日常记录(1)
存量
1. 查看当前在线用户:w、who
2. cat命令:-b计算不包括空行,-n包括空行,-s空行变成一行。

copy -v显示进度
Linux复习
1 w查看当前在线用户 2 ls -t 按照文件修改时间最新排序 3 b块设备,c字符设备,p管道,l链接文件 4 chmod的u、g、o 5 more显示一屏文本,结尾后自动退出。 6 less。相似,有差异,可使用vim查看命令部分。 7 cat,-b计算非空输出行,-n计算包含空行,-s显示时多个空行为一个空行 8 cp -i提升,-v显示进度 9 find -name ?是一个字符,-type 类型, 10 grep 匹配字符串 文件列表, -r递归,-i不区分大小写,,文件内的字符串查找 11 sort排序,-r反向排序 12 diff 源文件,目标文件,b忽略空格,-i忽略大小写,-r递归 13 wc统计字符个数,-l行数 14 15 tar c创建(create)f文件(file),x提取,v显示信息(verbose) 16 17 tar jxvf 解压tar.bz文件 18 tar jcvf 解压tar.bz文件 19 20 tar -zcvf 目标,源,创建tar.gz文件 21 tar -zxvf 目标,解压tar.gz 22 23 tar -xvf目标,解压tar文件 24 tar -tvf 目标,只查看压缩包内容(t,list) 25 26 ctrl+z挂起,fg恢复,ctrl+c终止 27 28 vim 29 dw剪切单词,x剪切字符,2dw剪切两个单词,d$删除光标位置到行尾 30 yw复制单词,y$复制光标位置到行尾 31 %s///g替换,%s为全局。 32 ddp上下行替换 33 ?String向前搜索, 34 X文件加密,-x打开加密文件 35 ab(插入替换)ab addr address 36 set wrap分行显示,nowrap不分行显示,ic区分大小写,noic不区分大小写 37 U替换为大写单词,u为小写单词,ctrl+v多选 38 sp横屏(ctrl ws),vsp竖屏(ctrl wv),ctrl+w切换,e刷新,E/进入上一层目录(ctrl d) 39 40 vistual块操作,的I新增,r替换 41 42 ctrl n ctrl p自动补全 43 vimdiff 44 ctrl o 45 46 正则表达式 47 [abc]任意一个字符 48 [^除去abc] 49 s substitute替代,g global全局 %s///g,vglobal,global!的取反 50 g//d删除所在行
apt-cache search linux|grep linux-image
Bash
set -e
告诉bash如果任何语句的执行结果不是true则应该退出。这样的好处是防止错误像滚雪球般变大导致一个致命的错误。
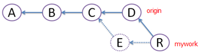
GIT
git pull = git fetch + git merge
git pull --rebase = git fetch + git rebase
rebase : 先把E rebase到D,然后在D的base上添加修改,再以新的R作为修改。E消失。

Le vent se lève! . . . il faut tenter de vivre!
Le vent se lève! . . . il faut tenter de vivre!

浙公网安备 33010602011771号