[复习] 暑期打板
高考完了,耍了快一个月,开始边耍边学习😂
一年多没碰OI了,本来想刷点题回忆下
然鹅老年人记忆力不允许😭先打板吧
高精加
#include<bits/stdc++.h>
using namespace std;
const int N=600;
char ch[N];
int a[N],b[N],n,m,c[N],x;
int main(){
// freopen("1.in","r",stdin);
cin>>ch;
n=strlen(ch);
for(int i=0;i<n;++i)
a[n-i]=ch[i]-48;
cin>>ch;
m=strlen(ch);
for(int i=0;i<m;++i)
b[m-i]=ch[i]-48;
if(n<m) n=m;
x=0;
for(int i=1;i<=n;++i){
c[i]=(a[i]+b[i]+x)%10;
x=(a[i]+b[i]+x)/10;
}
if(x>0) ++n, c[n]=x;
for(int i=n;i>0;--i)
printf("%d",c[i]);
return 0;
}
高精乘
被坑了,注意判零(见32行)
#include<bits/stdc++.h>
using namespace std;
const int N=3000;
int na,nb,n,a[N],b[N],c[N];
char ch[N];
int main(){
freopen("1.in","r",stdin);
cin>>ch;
na=strlen(ch);
for(int i=0;i<na;++i)
a[na-i-1]=ch[i]-48;
cin>>ch;
nb=strlen(ch);
for(int i=0;i<nb;++i)
b[nb-i-1]=ch[i]-48;
for(int i=0;i<na;++i)
for(int j=0;j<nb;++j)
c[i+j]+=a[i]*b[j];
for(int i=0;i<na+nb;++i){
c[i+1]+=c[i]/10;
c[i]%=10;
}
n=na+nb-1;
while(c[n]==0 && n>0) --n;
while(n>=0) printf("%d",c[n]),--n;
// debug
// printf("\n");
// for(int i=0;i<na+nb;++i) printf("%d ",c[i]);
return 0;
}
并查集
徒手写的时候没加merge
是不可以的:强制father[x]=y认亲可能会把x从原有的并查集里撕出来
多进行几个这种操作整张图就裂开了
#include<bits/stdc++.h>
using namespace std;
#define in Read()
int in{
int i=0,f=1;char ch=0;
while(!isdigit(ch) && ch!='-') ch=getchar();
if(ch=='-') ch=getchar(),f=-1;
while(isdigit(ch)) i=(i<<1)+(i<<3)+ch-48, ch=getchar();
return i*f;
}
const int N=1e4+5;
int n,m,father[N];
int getfather(int x){return father[x]==x?father[x]:father[x]=getfather(father[x]);}
void merge(int x,int y){
x=getfather(x), y=getfather(y);
if(x==y) return;
father[x]=y;
return;
}
int main(){
// freopen("1.in","r",stdin);
n=in,m=in;
for(int i=1;i<=n;++i) father[i]=i; //?
