积分方法
0,
参考
不定积分各类题型方法及其典例 - 知乎 (zhihu.com)
使用牛顿-莱布尼茨公式

利用定义计算

利用奇偶性计算/利用区间上的对称性计算
1,基本公式
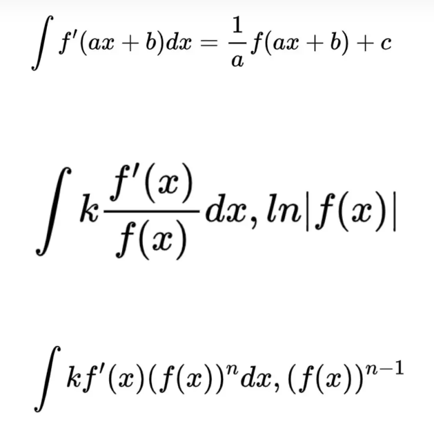
2,凑微分

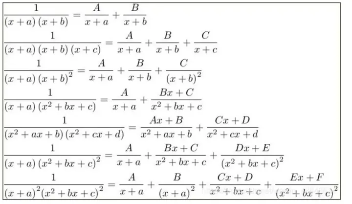
3,分式分解(分母乘积形式),分项积分

4,换元法

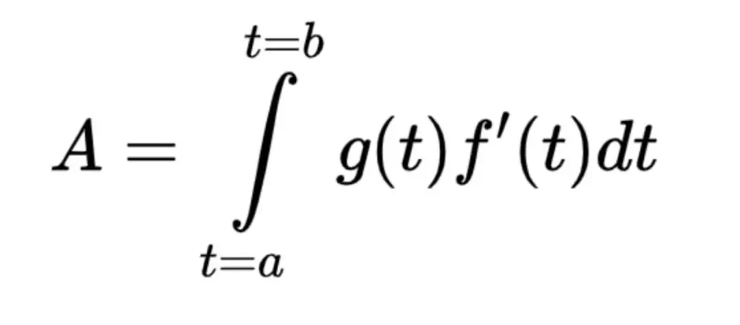
5,分部积分

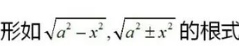
6,三角代换

0,
参考
不定积分各类题型方法及其典例 - 知乎 (zhihu.com)
使用牛顿-莱布尼茨公式

利用定义计算

利用奇偶性计算/利用区间上的对称性计算
1,基本公式
2,凑微分

3,分式分解(分母乘积形式),分项积分

4,换元法

5,分部积分

6,三角代换
