06 一篇,学会python循环与分支

《python小白入门系列教程》 专栏 • 第06篇

Python忠实地按照它们的顺序执行它们。

如果你想要改变语句流的执行顺序,该怎么办呢?

你可能已经猜到了,这是通过控制流语句实现的。

在Python中有三种控制流语句——if、for和while。

if语句

if语句用来检验一个条件, 如果 条件为真(True),我们运行一块语句(称为 if-块 )

否则 我们处理另外一块语句(称为 else-块 )。else 从句是可选的。

age = 20
if age >18:
     print("成年人")
else :
     print("未成年")
# "未成年"

程序中我们判断age的值是否大于18 如果大于输出"成年人" 否则输出 "未成年"

注意:

18后面有个冒号

print("成年人") 前面有缩进4个空格 称为if-块

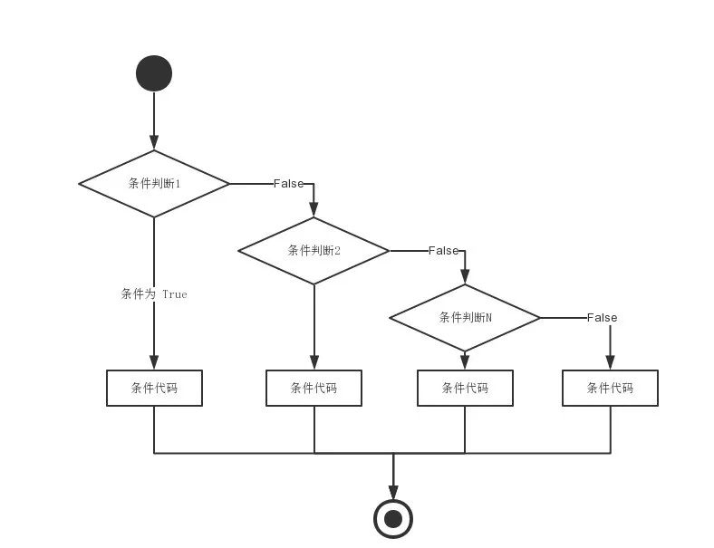
可以通过下图来简单了解条件语句的执行过程:


使用多重if

在这个程序中,我们从用户处得到猜测的数,然后检验这个数是否是我们手中的那个。我们把变量number设置为我们想要的任何整数,在这个例子中是28。然后,我们使用input()函数取得用户猜测的数字。

案例

number = 28
guess = int(input('请输入数字:'))
if guess==number: 
    print('恭喜您猜中了')  
    print('不是每一次您都能猜中')
elif guess <number: 
    print('您猜的数有点小了')
else:
    print("您猜的大了点")
​
print("猜数完成")
# 当if条件执行完这句话执行

输出:

请输入一个数字:50
您猜的大了点
猜数完成
​
请输入一个数字:22
您猜的数有点小了
猜数完成
​
请输入一个数字:28
恭喜您猜中了
不是每一次您都能猜中
猜数完成

注意if语句在结尾处包含一个冒号——我们通过它告诉Python下面跟着一个语句块。

记住,elif和else部分是可选的。

在Python执行完一个完整的if语句以及与它相关联的elif和else从句之后,它移向if语句块的下一个语句。在这个例子中,这个语句块是主块。

程序从主块开始执行,而下一个语句是print ('猜数完成')语句。在这之后,Python看到程序的结尾,简单的结束运行。

可以通过下图来简单了解条件语句的执行过程:

以下为if中常用的操作运算符:

操作符描述
<小于
<=小于或等于
>大于
>=大于或等于
==等于,比较两个值是否相等
!=不等于

while语句

只要在一个条件为真的情况下,while语句允许你重复执行一块语句。while语句是所谓 循环 语句的一个例子。while语句有一个可选的else从句。

使用while语句

while running:
    guess = int(input('请输入一个数字 : '))
    if guess == number:
        print('恭喜你猜到了') 
        running = False # 让while循环停止
    elif guess < number:
        print('小了点')
    else:
         print('大了点') 
else:
     print('循环结束') 
 

