机器学习
1、机器学习是干什么的。我的理解:通过查看现在的状况,利用机器学习,预测未来可能出现的情况。(房价预测)/或者说通过一些算法、代码让机器实现一些简单的工作。(客服机器人) 编写算法,让机器人通过大量的数据、经验自己学习获得最优解。
显著式编程 和 非显著式编程:
告诉特点让其分类;让计算机自己总结规律得编程方法为非显著式编程(通过数据经验自动学习来完成任务)。
2、机器学习的分类:
监督学习:经验E是人工采集并输入计算机中的。
分为传统监督学习(每个训练数据都有对应的标签)、非监督学习(所有训练数据都没有对应的标签)、半监督学习三种。
另一个角度分类(基于标签的固有属性):分类(标签是离散的值)和回归(标签是连续的值)(训练样本是时间、标签是房价,房价是连续的) 房价看成10000、100001、100002。这样就是离散的。房价化成一个曲线,就是连续的。
监督学习算法:支持向量机、深度神经网络、人工神经网络。
无监督学习算法:聚类、EM算法、主成分分析。
强化学习:经验E是由计算机与环境的互动获得的。计算机产生行为并获得这个行为的结果。我们只需设计收益函数。同时设计算法,让计算机自己改变自己的行为模式,去最大化收益函数。
3、机器学习的流程:
①把一个问题变成机器学习的问题 ②收集数据、处理数据、提取特征(通过训练样本取得对机器学习任务有帮助的多维数据) ③训练模型,通过这些数据,设计模型,使得我的模型能预测未来的数据 ④关注模型的性能,通过模型获得新数据,再用新的数据进行模型的调整。 迭代这一过程。
选择什么样的问题 变成机器学习的问题呢? ----- 利益。
数据的选择? ---- 高质量的、清洗过的数据。
模型的设计和上线?----- 设计模型需要大量的机器来跑数据。 设计了模型还不一定能用,可能部署上线很贵。
1、对数据进行特征提取、特征选择。2、使用不同的算法对特征空间做不同的划分获得不同的结果 3、研究不同场景下采用哪种算法。
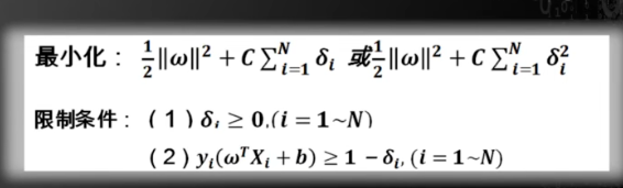
4、支持向量机
①线性可分(把两类图形分开):即通过直线/平面/超平面把×和⭕分开。

1、以二维下直线划分两类样本为例。我们首先可以找到很多直线使得划分两类样本。我们把直线进行平移,到相交到样本集止,交到的样本叫做支持向量。我们要找的直线就是使得
交的两平行线之间间隔最大的,并且位于中间位置的那条直线。 而用数学方法表示的话就是

注意有 n个限制条件。就是说对于每个样本满足,如果标签yi=+1,那么样本的x要满足w转置*x+b>=1;如果标签yi=-1,那么样本的x要满足 w转置*x+b<=-1。
只有满足限制条件才能保证是线性可分的。而最小化目标函数就是找到那个超平面。
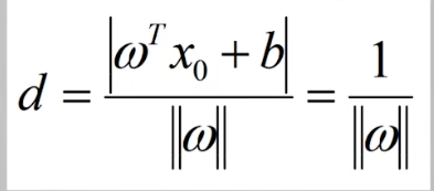
首先知道两个结论:

上面是绝对值、下面是w的模。
理解二位情况下的特例。
之后我们要用a 对 w、b进行缩放,目的是使缩放后的平面(与原来的超平面还是一个超平面)满足 在支持向量x上 |w的转置*x+b|=1 而在非支持向量上 |w的转置*x+b|>1。
这样 支持向量到直线的距离就变成了
。
由此 我们如果要最大化支持向量到超平面的距离,就等价于最小化w的模,在这里我们转换为求最小的 1/2 w模的平方(有利于求导)。
我们想找的是使得点到要找的平面的距离最大,而通过对平面进行改造,距离就是d最大 也就是w的模最小。
这是一个凸优化中的二次规划问题:
二次规划:目标函数时二次项(1/2w模的平方)、限制条件是一次项。这样的二次规划问题,要么无解、要么只有唯一的最小值解
当线性不可分时,就需要适当放松限制条件。
或者把低维数据集的映射为高维的数据集 , 来把二维下的线性不可分变为高维下的线性可分。

浙公网安备 33010602011771号