会员
众包
新闻
博问
闪存
赞助商
HarmonyOS
Chat2DB
所有博客
当前博客
我的博客
我的园子
账号设置
会员中心
简洁模式
...
退出登录
注册
登录
Augustone-最后一个质数
博客园
首页
新随笔
联系
订阅
管理
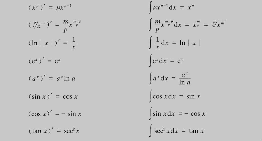
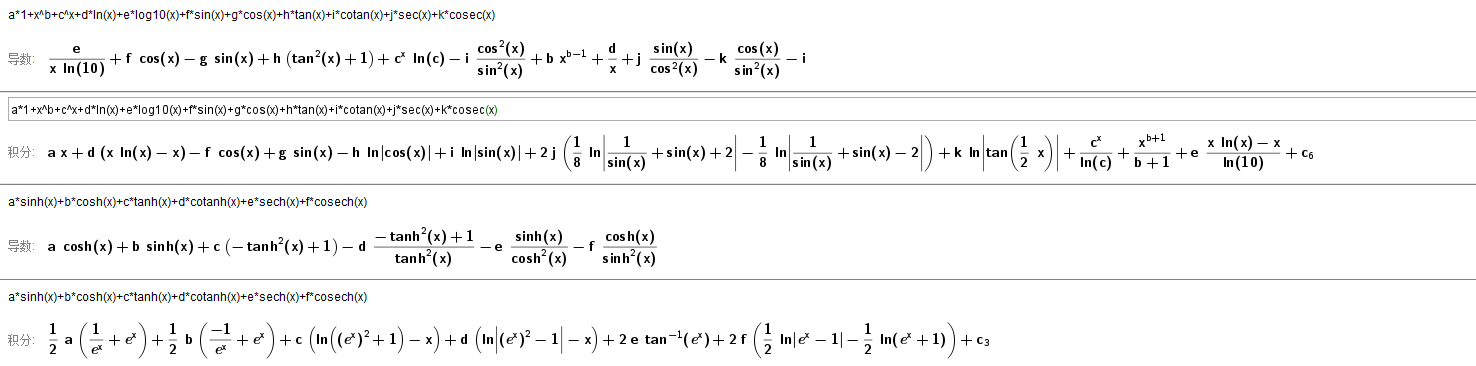
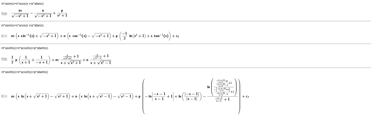
初等函数微分和积分公式
特别是正割余割的定义
此处有很多错误解释。此处反双曲正切和余切函数的的导函数形式上是一致的。
posted @
2024-02-19 14:09
Augustone
阅读(
29
) 评论(
0
)
收藏
举报
刷新页面
返回顶部
公告