DB107-ASEMI智能LED灯具专用DB107
编辑:ll
DB107-ASEMI智能LED灯具专用DB107
型号:DB107
品牌:ASEMI
封装:DB-4
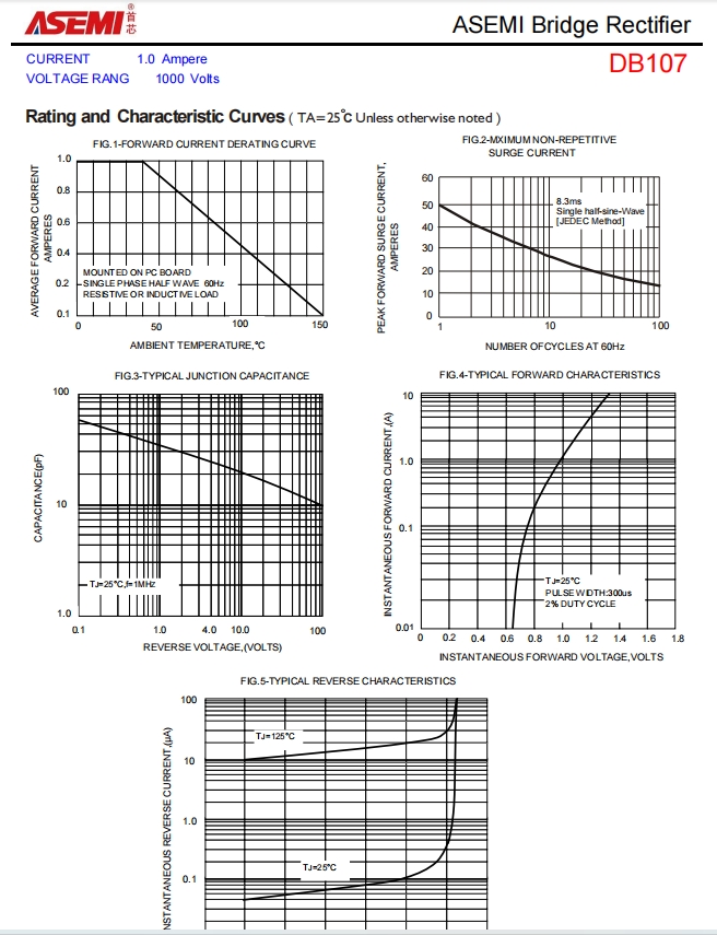
正向电流(Id):1A
反向耐压(VRRM):1000V
正向浪涌电流:50A
正向电压(VF):1.05V
引脚数量:4
芯片个数:4
芯片尺寸:50MIL
功率(Pd):中小功率设备
工作温度:-55°C~150°C
类型:插件整流桥、整流桥
DB107整流桥描述:
ASEMI品牌DB107是采用工艺芯片,该芯片具有良好的稳定性及抗冲击能力,能够持续保证了DB107的平均正向整流电流1A,反向击穿电压1000V.
DB107-ASEMI整流桥广泛应用在小功率开关电源,电源适配器,LED灯整流器,手机充电器,家用小电器等相关电器产品。
强元芯电子(广东)有限公司是一家集科研开发、制造、销售为一体的国家高新技术企业。16年专注于整流桥电源IC、肖特基、快恢复二极管、汽车电子的研发与生产,致力于半导体行业,专注电源领域。强元芯工厂已通过IS090011S014001体系认证、产品均已通过UL安规认证和SGS环保认证、符合欧盟REACH环保要求ASEMI产品)泛应用于:开关电源、LED照明、移动通讯、工业自动化控制设备、汽车电子、I0T智能家居、医疗仪器,电磁炉等大小家电,以及光伏、充电桩、储能、逆变伺服器等新能源领域。
公司早在2008年已成为:国电南瑞、深蓝股份、英杰电气、埃斯顿、裕兴集团、航天科工、天合光能等多家上市企业在国内的优质电源器件供应商。在同行及业界口碑良好,产品销售全国各地,并远销欧美、中东、东南亚等国家和地区。




浙公网安备 33010602011771号