SS34B-ASEMI超低Low VF肖特基SS34B
编辑:ll
SS34B-ASEMI超低Low VF肖特基SS34B
型号:SS34B
品牌:ASEMI
封装:SMB
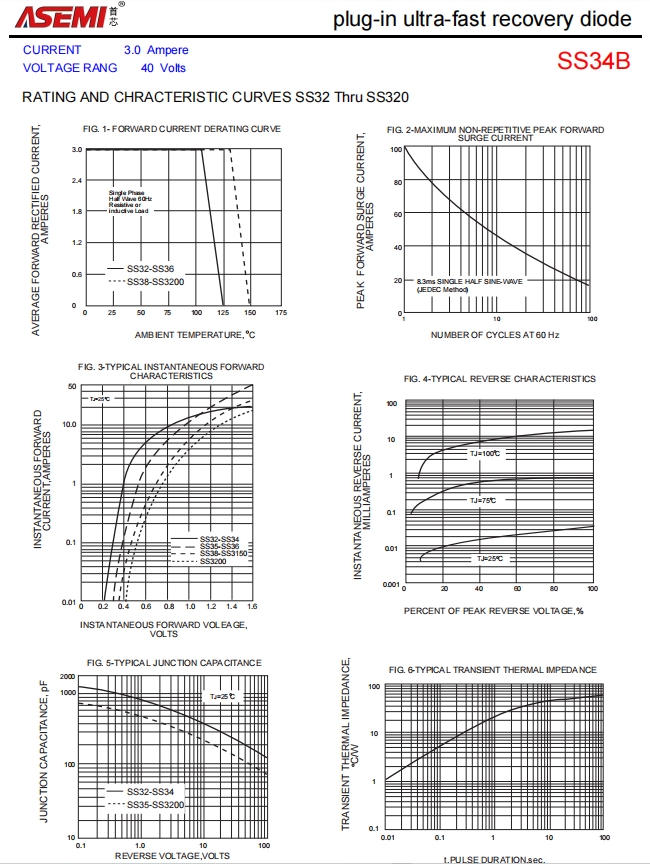
最大平均正向电流(IF):3A
最大循环峰值反向电压(VRRM):40V
最大正向电压(VF):0.55V
工作温度:-50°C~125°C
反向恢复时间:5ns
芯片个数:1
芯片尺寸:50mil
引脚数量:2
正向浪涌电流(IFMS):100A
包装方式:50/管 1000/盘 3000/箱
SS34B特性
参数一致
性能稳定
恢复时间短
高电流能力
低功率损耗
SS34B应用领域:
电源开关
变频器
驱动器等电路
续流二极管
智能LED灯具
小家电
SS34B肖特基二极管描述:
ASEMI品牌SS34B是采用工艺芯片,该芯片具有良好的稳定性及抗冲击能力,能够持续保证了SS34B的平均正向整流电流3A,反向击穿电压40V.
SS34B-ASEMI整流桥广泛应用在小功率开关电源,电源适配器,LED灯整流器,手机充电器,家用小电器等相关电器产品。




浙公网安备 33010602011771号