会员
周边
新闻
博问
闪存
众包
赞助商
YouClaw
所有博客
当前博客
我的博客
我的园子
账号设置
会员中心
简洁模式
...
退出登录
注册
登录
Augustone-最后一个质数
博客园
首页
新随笔
联系
订阅
管理
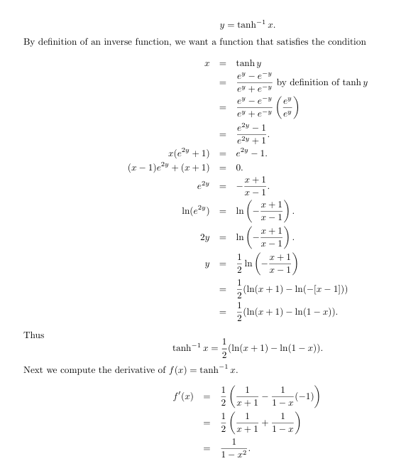
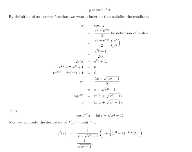
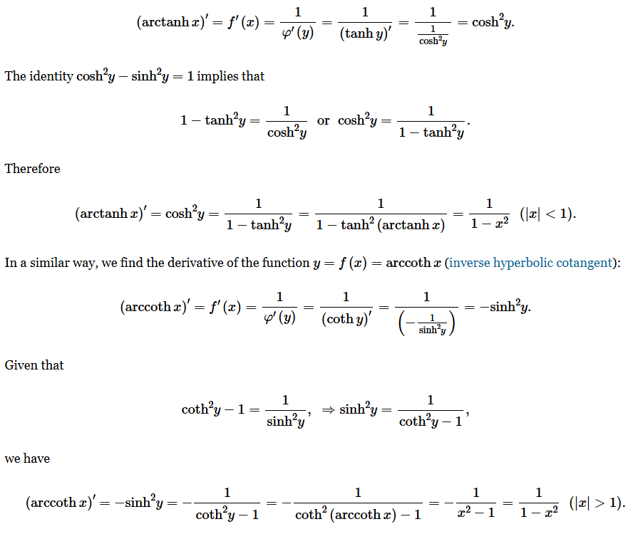
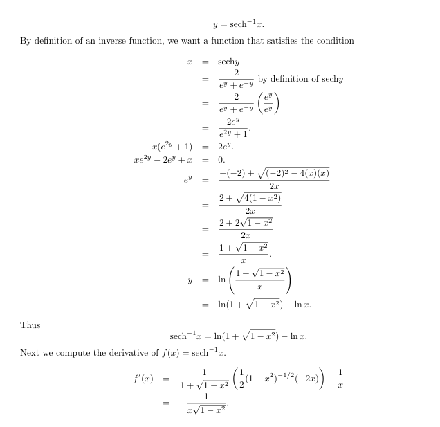
双曲函数以及反双曲函数的导数
双曲函数导数的推导
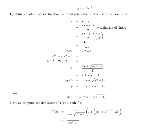
反双曲函数导数的推导
posted @
2024-06-10 21:45
Augustone
阅读(
190
) 评论(
0
)
收藏
举报
刷新页面
返回顶部
公告