Java数组内求两数之间最大容积
leetcode学习
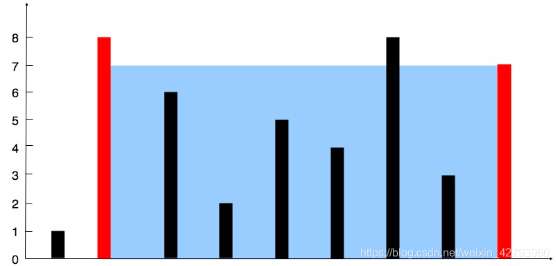
题目链接:https://leetcode-cn.com/problems/container-with-most-water/

初解:
public static int maxArea(int[] height) {
int max = 0;
int length = height.length;
for (int i = 0; i < length; i++) {
for (int j = length-1; j >i; j--) {
int temp = (height[i] > height[j] ? height[j] : height[i]) * (j - i);
max = max > temp ? max : temp;
}
}
return max;
}
利用嵌套循环, 指定下标i从左侧开始右移,下标j从右侧开始左移,每次计算两数之间最大溶剂
优解:
public static int maxArea(int[] height) {
int max = 0;
int left = 0;
int right = height.length - 1;
while (left < right) {
int temp = (height[left] > height[right] ? height[right] : height[left]) * (right - left);
max = max > temp ? max : temp;
if (height[left] > height[right])
right--;
else
left++;
}
return max;
}
从初阶解法进阶而来,同样是定位左右两个端点,左端点小则左端点右移,右端点小则右端点左移,将原本的复杂度从O(2n)降低到O(n)
浙公网安备 33010602011771号