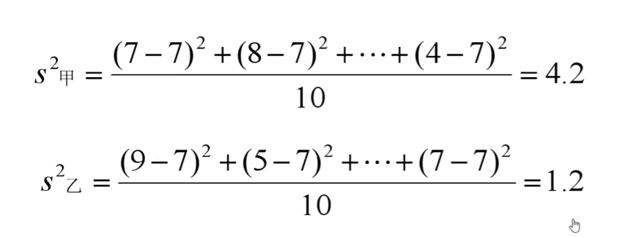
问题:现有两名运动员甲、乙射击10次的成绩。如果你是教练,你会如何评价?
| 甲 | 7 | 8 | 7 | 9 | 5 | 4 | 9 | 10 | 7 | 4 |
| 乙 | 9 | 5 | 7 | 8 | 7 | 6 | 8 | 6 | 7 | 7 |
可以算得平均数¯x甲=7,x乙=7。
那么现在该如何评价呢?既然是选择参赛,自然成绩越稳定越好。
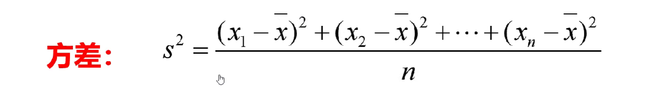
样本数据到x(平均值)的‘平均距离’为

但由于绝对值不好操作,在这里可以选择取平方,再开方:

如果再取平方,可以让这个式子好看一点:

可以得到一个关系:方差开方得到标准差,标准差平方得方差
回到题目,计算甲和乙的方差

可以得到甲数据的方差大,所以甲数据分散;乙更加稳定。所以乙优于甲
浙公网安备 33010602011771号