JVM-执行引擎
Execution Engine
执行引擎概述
- 执行引擎是Java虚拟机核心的组成部分之一
- “虚拟机”是一个相对于“物理机”的概念,这两种机器都有代码执行能力,其区别是物理机的执行引擎是直接建立在处理器、缓存、指令集和操作系统层面上的,而虚拟机的执行引擎则是由软件自行实现的,因此可以不受物理条件限制地定制指令集与执行引擎的结构体系,能够执行那些不被硬件直接支持的指令集格式
- JVM的主要任务是装载字节码到其内部,但字节码不能直接运行在操作系统之上。执行引擎的任务就是将字节码指令解释/编译(后端编译)为对应平台上的本地机器指令才可以。简单的说:JVM中执行引擎充当了将高级语言翻译为机器语言的译者
执行引擎工作过程
- 执行引擎在执行的过程中究竟需要执行什么样的字节码指令完全依赖于PC寄存器
- 每当执行完一项指令操作后,PC寄存器就会更新下一条需要被执行的指令地址
- 方法在执行过程中,执行引擎有可能会通过存储在局部变量表中的对象引用准确定位到存储在Java堆区中的对象实例信息,以及通过对象头中的元数据指针定位到目标对象的类型信息
Java编译和执行的过程

橙色部分为前端编译器生成线型的字节码指令
绿色部分为解释器
蓝色部分为后端编译器
大部分的程序代码转换成物理机的目标代码或者虚拟机能执行的指令集之前,都需要经过上图的各个步骤
解释器(Interpreter):当Java虚拟机启动时会根据定义的规范对字节码采用逐行解释的方式执行,将每条字节码文件中的内容“翻译”为对应平台的本地机器指令执行
JIT(Just In Time Compiler)编译器:就是虚拟机将源代码直接编译成和本地机器平台相关的机器语言
问题:为什么说Java是半编译半解释型语言?
执行引擎即可以解释执行也可以编译执行
JDK1.0时代,将Java语言定位为“解释执行”是比较准确的。再后来,Java也发展出可以直接生成本地代码的编译器(提高效率)
现在JVM在执行Java的时候,通常都会将解释执行与编译执行二者结合起来进行
机器码、指令、汇编
机器码
- 各种用二进制编码方式表示的指令,都叫做机器指令码。开始,人们就用它采编写程序,这就是机器语言
- 机器语言虽然能够被计算机理解和接受,但和日常沟通的语言差别太大,不够通俗易懂和不易记忆,并且用它编程容易出错
- 用它编写的程序一经输入计算机,CPU直接读取运行,因此和其他语言编的程序相比,执行速度最快
- 机器指令与CPU紧密相关,所以不同种类的CPU对应的机器指令也就不同
指令
- 由于机器码是由0和1组成的二进制 序列,可读性太差,于是人们发明了指令。
- 指令就是把机器码中的特定的0和1序列,简化成对应的指令(一般为英文简写,如mov、inc等),可读性稍好
- 由于不同的硬件平台,执行同一操作,对应的机器码可能不同,所以不同的硬件平台的同一种指令(比如mov),对应的机器码也可能不同
