【图论算法】最小生成树 (Prim 算法、Kruskal 算法)
一个无向图G 的最小生成树(minimum spanning tree) 就是由该图的那些连接 G 的所有顶点的边构成的树,即在最小生成树中边的条数为 |V| - 1,且其总的值最低。最小生成树存在当且仅当 G 是连通的。虽然一个强壮的算法应该指出 G 不连通的情况,但是我们还是假设 G 是连通的。
对于最小生成树问题,贪婪的做法是成立的,这里介绍两种算法,它们的区别在于最小(值的)边如何选取上。
Prim 算法
在该算法的任一时刻,我们都可以看到一组已经添加到树中的顶点,而其余顶点尚未加到树上。此时,算法在每一阶段都可以通过选择边(u, v),使得(u, v) 的值是所有 u 在树上但 v 不在树上的边的最小值,从而找出一个新的顶点并将它添加到这棵树中。

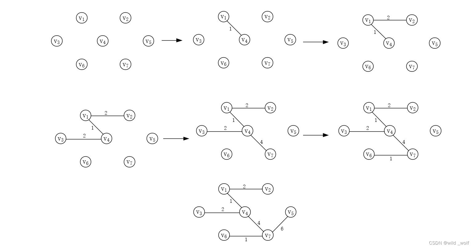
对于图1 中的无向图 G,图2 指出了该算法如何从 v1 开始构建最小生成树。开始时,v1 在构建中的树上,它作为树的根但是没有边。每一步添加一条边和一个顶点到树上。

我们可以看到,Prim 算法基本上与求最短路径的 Dijkstra 算法相同。因此,和前面一样,我们对每一个顶点保留值 dv 和 pv 以及一个指标,标示该顶点是 known 的还是 unknown 的。这里,dv 是连接 v 到一个 known 顶点的最短边的权,而 pv 则是导致 dv 改变的最后的顶点。算法其余部分完全一样,只有一点不同:由于 dv 的定义不同,因此它的更新法则也不同:在每一个顶点 v 被选取之后,对于每一个邻接到 v 的unknown 的 w,dw = min(dw, vw,v)。
表的初始配置由图3 指出,其中 v1 被选取,而 v2、v3、v4 被更新。结果如图4 所示。

下一个顶点选择 v4,每个顶点都邻接到它,除开 known 的v1。v2 不变,因为它的 dv = 2 而从 v4 到 v2 的边值为3,其他所有顶点都被更新。

下一个选取 v2,它并不影响距离。然后选取 v3,其影响 v6 中的距离,如图6 所示。然后选取 v7 得到图7 ,v6 和 v5 需要做相应的调整。然后选取 v6 再选 v5,算法完成。

最后的表由图8 给出,生成树的边可以从该表中读出:(v2, v1), (v3, v4), (v4, v1), (v5, v7), (v6, v7), (v7, v4)。生成树的总值为16。
该算法整个的实现实际上和 Dijkstra 算法的实现是一样的,对于 Dijkstra 算法分析所做的一切都可以用到这里。不过要注意,Prim 算法是在无向图上运行的,因此当编写代码的时候要记住把每一条边放到两个邻接表中。不用堆时的运行时间为 O(|V|2),它对于稠密图来说是最优的。使用二叉堆的运行时间是 O(|E|log|V|),对于稀疏图它是一个好的界。
Kruskal 算法
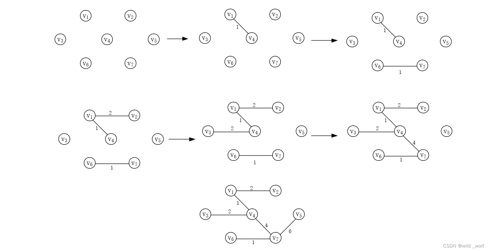
第二种贪婪策略是连续地按照最小权的顺序选择边,并且当所选的边不产生圈时就把它作为所取定的边。该算法对前面例子中的图的实施过程如图8 所示。

形式上,Kruskal 算法 是在处理一个森林——树的集合。开始的时候,存在 |V| 棵单节点树,而添加一边则将两棵树合并成一棵树。当算法终止时就只有一棵树了,这棵树就是最小生成树。图9 显示了边被添加到森林中的顺序。

算法在足够的边被添加进来时终止。实际上,算法就是要决定边 (u, v) 应该添加还是应该放弃。不相交集类中的 union/find 算法是适用于这里的数据结构。
在 Kruskal 算法实施的任一时刻,两个顶点属于同一集合当且仅当它们在当前的生成树中连通。 因此,每个顶点最初是在它自己的集合中。如果 u 和 v 在同一个集合中,那么连接它们的边就要放弃,因为由于它们已经连通了,再添加边 (u, v) 就会形成一个圈。反之,则将它们的边加入,并对包含顶点 u 和 v 的这两个集合实施一次 union。容易看到,这样将保持集合的不变性,因为一旦边 (u, v) 添加到生成森林中,若 w 连通到 u 而 x 连通到 v,则 x 和 w 必然是连通的,因此属于相同的集合。最后,用线性时间建立一个堆将边排序可便于选取。
该算法的最坏情形运行时间为 O(|E|log|E|),它受堆操作控制。由于|E|=O(|V|2),因此这个运行时间时间上是 O(|E|log|V|),在实践中该算法要比这个时间界指示的时间快得多。
Kruskal 算法的伪代码:
vector<Edge> kruskal(vector<Edge> edges, int numVertices)
{
DisjSets ds{ numVertices };
priority_queue pq{ edges };
vector<Edge> mst;
while (mst.size() != numVertices - 1)
{
Edge e = pq.pop(); //边 e = (u, v)
SetType uset = ds.find(e.getu());
SetType vset = ds.find(e.getv());
if (uset != vset)
{
//接受该边
mst.push_back(e);
ds.union(uset, vset);
}
}
return mst;
}

浙公网安备 33010602011771号