会员
周边
新闻
博问
闪存
众包
赞助商
Chat2DB
所有博客
当前博客
我的博客
我的园子
账号设置
会员中心
简洁模式
...
退出登录
注册
登录
BingoC
学会静心,安心成长,戒骄戒躁, 得之吾幸,失之吾命,勿强求!
博客园
首页
新随笔
联系
订阅
管理
超分辨率重建——重建算法的分类
看了很多论文,发现有很多的分类方法,以下仅列出见得比较多得分类:
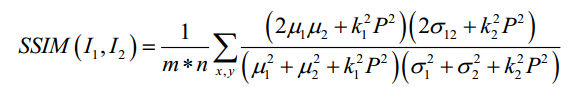
重建算法的评价指标:SSIM 结构相似性和 PSNR峰值信噪比
posted @
2019-04-14 17:32
BingoC
阅读(
2077
) 评论(
0
)
收藏
举报
刷新页面
返回顶部
公告