指令集
- 不同的硬件平台,各自支持的指令,是有差别的。因此每个平台所支持的指令,称之为对应平台的指令集
- 常见指令集
- x86指令集,对应的是x86架构平台
- ARM指令集,对应的是ARM架构平台
汇编
- 由于指令的可读性还是太差,于是人们又发明了汇编语言
- 在汇编语言中,用助记符(Mnemonics)代替机器指令的操作码,用地址符号(Symbol)或标号(Label)代替指令或者操作数的地址
- 在不同的硬件平台,汇编语言对应着不同的机器语言指令集,通过汇编过程转换成机器指令
- 由于计算机只认识指令码,所以用汇编语言编写的程序还必须翻译成机器指令码,计算机才能识别和执行
高级语言
- 为了使计算机用户编程更加容易些,后来就出现了各种高级计算机语言。高级语言比机器语言、汇编语言更接近人的语言
- 当计算机执行高级语言编写的程序时,仍需要把程序解释和编译成机器的指令码。完成这个过程的程序就叫做解释程序或编译程序

字节码
- 字节码是一种中间状态的二进制代码,它比机器码更抽象,需要直译器转译之后才能成为机器码
- 字节码主要为了实现跨平台性
- 字节码的实现方式是通过编译器和虚拟机器,编译器将源码编译成字节码,特定平台上的虚拟机器将字节码转译为可以直接执行的指令
解释器
- 解释器真正意义上所承担的角色就是一个运行时“翻译者”,将字节码文件中的内容“翻译”为对应平台的本地机器指令执行
- 当一条字节码指令被解释执行完成后,接着再根据PC寄存器中记录的下一条需要被执行的字节码指令执行解释操作
解释器分类
字节码解释器
在执行时通过纯软件代码模拟字节码的执行,效率非常低下
模板解释器
将每一条字节码和一个模板函数关联,模板函数中直接产生这条字节码执行时的机器码,从而很大程度的提高了解释器的性能
- 在HotSpot VM中,解释器主要由Interpreter模块和Code模块构成。
- Interpreter模块:实现了解释器的核心功能
- Code模块:用于管理HotSpot VM运行时生成的本地机器指令
现状
- 基于解释器执行效率比较低下
- 为了解决这个问题JVM平台支持一种叫即时编译的技术。即时编译的目的是避免函数被解释执行,而是将整个函数体编译成为机器码,并且缓存。每次函数执行时,只执行编译后的机器码即可
JIT编译器
HotSpot为什么要保留解释器?
程序启动之后,解释器可以马上发挥作用,省去编译的时间,立即执行
当虚拟机启动的时候,解释器可以首先发挥作用,而不必等待即时编译器全部编译完成再执行,这样可以省去许多不必要的编译时间。并且随着程序运行时间的推移,即时编译器逐渐发挥作用,根据热点探测功能,将有价值的字节码翻译为本地机器指令,以换取更高的程序执行效率
同时,解释执行在编译器进行优化不成立时,作为编译器的“逃生门”
Java语言的“编译期”其实是一段“不确定”的操作过程