while(m--){
int z=in,x=in,y=in;
if(z==1) merge(x,y);
else{
if(getfather(x)==getfather(y)) printf("Y\n");
else printf("N\n");
}
}
return 0;
}
转念一想不能强制father[x]=y认亲可以让他们的爸爸认亲啊
所以去掉merge函数,让原先merge(x,y)的地方变成father[getfather(x)]=getfather(y)
也是对的
二分答案
二分答案就是这样,对也对的离谱,错也错的离谱
明明思路没一点问题,结果还WA9个点
传送门
#include<bits/stdc++.h>
using namespace std;
#define in Read()
#define int long long
int in{
int i=0,f=1; char ch=0;
while(!isdigit(ch)&&ch!='-') ch=getchar();
if(ch=='-') f=-1, ch=getchar();
while(isdigit(ch)) i=(i<<1)+(i<<3)+ch-48, ch=getchar();
return i*f;
}
const int N=1e6+10;
int n,m,a[N],ans,l,r,mid;
signed main(){
// freopen("1.in","r",stdin);
n=in,m=in; l=1;
for(int i=1;i<=n;++i) a[i]=in, r=max(r,a[i]);
while(l<r){
mid=(l+r+1)>>1;
int sum=0;
for(int i=1;i<=n;++i)
if(a[i]>mid) sum+=a[i]-mid;
if(sum>=m) l=(ans=mid);
else r=mid-1;
// printf("%d %d\n",l,r);
}
printf("%lld\n",ans);
return 0;
}
顺带一提,分数规划也用二分法做,要推柿子
分数规划经典题是算性价比,\(n\)个物品性能\(a_i\),价格\(b_i\)
最大化\(\frac{\sum a_i}{\sum b_i}\)
推柿子:
一个\(mid\)能使得上式成立则该\(mid\)合法
树状数组
复健,一打就会
#include<bits/stdc++.h>
using namespace std;
#define in Read()
int in{
int i=0,f=1; char ch=0;
while(!isdigit(ch)&&ch!='-') ch=getchar();
if(ch=='-') f=-1, ch=getchar();
while(isdigit(ch)) i=(i<<1)+(i<<3)+ch-48, ch=getchar();
return i*f;
}
const int N=1e6+10;
int n,m,t[N];
int lowbit(int i){return i&-i;}
void Add(int p,int x){
while(p<=n){
t[p]+=x;
p+=lowbit(p);
}
}
int Query(int p){
int sum=0;
while(p>0){
sum+=t[p];
p-=lowbit(p);
}
return sum;
}
int main(){
// freopen("1.in","r",stdin);
n=in,m=in;
for(int i=1;i<=n;++i) Add(i,in);
for(int i=1;i<=m;++i){
int opt=in, a=in, b=in;
if(opt==1) Add(a,b);
else printf("%d\n",Query(b)-Query(a-1));
}
return 0;
}
另外一题
区间加?看到区间第一反应是前缀和,想半天发现肯定不行啊
一看以前的记录,麻了是差分😂想反了
#include<bits/stdc++.h>
using namespace std;
#define in Read()
int in{
int i=0,f=1; char ch=0;
while(!isdigit(ch)&&ch!='-') ch=getchar();
if(ch=='-') f=-1, ch=getchar();
while(isdigit(ch)) i=(i<<1)+(i<<3)+ch-48, ch=getchar();
return i*f;
}
const int N=1e6+10;
int n,m,t[N],a[N];
int lowbit(int i){return i&-i;}
void Add(int p,int x){
while(p<=n){
t[p]+=x;
p+=lowbit(p);
}
}
int Query(int p){
int sum=0;
while(p>0){
sum+=t[p];
p-=lowbit(p);
}
return sum;
}
int main(){
// freopen("1.in","r",stdin);
n=in,m=in;
for(int i=1;i<=n;++i) Add(i,(a[i]=in)-a[i-1]);
