数据结构面试题及答案讲解+二叉树专题(下)+腾讯+字节跳动常考题
@
目录
本节目标
-
1、求二叉树的镜像(腾讯2020年面试原题)
-
2、二叉树的层序遍历(字节跳动2018年面试原题)
-
3、二叉树的前序非递归遍历、中序非递归遍历、后序非递归遍历(字节跳动2020年面试原题)

1、求二叉树的镜像。
OJ链接:https://leetcode-cn.com/problems/er-cha-shu-de-jing-xiang-lcof/

解题思路:
镜像其实就是镜子中的成像,也就是跟当前树镜子中对称的树,也就是将每个树的左右孩子交换,如下图。

代码实现:
/**
* Definition for a binary tree node.
* struct TreeNode {
* int val;
* TreeNode *left;
* TreeNode *right;
* TreeNode(int x) : val(x), left(NULL), right(NULL) {}
* };
*/
class Solution {
public:
TreeNode* mirrorTree(TreeNode* root) {
if(root == NULL)
return NULL;
swap(root->left, root->right);
mirrorTree(root->left);
mirrorTree(root->right);
return root;
}
};
2、二叉树的层序遍历
OJ链接:https://leetcode-cn.com/problems/binary-tree-level-order-traversal/
高频考察的大厂云图:

解题思路:
BFS(广度优先遍历)遍历,DFS(深度优先遍历)遍历,是树型结构的两种遍历方式。本题既可以使用BFS,也可以使用DFS,不过一般情况下,BFS做起来容易理解一些,所以我们这个题就直接队列BFS的方式完成就可以,下一个题我们会使用DFS的方式看来完成。

思路:本题是二叉树层序遍历的变形,因为还要要求分层打印。
- 本题我们使用队列的FIFO(先进先出)的性质,根先进队列。
- 根出来时代入下一层的子节点,子节点出来时再代入下一层子节点。
- 不断重复直到队列为空。
- 总结一下:上一层出时带入下一层进队列,那么节点在队列中是先进先出的,所以整个树是一层一层遍历的

思路:本题是二叉树层序遍历的变形,因为还要要求分层打印。
- 要实现分层遍历,我们可以巧妙的控制每层的节点个数来完成。
- 最开始我们将根入到队列中,那么这时队列的数据个数就是第一层的数据个数。
- 遍历时用一个循环控制一层一层出,如果第一层出完了,第二层的节点就都被代入队列中了。
- 以此类推,第N层出完了,队列中就是第N+1层的节点,这样我们就把数据一层层分开了。

代码实现:
/*
思路:二叉树层序遍历的变形
1. 如果是空树直接返回
2. 层序遍历需要用到队列,定义一个队列,里面放置节点的地址,将根节点如队列
3. 队列非空时,循环进行一下操作:
a. 队列中当前元素都是在同一层的,依次取出遍历,保存到同一个vector中
取到一个节点时候:
>> 保存该节点
>> 如果该节点左子树存在,将该左子树入队列
>> 如果该节点右子树存在,将该节点右子树入队列
>> 将当前已遍历节点从队列中拿出来
b. 本层节点遍历结束后,保存到返回的vector中,此时下一层节点已经全部入队列
*/
class Solution {
public:
vector<vector<int>> levelOrder(TreeNode* root)
{
// 如果是空树直接返回
vector<vector<int>> ret;
if(nullptr == root)
return ret;
queue<TreeNode*> q;
q.push(root); // 已经将第一层节点放到队列中
while(!q.empty())
{
// 一次性将一层的所有节点全部遍历完
vector<int> level;
int levelSize = q.size();
// 该for将本层节点变量完成后,已经将下一层节点保存到队列中
for(size_t i = 0; i < levelSize; ++i)
{
TreeNode* front = q.front();
level.push_back(front->val);
// 如果该节点有左右子树,分别将左右子树入队列
if(front->left)
q.push(front->left);
if(front->right)
q.push(front->right);
q.pop();
}
ret.push_back(level);
}
return ret;
}
};
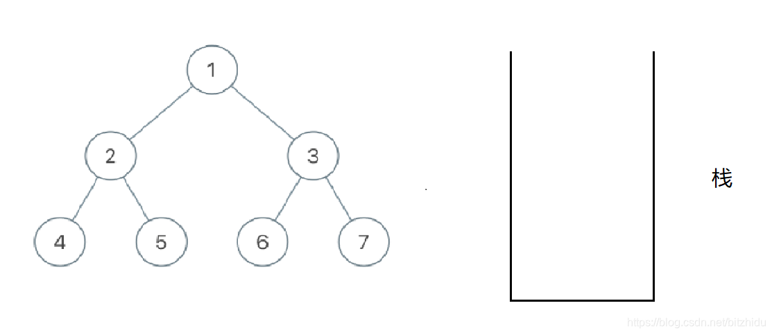
3、二叉树的前序非递归遍历、中序非递归遍历、后序非递归遍历
前序遍历OJ链接:https://leetcode-cn.com/problems/binary-tree-preorder-traversal/
中序遍历OJ链接:https://leetcode-cn.com/problems/binary-tree-inorder-traversal/
后序遍历OJ链接:https://leetcode-cn.com/problems/binary-tree-postorder-traversal/
高频考察的大厂云图:

