2-13
差分
定义: 设变量y依赖于自变量t ,当t变到t + 1时,因变量y = y(t)的改变量Dy(t)= y(t+1) - y(t)称为函数y(t)在点t处步长为1的(一阶)差分,记作Dy1= yt+1- yt,简称为函数y(t)的(一阶)差分,并称D为差分算子。 差分具有类似于微分的运算性质。
向前差分
xk=x0+kh (k=0,1,2,.......,n)-
Δf(xk) = Δf(xk+1) - Δf(x k)

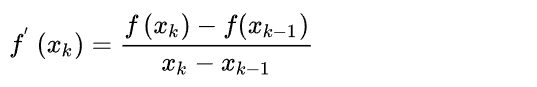
向后差分
Δf(xk) = Δf(xk) - Δf(x k-1)

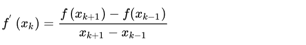
中心差分
Δf(xk) =1/2*( Δf(xk+1) - Δf(x k-1) )

函数在每个小区间上的增量y(k+1)-yk为f(x)的一阶前向差分。在微积分学中的有限差分,前向差分通常是微分在离散的函数中的等效运算。差分方程的解法也与微分方程的解法相似。当是多项式时,前向差分为Delta算子,一种线性算子。前向差分会将多项式阶数降低1。
C++中应用:
void adjdif(int a[], int b[],int n)
{
for(int i=1; i<=n;i++)
b[i]=a[i]-a[i-1];
}
数组 : 2 3 5 7 11 13 17 19
差分 : 2 1 2 2 4 2 4 2
可以在第一个元素上加常数c,即可改变数组中每个元素;同理,区间L至R加c :
void Insert(int b[],int L,int R,int c)
{
b[l]+=c;
b[r+1]-=c;
}
二维数组:
void Insert(int x1, int x2, int y1, int y2, int c)
{//点(x1,y1) 在 (x2,y2)的左上方(或重合)
b[x1][y1]+=c;
b[x2+1][y2]-=c;
b[x2][y2+1]-=c;
b[x2][y2]+=c;
}
例:
第一行有两个整数n,p,代表学生数与增加分数的次数。
第二行有n个数,a1~an,代表各个学生的初始成绩。
接下来p行,每行有三个数,x,y,z,代表给第x个到第y个学生每人增加z分。
输出仅一行,代表更改分数后,全班的最低分。
#include <iostream>
using namespace std;
int main()
{
std::ios::sync_with_stdio(0),cin.tie(0),cout.tie(0);
int n,p;
cin>>n>>p;
int array[n+1];
int array cf[n+1];
for(int i=1; i<=n; i++) cin>>array[i];
while(p--)
{
int x,y,z;
cin>>x>>y>>z;
cf[x]+=z;
cf[y+1]-=z;
}
int ans=1e9,sum=0;
for(int i=1;i<=n;i++)
{
array[i]=array[i]+sum+cf[i];
sum+=cf[i];
ans= min(ans,array[i]);
}
cout<<ans<<endl;
return 0;
}

#include <iostream>
#include <algorithm>
using namespace std;
int main()
{
std::ios::sync_with_stdio(0),cin.tie(0),cout.tie(0);
int n,q;
cin>>n>>q;
int t[n],array[n];
array[0]=0;
for(int i = 0; i<n; i++)
cin>>t[i];
for(int i=n-1; i>=1; i--)
t[i]-=t[i-1];
sort(t+1,t+n);
for(int i = 1; i<n; i++)
array[i]=t[i]+array[i-1];
while(q--)
{
int k,p;
cin>>k>>p;
int abs=lower_bound(t+1,t+n,k)-t;
int ans=array[n-1]-array[abs-1]-(n-1-abs+1)*k;
if(ans>=p) cout<<"Yes"<<endl;
else cout<<"No"<<endl;;
}
return 0;
}
前缀和:
一维数组前缀和: yn = yn-1 + xn ;
for(int i=0;i<n;i++)
{
if(i==0) y[i]=x[i];
else y[i]=y[i-1]+x[i];
}
二维前缀和:ax,y = ax-1,y + ax,y-1 - ax-1,y-1 + ax,y ;
for(int y=0;y<n;y++)
{
for(int x=0;x<m;x++)
{
if(x==0 && y==0)
b[y][x]=a[y][x];//左上角的值
else if(x==0)
b[y][x]=b[y-1][x]+a[y][x];//第一列
else if(y==0)
b[y][x]=b[y][x-1]+a[y][x];//第一行
else
b[y][x]=b[y-1][x]+b[y][x-1]-b[y-1][x-1]+a[y][x];
}
}
前缀和是一种预处理,用于降低查询时的时间复杂度。
给定 n 个整数,然后进行 m 次询问,每次询问求一个区间内值的和。
如果用暴力写法,那每次询问都需要从区间左端点循环到区间右端点求和,时间复杂度较大。这种时候就可以预先求出该数组的一维前缀和。
则 ans = y[R] - y[L - 1] ,其中, L 和 R 是给定区间,每次询问可直接输出答案,复杂度从 O(n*m)降到了O(n+m)。

浙公网安备 33010602011771号