前n个自然数的k次幂是有通项求和公式的

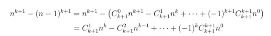
1,利用二项式展开,得

 2,依次遍历1到n,加和消去

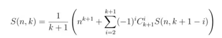
 3,整理得

 

4,其中0和1次幂简单,为n和n(n+1)/2,二次幂为:n(n+1)(2n+1)/6,三次幂:1^3+2^3+3^3+……+n^3=[n(n+1)/2]^2

posted @ 2024-02-08 20:18  Augustone  阅读(111)  评论(0)    收藏  举报