for(int i=1;i<=m;++i){
int opt=in;
if(opt==1){
int l=in,r=in,x=in;
Add(l,x), Add(r+1,-x);
}else{
int p=in;
printf("%d\n",Query(p));
}
}
return 0;
}
线段树
完蛋,数组大小要*4都搞忘了
证明如下:
\(n\)个数据,显然线段树层数为\(\lceil \log_2n\rceil\),故所需空间:
#include<bits/stdc++.h>
using namespace std;
#define in Read()
#define int long long
int in{
int i=0,f=1; char ch=0;
while(!isdigit(ch)&&ch!='-') ch=getchar();
if(ch=='-') f=-1, ch=getchar();
while(isdigit(ch)) i=(i<<1)+(i<<3)+ch-48, ch=getchar();
return i*f;
}
const int N=1e5+5;
int n,m,tre[N<<2],a[N],laz[N<<2];
void push_up(int p){tre[p]=tre[p<<1]+tre[p<<1|1];}
void push_down(int l,int r,int p){
if(!laz[p]) return;
int mid=l+r>>1;
laz[p<<1]+=laz[p];
laz[p<<1|1]+=laz[p];
tre[p<<1]+=laz[p]*(mid-l+1);
tre[p<<1|1]+=laz[p]*(r-mid);
laz[p]=0; return;
}
void build(int l,int r,int p){
if(l==r) tre[p]=a[l];
else{
int mid=l+r>>1;
build(l,mid,p<<1);
build(mid+1,r,p<<1|1);
push_up(p);
} return;
}
void update(int L,int R,int val,int l,int r,int p){
if(L<=l&&r<=R){
tre[p]+=val*(r-l+1);
laz[p]+=val;
}else{
push_down(l,r,p);
int mid=l+r>>1;
if(mid>=L) update(L,R,val,l,mid,p<<1);
if(mid<R) update(L,R,val,mid+1,r,p<<1|1);
push_up(p);
} return;
}
int query(int L,int R,int l,int r,int p){
if(L<=l&&r<=R) return tre[p];
push_down(l,r,p);
int mid=l+r>>1, res=0;
if(mid>=L) res+=query(L,R,l,mid,p<<1);
if(mid<R) res+=query(L,R,mid+1,r,p<<1|1);
return res;
}
signed main(){
// freopen("1.in","r",stdin);
n=in,m=in;
for(int i=1;i<=n;++i) a[i]=in;
build(1,n,1);
for(int i=1;i<=m;++i){
int opt=in;
if(opt==1){
int l=in,r=in,k=in;
update(l,r,k,1,n,1);
}else{
int l=in,r=in;
printf("%lld\n",query(l,r,1,n,1));
}
}
return 0;
}
基础数学算法
分解质因子
虽然是\(O(N)\)算法,不够优秀(一般这些要分解的数比较大)
但是不常用,似乎没必要追求太优秀的方法
从i=2开始枚举每个数,能整除,则为质因子
每次务必除掉所有质因子
质数算法
判断质数
只需要\(2\)到\(\sqrt n\)所有数无法整除\(n\)就行了
\(O(N)\)
埃筛
\(O(N\times 较小倍数)\)(其实是\(O(N\log_2\log_2N)\))
每次发现一个数\(i\)是质数,则筛掉\(i^2\)到\(n(i\cdot \lfloor\frac{n}{i}\rfloor)\)之间所有\(i\)的倍数
原因:\(i*1\)到\(i*i\)之间所有\(i\)的倍数已经在此前(处理\(<i\)的质数时)筛掉了
void get_prime(int n){
memset(is_prime,true,sizeof(is_prime));
is_prime[1]=false;
for(int i=2;i<=n;++i){
if(!is_prime[i]) continue;
prime[++m]=i;
int k=n/i;
for(int j=i;j<=k;++j)
is_prime[j*i]=false;
}
}
线筛 | 欧拉筛
让每个合数只标记一次,复杂度降到\(O(n)\)
方法:遍历\(2\to n\)每个数时乘已筛出质数(到此,与埃筛一摸一样)
保证每个荷属只被标记一次的方法:让合数被其最小质因子标记
实现:if(!i%prime[j]) break
