beta\)值与必要报酬率
证券市场线的主要含义如下:
- (1)纵轴为必宴报酬率,横轴则是以\(\beta\)值表示的风险。
- (2)无风险证券的\(\beta\)=0,故\(R_f\)成为证券市场线在纵轴的截距。
- (3)证券市场线的斜率[{\Delta}Y/{\Delta}X=(R_m-R_f)/{1-0)=12%-8%=4%]表示经济系统中风险厌恶感的程度。一般来说,投资者对风险的厌恶感越强,证券市场线的斜率越大,对风险资产所要求的风险补偿越大,风险资产的必要报酬率越高。
- (4)在\(\beta\)值分别为0.5、1和1.5的情况下,必要报酬率由最低\(R_l\)=10%,到市场平均的\(R_m\)=12%,再到最高的\(R_h\)=14%。\(\beta\)值越大,必要报酬率越高。
从证券市场线可以看出,投资者的必要报酬率不仅仅取决于市场风险,而且还取决于无风险报酬率(证券市场线的截距)和市场风险补偿程度(证券市场线的斜率)。由于这些因素始终处于变动之中,所以证券市场线也不会一成不变。预计通货膨胀提高时,无风险报酬率会随之提髙,进而导致证券市场线的向上平移。风险厌恶感的加强,会提高证券市场线的斜率。
需要说明的是,图3-13的证券市场线与图3-11的资本市场线是两条完全不同的直线,它们之间有着明显的区别。资本市场线描述的是由风险资产和无风险资产构成的投资组合的有效边界。其中最优投资组合由两部分组成:一部分是无风险资产,另一部分则是风险资产组合有效集上的一个风险组合。资本市场线上的M点代表的就是这一风险组合;而资本市场线上的其他点,则表示由M点与无风险资产以不同比例所构成的投资组合。其测度风险的指标是整个资产组合的标准差,此直线只适用于有效组合。
而证券市场线描述的则是在市场均衡条件下单项资产或资产组合(不论它是否已经有效地分散风险)的必要报酬率与风险之间的关系。测度风险的指标是单项资产或资产组合对于整个市场组合方差的贡献程度,即\(\beta\)系数。
此外,需要提醒注意的是,必要报酬率也称最低要求报酬率,是指准确反映预期未来现金流量风险的报酬率,是等风险投资的机会成本;期望报酬率则是使净现值为0的报酬率。期望报酬率和必要报酬率的关系,决定了投资者的行为。以股票投资为例,当期望报酬率大于必要报酬率时,表明投资会有超额回报,投资者应购入股票;当期望报酬率等于必要报酬率时,表明投资获得与所承担风险相应的回报,投资者可选择采取或不采取行动;当期望报酬率小于必要报酬率时,表明投资无法获得应有回报,投资者应卖出股票。在完美的资本市场上,投资的期望报酬率等于必要报酬率。
(四)资本资产定价模型的假设
资本资产定价模型建立在如下基本假设之上:
- (1)所有投资者均追求单期财富的期望效用最大化,并以各备选组合的期望收益和标准差为基础进行组合选择。
- (2)所有投资者均可以无风险报酬率无限制地借入或贷出资金。
- (3)所有投资者拥有同样预期,即对所有资产报酬的均值、方差和协方差等,投资者均有完全相同的主观估计。
- (4)所有的资产均可被完全细分,拥有充分的流动性且没有交易成本。
- (5)没有税金。
- (6)所有投资者均为价格接受者。即任何一个投资者的买卖行为都不会对股票价格产生影响。
- (7)所有资产的数量是给定的和固定不变的。
在以上假设的基础上,构建了具有奠基意义的资本资产定价模型。随后,每一个假设逐步被放开,并在新的基础上进行研究,这些研究成果都是对资本资产定价模型的突破与发展。多年来,资本资产定价模型经受住了大量经验上的证明,尤其是\(\beta\)概念。
自资本资产定价模型构建以来,各种理论争议和经验证明便不断涌现。尽管该模型存在许多问题和疑问,但是以其科学的简单性、逻辑的合理性赢得了人们的支持。各种实证研究验证了\(\beta\)概念的科学性及适用性。
关于资本资产定价模型,将在资本成本等章节中加以应用。
End
|
微信扫码,自愿捐赠。四海同道,共谱新篇。
微信捐赠不显示捐赠者个人信息,如需要,请注明联系方式。 |

浙公网安备 33010602011771号