- 前端编译器,把.java文件转变成.class文件的过程
- 后端运行期编译器(JIT,Just In Time Compiler),把字节码转变成机器码的过程
- 静态提前编译器(AOT,Ahead Of Time Compiler),直接把.java文件编译成本地机器代码的过程
前端编译器:Sun 的javac、Eclipse JDT中的增量式编译器(ECJ)
JIT编译器:HotSpot VM的C1、C2编译器
AOT编译器:GNU Compiler for the Java(GCJ)、Excelsior JET
热点代码及探测方式
是否需要JIT编译器将字节码文件直接编译为对应平台的本地机器指令,则需要根据代码被调用的执行频率而定。关于那些需要被编译为本地代码的字节码,也被称之为“热点代码”,JIT编译器在运行时会针对那些频繁被调用的“热点代码”做出深度优化,将其直接编译为对应平台的本地机器指令,以此提升Java程序的执行性能。
- 一个被多次调用的方法,或者一个方法体内部循环次数较多的循环体都可以被称之为“热点代码”,因此都可以通过JIT编译器编译为本地机器指令。由于这种编译方式发生在方法的执行过程中,因此也被称之为栈上替换,或简称为OSR(On Stack Replacement)编译
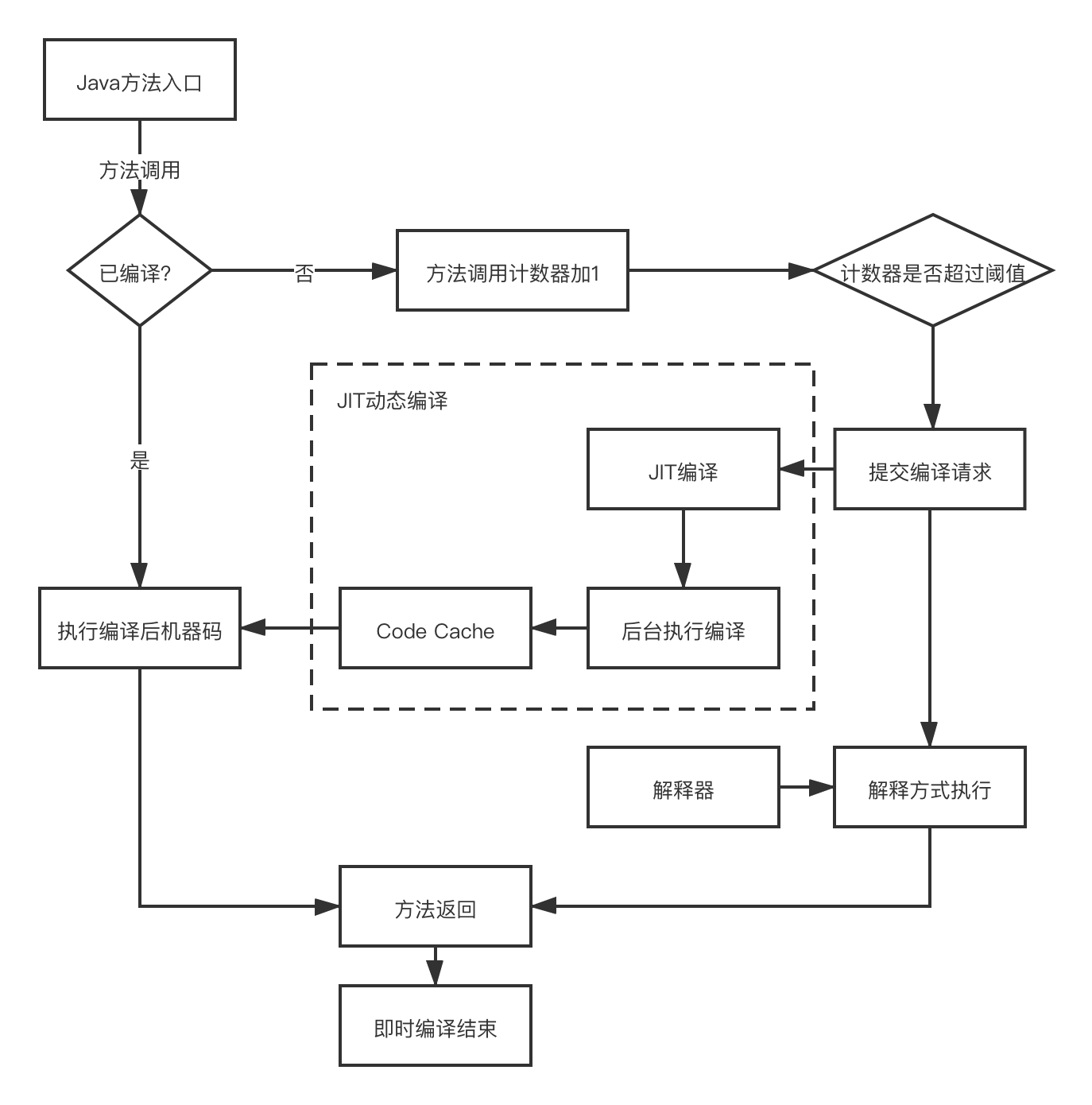
- 目前HotSpot VM所采用的热点探测方式是基于计数器的热点探测
- 采用基于计数器的热点探测,HotSpot VM将会为每一个方法都建立2个不同类型的计数器,分别为方法调用计数器(Invocation Counter)和回边计数器(Back Edge Counter)
- 方法调用计数器用于统计方法的调用次数
- 回边计数器用于统计循环执行的循环次数
- 这个计数器就用于统计方法被调用的次数,它的默认阈值在Client模式下1500次,在Server模式下10000次。超过这个阈值,就会触发JIT编译
- 这个阈值可以通过虚拟机参数-XX:ComileThreshold来人为设定
- 当一个方法被调用时,会先检查该方法是否存在被JIT编译过的版本,如果存在,则优先使用编译后的本地代码来执行。如果不存在已被编译过的版本,则将此方法的调用计数器值加1,然后判断方法调用计数器与回边计数器值之和是否超过方法调用计数器的阈值。如果已超过阈值,那么将会向即时编译器提交一个该方法的代码编译请求

方法调用计数器
热度衰减
如果不做任何设置,方法调用计数器统计并不是方法被调用的绝对次数, 而是一个相对的执行频率,即一段时间之内方法被调用的次数。当超过一定的时间限度,如果任不满足JIT编译条件,则方法调用计数器会被减少一半,这个过程称为方法调用计数器热度衰减。而这段时间就称次方法统计的半衰周期。
