The more, The Better(HDU-1561)
Problem Description
ACboy很喜欢玩一种战略游戏,在一个地图上,有N座城堡,每座城堡都有一定的宝物,在每次游戏中ACboy允许攻克M个城堡并获得里面的宝物。但由于地理位置原因,有些城堡不能直接攻克,要攻克这些城堡必须先攻克其他某一个特定的城堡。你能帮ACboy算出要获得尽量多的宝物应该攻克哪M个城堡吗?
Input
每个测试实例首先包括2个整数,N,M.(1 <= M <= N <= 200);在接下来的N行里,每行包括2个整数,a,b. 在第 i 行,a 代表要攻克第 i 个城堡必须先攻克第 a 个城堡,如果 a = 0 则代表可以直接攻克第 i 个城堡。b 代表第 i 个城堡的宝物数量, b >= 0。当N = 0, M = 0输入结束。
Output
对于每个测试实例,输出一个整数,代表ACboy攻克M个城堡所获得的最多宝物的数量。
Sample Input
3 2
0 1
0 2
0 3
7 4
2 2
0 1
0 4
2 1
7 1
7 6
2 2
0 0Sample Output
5
13
思路:树形 DP
设 dp[i][j] 为以第 i 号为根取 j 个的最大值,显然,当以 i 号结点为根取 1 个时,其值为第 i 号城堡本省的价值,即 dp[i][1]=w[i]
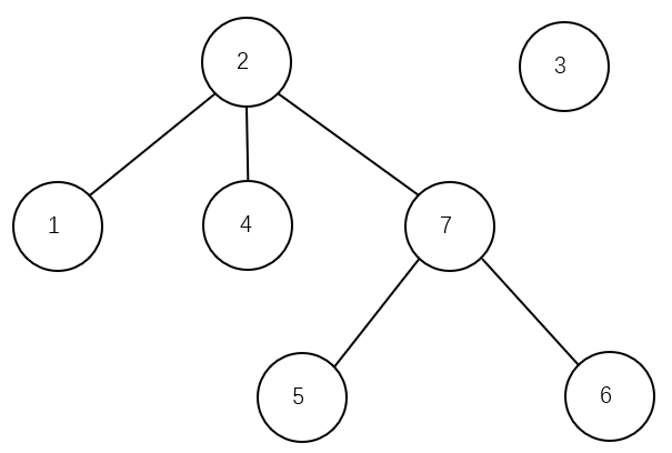
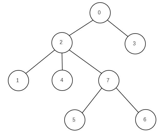
以样例 2 为例,可以建得如下的一个图

选择一棵树,从根节点向子节点直接进行动态规划,由于对任意结点 i 有 dp[i][1]=w[i],那么如果要求 dp[i][j] 的话,就要对其子树达到最优后再解决当前的问题,即有:dp[i][j]=max{ dp[i][j],dp[i][k]+dp[子节点][i-k] },其中 k 代表取k个点
得到状态转移方程后,可以发现,图是一个森林,这个时候,就需要加一个虚拟的根节点,将其权值设为 0,从其开始进行状态转移,这样一来,就要求包括其自身在内的 m+1 个点的最优值

Source Program
#include<iostream>
#include<cstdio>
#include<cstdlib>
#include<string>
#include<cstring>
#include<cmath>
#include<ctime>
#include<algorithm>
#include<utility>
#include<stack>
#include<queue>
#include<vector>
#include<set>
#include<map>
#define PI acos(-1.0)
#define E 1e-6
#define MOD 1000000007
#define INF 0x3f3f3f3f
#define N 1001
#define LL long long
using namespace std;
struct Edge{
int next;
int to;
}edge[N];
int head[N],cnt;
int n,m;
int dp[N][N];//以i为根攻破j个城堡的最大值
bool vis[N];
void addEdge(int next,int to){
edge[cnt].to=to;
edge[cnt].next=head[next];
head[next]=cnt++;
}
int dfs(int x){//以x为根结点向下搜索
vis[x]=true;
for(int i=head[x];i!=-1;i=edge[i].next){
int y=edge[i].to;//与x邻接的点
if(!vis[y])
dfs(y);
for(int j=m+1;j>=2;j--)//除虚拟的根结点外,枚举要攻破的城堡个数
for(int k=1;k<j;k++)//取k个点
if(dp[y][j-k]!=-1&&dp[x][k]!=-1)
dp[x][j]=max(dp[x][j],dp[x][k]+dp[y][j-k]);
}
}
int main(){
while(scanf("%d%d",&n,&m)!=EOF&&(n+m)){
memset(dp,-1,sizeof(dp));
memset(head,-1,sizeof((head)));
memset(vis,false,sizeof(vis));
cnt=0;
//由于图可能为一森林,因此加一虚拟根节点,使其值为0
for(int i=0;i<=n;i++)
dp[i][0]=0;
dp[0][1]=0;
for(int i=1;i<=n;i++){
int x,y;
scanf("%d%d",&x,&y);
addEdge(x,i);
dp[i][1]=y;//以第i个点为根攻破1的城堡的值一定是这个城堡自身的值
}
dfs(0);//以虚拟结点为根节点向下搜索
printf("%d\n",dp[0][m+1]);
}
return 0;
}

浙公网安备 33010602011771号