解题思路:
-
本题本质就是二叉树的DFS遍历。
-
下图分别展示了什么是前序、中序、后序遍历,我们简单复习一下。

问题分析:
- 这里要使用递归实现前中后序遍历非常简单,但是面试时的要求基本都要求是非递归遍历。
- 这三个题本质都是类似的,我们非递归要借助栈来完成
- 我们把一棵树分成两个部分来看待,左路节点和左路节点的右子树。
- 右子树使用遍历子树的思想来完成。
- 本题还是比较复杂和抽象,是个硬菜,更细节的过程我们上课时通过图结合代码讲解。


代码实现:
/*
思路:前序非递归遍历需要借助栈
1. 如果树为空,直接返回
2. 如果树非空:从根节点位置开始遍历,但此时根节点不能遍历,因为中序遍历规则:左子树、根节点、右子树
a. 沿着根节点一直往左走,将所经过路径中的节点依次入栈,并访问。
b. 取栈顶元素,该元素取到后,其左子树要么为空,要么已经遍历,可以直接遍历该节点,对于该节点, 其左子树已经遍历,该节点也已经遍历,剩余其右子树没有遍历,将其左子树当成一棵新的树开始遍 历,继续a
具体实现:参考代码,学生自己动手画图理解
*/
class Solution {
public:
vector<int> preorderTraversal(TreeNode* root)
{
vector<int> v;
stack<TreeNode*> st;
TreeNode* cur = root;
while(!st.empty() || cur)
{
// 每次循环表示要开始访问一颗树了,先将一颗数的左路节点都入栈并访问节点
// 剩余左路节点的右子树还没访问
while(cur)
{
v.push_back(cur->val);
st.push(cur);
cur = cur->left;
}
// 取栈中的节点依次访问左路节点的右子树
TreeNode* top = st.top();
st.pop();
cur = top->right;
}
return v;
}
};
/*
思路:中序非递归遍历需要借助栈
1. 空树,直接返回
2. 如果树非空:从根节点位置开始遍历,但此时根节点不能遍历,因为中序遍历规则:左子树、根节点、右子树
a. 沿着根节点一直往左走,将所经过路径中的节点依次入栈
b. 取栈顶元素,该元素取到后,其左子树要么为空,要么已经遍历,可以直接遍历该节点,对于该节点, 其左子树已经遍历,该节点也已经遍历,剩余其右子树没有遍历,将其左子树当成一棵新的树开始遍 历,继续a
具体实现:参考代码,学生自己动手画图理解
*/
class Solution {
public:
vector<int> inorderTraversal(TreeNode* root) {
// 空树,直接返回
vector<int> vRet;
if(nullptr == root)
return vRet;
TreeNode* pCur = root;
stack<TreeNode*> s;
while(pCur || !s.empty())
{
// 找以pCur为根的二叉树最左侧的节点,并将所经路径中的节点入栈
while(pCur)
{
s.push(pCur);
pCur = pCur->left;
}
pCur = s.top();
// pCur左子树为空,相当于左子树已经访问过了,可以直接访问以pCur为根的二叉树的根节点
vRet.push_back(pCur->val);
s.pop();
// 以pCur为根的二叉树的左子树已经遍历完,根节点已经遍历,
// 将pCur的右子树当成一棵二叉树来遍历
pCur = pCur->right;
}
return vRet;
}
};
/*
思路:后序非递归遍历需要借助栈
1. 空树,直接返回
2. 如果树非空:从根节点位置开始遍历,但此时根节点不能遍历,因为后序遍历规则:左子树、右子树、根节点
a. 沿着根节点一直往左走,将所经过路径中的节点依次入栈
b. 取栈顶元素,该元素取到后,其左子树要么为空,要么已经遍历,
但是此时该节点不能遍历,除非其右子树不存在或者其右子树已经遍历,才可以遍历该节点
如果该节点右子树没有遍历,将其右子树作为一棵新的二叉树遍历,继续a
具体实现:参考代码,学生自己动手画图理解
*/
class Solution {
public:
vector<int> postorderTraversal(TreeNode* root) {
// 空树直接返回
vector<int> vRet;
if(nullptr == root)
return vRet;
TreeNode* pCur = root;
TreeNode* pPrev = nullptr;
stack<TreeNode*> s;
while(pCur || !s.empty())
{
// 找以pCur为根的二叉树最左侧的节点,并将所经路径中的节点入栈
while(pCur)
{
s.push(pCur);
pCur = pCur->left;
}
TreeNode* pTop = s.top();
// pTop左子树已经访问
// 如果pTop的右子树是空,或者右子树已经访问过了,就可以访问pTop
if(nullptr == pTop->right || pPrev == pTop->right)
{
vRet.push_back(pTop->val);
s.pop();
// 将刚刚访问过的节点标记起来
pPrev = pTop;
}
else
{
// 如果右子树没有访问,将右子树当成一棵新的二叉树访问
pCur = pTop->right;
}
}
return vRet;
}
};
视频讲解
如果看完文章,你还是没有太明白,请看视频讲解:
数据结构面试题及答案讲解+二叉树专题(下)+腾讯+字节跳动常考题
文章还不错,请点赞
想看什么内容,请留言
持续更新有价值的内容~~
博主和团队推出一个免费的公众号栏目:IT笔试面试真题讲解,每天发布一个视频讲解IT公司笔试面试真题。
欢迎扫码关注哦

浙公网安备 33010602011771号