会员
周边
新闻
博问
闪存
众包
赞助商
Chat2DB
所有博客
当前博客
我的博客
我的园子
账号设置
会员中心
简洁模式
...
退出登录
注册
登录
oidayo
新随笔
管理
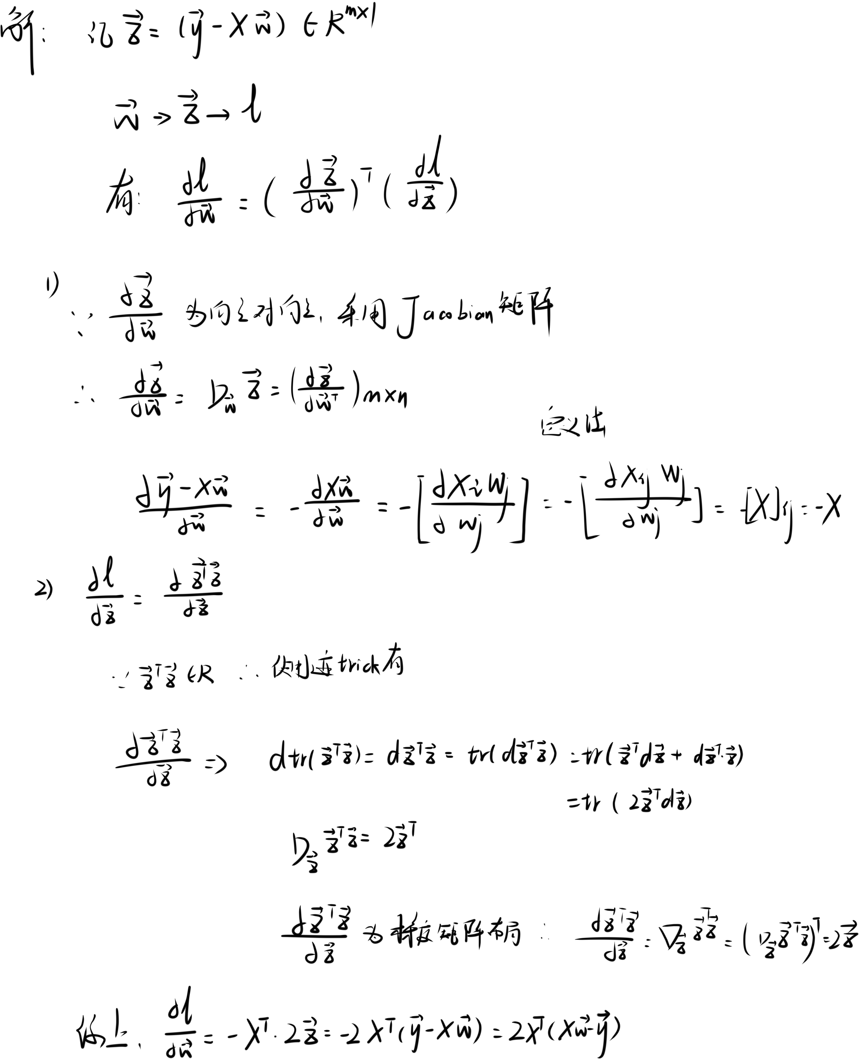
周志华-机器学习 最小二乘法 简单推导
二乘法推导
周志华-机器学习 最小二乘损失函数 简单推导
损失函数及条件如下
我们做如下证明可得
posted @
2024-01-16 10:33
Aoi_dayo
阅读(
41
) 评论(
0
)
收藏
举报
刷新页面
返回顶部
公告