-XX:-UseCounterDecay 关闭热度衰减
-XX:CounterHalfLifeTime 参数设置半衰周期的时间,单位秒
回边计数器
作用:统计一个方法中循环体代码执行的次数
在字节码中遇到控制流向后跳转的指令称为“回边”。显然,建立回边计数器统计的目的是为了触发ORS编译

HotSpot VM 设置程序执行方式
- -Xint 完全采用解释器模式执行程序
- -Xcomp 完全采用即时编译器模式执行程序。如果编译出问题,会使用解释器执行
- -Xmixed 采用解释器+即时编译器的混合模式
在HotSpot VM中内置了两个JIT编译器,分别为Client Compiler和Server Compiler,简称为C1、C2编译器。
命令显式执行Java虚拟机即时编译器
-
-client 指定Java虚拟机运行在Client模式下,并使用C1编译器
- C1编译器会对字节码进行简单和可靠的优化,耗时短。以达到更快的编译速度
-
-server 指定Java虚拟机运行在Server模式下,并使用C2编译器
- C2进行耗时较长的优化,以及激进优化。但优化的代码执行效率更高
C1和C2编译器不同的优化策略
- C1编译器优化策略
- 方法内联:将引用的函数代码编译到引用点处,可以减少栈帧的生产,减少参数传递以及跳转过程
- 去虚拟化:对唯一的实现类进行内联
- 冗余消除:在运行期间把一些不会执行的代码折叠掉
- C2编译优化策略(逃逸分析是优化的基础)
- 标量替换:用标量代替聚合对象的属性值
- 栈上分配:对于未逃逸的对象分配对象在栈上而不是堆
- 同步消除:清楚同步操作,通常指synchronized
分层编译策略
程序解释执行可以触发C1编译,将字节码编译成机器码,可以进行简单优化,可以加上性能监控,C2编译器会根据性能监控信息进行激进优化
总结
- 一般来说,JIT编译出来的机器码性能比解释器高
- C2编译器启动时长比C1编译器慢,系统稳定执行后,C2编译器执行速度远快于C1编译器
关于AOT编译器
-
JDK9引入AOT编译器(Ahead Of Time Compiler),将字节码文件转为机器码,并存放至生成的动态共享库之中
-
即时编译器是在程序运行过程中,将字节码编译转换为机器码,AOT编译是指,在程序运行之前,将字节码文件转换为机器码的过程
-
jaotc
- .java -> .class -> .so
-
好处:Java虚拟机加载已经预编译成二进制库,可以直接运行
-
缺点
- 破坏了“一次编译,到处运行”
- 降低了Java链接过程的动态性,加载的代码在编译器必须全部已知
- 仅支持Linux x64
本文来自博客园,作者:Vic呼叫89,转载请注明原文链接:https://www.cnblogs.com/baojiong/p/15202878.html

浙公网安备 33010602011771号