Applese 的减肥计划
【题目描述】
Applese 最近又长胖了,于是它打算减肥——练习举重。
他在举重的时候用两只手往不同方向用力,从而把杠铃举起来。
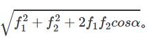
已知 Applese 两只手分别产生的力的大小,以及它们之间的夹角,试求两力合力的大小。
【输入描述】
仅一行三个整数 f1,f2,a,分别表示两只手产生的力的大小以及它们之间的夹角
1≤f1,f2≤100
0≤a≤180【输出描述】
输出一个实数表示两力合力的大小,要求相对误差或绝对误差不超过 10−6。
严格来讲,如果你的答案是 a,而标准答案是 b,那么当 |a−b|/max{1,|b|}≤10−6 时,你的答案会被认为是正确的。【样例】
示例1
输入
6 8 90
输出
10.0000000000示例2
输入
10 10 60
输出
17.3205080757
思路:
根据余弦定理,计算两个力的合力即可,注意 cos 函数中的参数为弧度

【源代码】
#include<iostream>
#include<cstdio>
#include<cstdlib>
#include<string>
#include<cstring>
#include<cmath>
#include<ctime>
#include<algorithm>
#include<utility>
#include<stack>
#include<queue>
#include<vector>
#include<set>
#include<map>
#define PI acos(-1.0)
#define E 1e-6
#define MOD 1000000007
#define INF 0x3f3f3f3f
#define N 100001
#define LL long long
using namespace std;
double calculate(double f1,double f2,double a){
return sqrt ( f1*f1+f2*f2+2*f1*f2*cos((a/180)*PI) );
}
int main(){
double f1,f2,a;
cin>>f1>>f2>>a;
double f=calculate(f1,f2,a);
printf("%.10lf\n",f);
return 0;
}

浙公网安备 33010602011771号