两个不等式,几个大数定律,和中心极限定理
I,不等式


II,大数定律


特注,该定理的证明一般假设方差有限,然后证明此情形。事实上,方差无限也成立,但比较精巧,一般书上不给证明。








注:除此之外还有其他大数定律
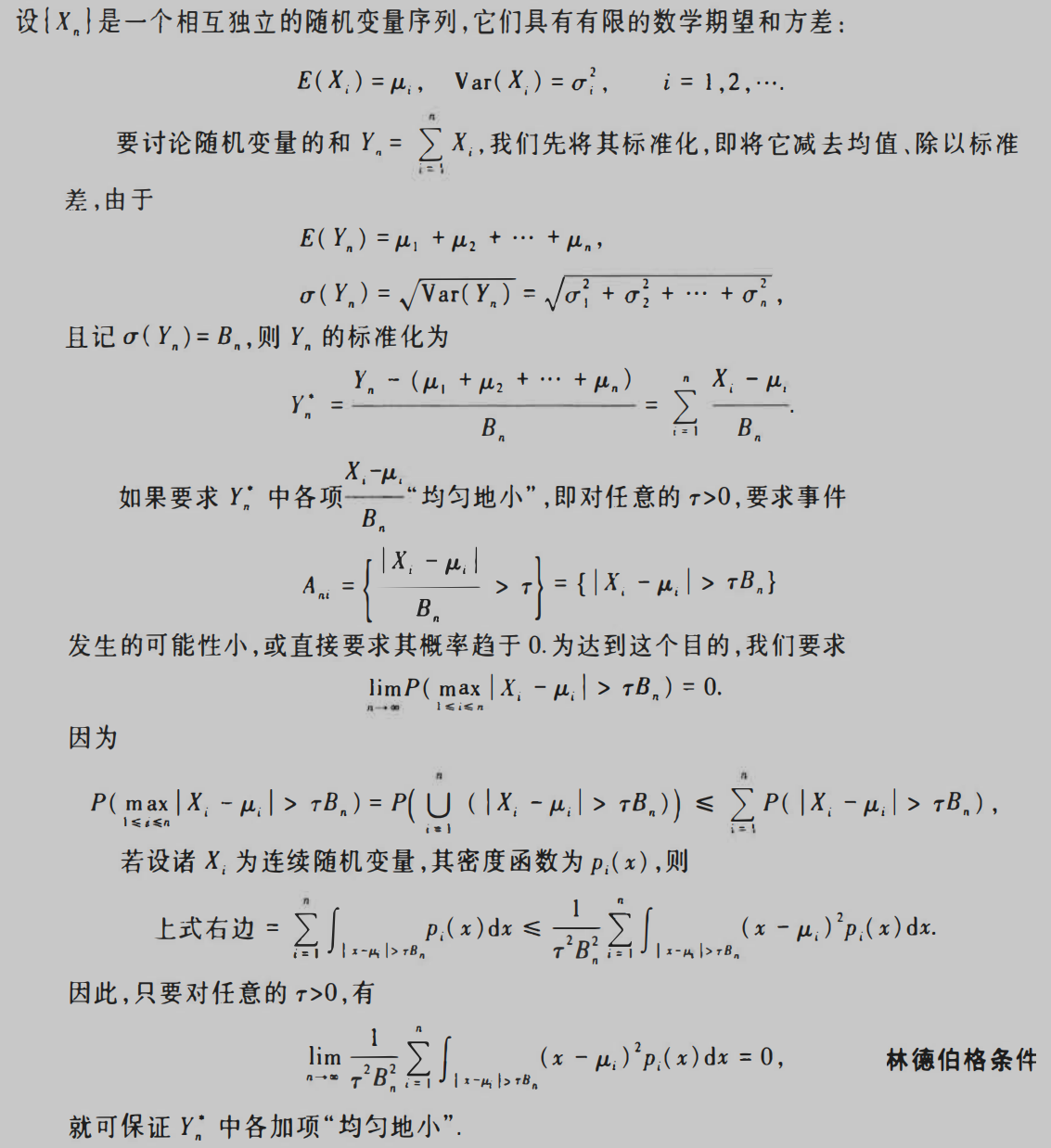
III,中心极限定理







注:(林德伯格-莱维(Lindeberg-Levy)中心极限定理)是此定理的特例

I,不等式


II,大数定律


特注,该定理的证明一般假设方差有限,然后证明此情形。事实上,方差无限也成立,但比较精巧,一般书上不给证明。








注:除此之外还有其他大数定律
III,中心极限定理







注:(林德伯格-莱维(Lindeberg-Levy)中心极限定理)是此定理的特例