输出

请输入一个数字:50
大了点 
​
请输入一个数字:22
小了点 
​
请输入一个数字:28
恭喜你猜到了

循环结束

在这个程序中,我们仍然使用了猜数游戏作为例子,但是这个例子的优势在于用户可以不断的猜数,直到他猜对为止——这样就不需要像前面那个例子那样为每次猜测重复执行一遍程序。这个例子恰当地说明了while语句的使用

我们把input和if语句移到了while循环内,并且在while循环开始前把running变量设置为True。首先,我们检验变量running是否为True,然后执行后面的 while-块 。在执行了这块程序之后,再次检验条件,在这个例子中,条件是running变量。

如果它是真的,我们再次执行while-块,否则,我们继续执行可选的else-块,并接着执行下一个语句。

当while循环条件变为False的时候,else块才被执行——这甚至也可能是在条件第一次被检验的时候。如果while循环有一个else从句,它将始终被执行,除非你的while循环将永远循环下去不会结束

True和False被称为布尔类型。你可以分别把它们等效地理解为值1和0。在检验重要条件的时候,布尔类型十分重要,它们并不是真实的值

else块事实上是多余的,因为你可以把其中的语句放在同一块(与while相同)中,跟在while语句之后,这样可以取得相同的效果。

for循环

for..in是另外一个循环语句,它在一序列的对象上 递归 即逐一使用队列中的每个项目。

使用for语句

案例:

for i in range(1, 5): 
    print(i) 
else:
    print('循环结束')

输出:

1234循环结束

在这个程序中,我们打印了一个 序列 的数。我们使用内建的range函数生成这个数的序列。

我们所做的只是提供两个数,range返回一个序列的数。这个序列从第一个数开始到第二个数为止。例如,range(1,5)给出序列[1, 2, 3, 4]。默认地,range的步长为1。如果我们为range提供第三个数,那么它将成为步长。

例如,range(1,5,2)给出[1,3]。记住,range 向上 延伸到第二个数,即它不包含第二个数

for循环在这个范围内递归——for i in range(1,5)等价于for i in [1, 2, 3, 4],这就如同把序列中的每个数(或对象)赋值给i,一次一个,然后以每个i的值执行这个程序块。在这个例子中,我们只是打印i的值。

记住,else部分是可选的。如果包含else,它总是在for循环结束后执行一次,除非遇到break语句

break语句

reak语句是用来 终止 循环语句的,即哪怕循环条件没有称为False或序列还没有被完全递归,也停止执行循环语句。

一个重要的注释是,如果你从for或while循环中 终止 ,任何对应的循环else块将不执行。

案例:

while True:
    s = input('输入字符串 : ') 
    if s == 'quit': 
        break 
    print ('字符串的长度是', len(s))
print '循环结束'

输出:

输入字符串 : I字符串的长度是 1输入字符串 : Love字符串的长度是 4输入字符串 : You字符串的长度是 3输入字符串 : quit循环结束

在这个程序中,我们反复地取得用户地输入,然后打印每次输入地长度。我们提供了一个特别的条件来停止程序,即检验用户的输入是否是'quit'。通过 终止 循环到达程序结尾来停止程序。

输入字符串的长度通过内建的len函数取得

continue语句

continue语句被用来告诉Python跳过当前循环块中的剩余语句,然后 继续 进行下一轮循环。

案例:

while True: 
    s = input('输入字符串 : ') 
    if s == 'quit': 
        break 
    if len(s) < 3: 
        print('太短了') 
        continue 
    print('验证通过') 
print('循环结束') 
# 自此处起继续进行其它任何处理

输出:

输入字符串 : I太短了输入字符串 : Love验证通过输入字符串 : You验证通过输入字符串 : quit循环结束

在这个程序中,我们从用户处取得输入,但是我们仅仅当它们有至少3个字符长的时候才处理它们。所以,我们使用内建的len函数来取得长度。如果长度小于3,我们将使用continue语句忽略块中的剩余的语句。否则,这个循环中的剩余语句将被执行,我们可以在这里做我们希望的任何处理。

while循环图解




IT入门 感谢关注

练习地址:www.520mg.com/it

posted @ 2020-09-27 21:50  曾庆林  阅读(289)  评论(0)    收藏  举报