正确性证明:
对于\(i\bmod prime_j=0\)时,记\(k=i/prime_j\)
对于下一次筛掉\(i\times prime_{j+1}\),变形得\(i\times prime_{j+1}=k\times prime_j\times prime_{j+1}\)
这个合数肯定会被更小一点的质数提前筛掉,那这一步(以及以后的步骤)都是没必要的
所以只需要在埃筛的基础上加一句if(!i%prime[j]) break就可以了
void get_prime(int n){
memset(is_prime,true,sizeof(is_prime));
is_prime[1]=false;
for(int i=2;i<=n;++i){
if(!is_prime[i]) continue;
prime[++m]=i;
for(int j=1;j<=m;++j){
if(i*prime[j]>n) break;
is_prime[i*prime[j]]=false;
if(!i%prime[j]) break;
}
}
}
求\(gcd\) - 辗转相除 | 欧几里得
特殊情况/边界条件:当\(b|a\)时,\(gcd(a,b)=b\)
当\(b\nmid a\)时,有\(gcd(a,b)=gcd(b,a\bmod b)\),证明如下:
设\(a=bk+c\),\(c=a\bmod b\),设\(d|a,\ d|b\),则\(c=a-bk,\ \frac{c}{d}=\frac{a}{d}-\frac{b}{d}k\)
显然\(\frac{c}{d}\)为整数,即\(d|c\),若\(d\)取\(gcd(a,b)\)则得证
所以就有了这行极限压缩的代码
int gcd(int a,int b){return b?a:gcd(b,a%b);}
快速幂
把次数二进制化了,\(O(\log_2N)\)
计算\(a^b\)
int qpow(int a,int b){
int ans=1;
while(b){
if(b&1) ans*=a;
a*=a;
b>>=1;
}
return ans;
}
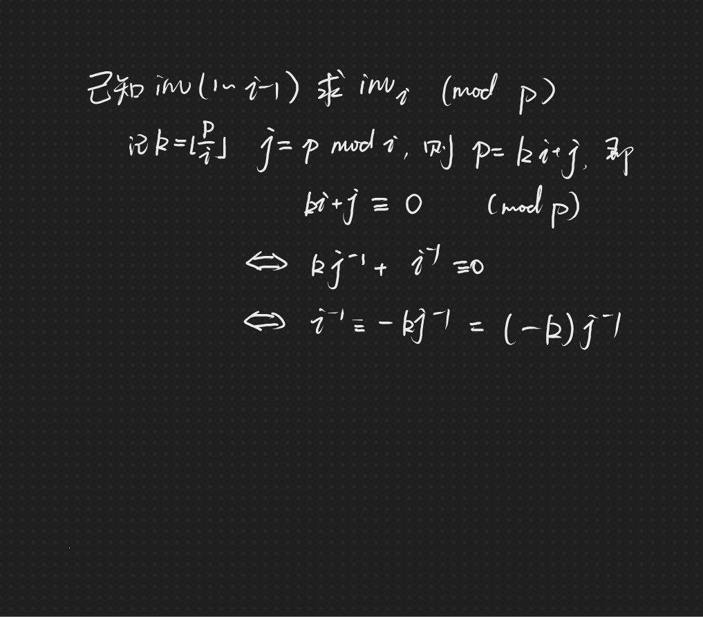
线性求逆
\(ax\equiv1(\bmod\ b)\)则称\(x\)为\(a\)在模\(b\)下的逆元,记为\(a^{-1}\)

inv[i]=(mod-mod/i)*inv[mod%i]%mod
其他方法(扩欧、快速幂)咕了
主席树
先复习离散化
两个STL函数:
unique(start,end):给一个有序序列去重(只是把重复部分放到末尾),并返回去重后的序列的最后一个元素的位置
lower_bound(start,end,x):寻找第一个大于等于 x 的数,并返回这个数的位置
口诀:排序去重lower_bound
n=in;
for(int i=1;i<=n;++i) a[i]=b[i]=in;
// a[i]存放离散化结果
sort(b+1,b+n+1);
int cnt=unique(b+1,b+n+1)-b-1;
for(int i=1;i<=n;++i) a[i]=lower_bound(b+1,b+n+1,a[i])-b;
待解决问题:unique函数为什么末尾要-1?
板题
桶排序+前缀和统计/询问
如果你懂了,细节上有点问题,那就享用如下的奶妈级标程吧!
#include<bits/stdc++.h>
#define in Read()
#define re register
inline int in{
int i=0,f=1;char ch;
while((ch>'9'||ch<'0')&&ch!='-')ch=getchar();
if(ch=='-')f=-1,ch=getchar();
while(ch<='9'&&ch>='0')i=(i<<1)+(i<<3)+ch-48,ch=getchar();
return i*f;
}
const int NNN=2e5+10;
int n,m,size/*节点个数*/;
int a[NNN],b[NNN],Root[NNN]/*记录每个区间的根节点*/;
struct node{
int lch,rch,sum;
}tree[NNN<<5];//主席树开32倍空间
inline int build(int l,int r){
int root=++size;
if(l==r)return root;
int mid=(l+r)>>1;
tree[root].lch=build(l,mid);
tree[root].rch=build(mid+1,r);
return root;
}
inline int Update(int pre,int l,int r,int x){
int root=++size;
//新节点继承原节点的所有信息;
tree[root].lch=tree[pre].lch;
tree[root].rch=tree[pre].rch;
tree[root].sum=tree[pre].sum+1;
if(l==r)return root;
int mid=(l+r)>>1;
if(x<=mid)tree[root].lch=Update(tree[pre].lch,l,mid,x);
else tree[root].rch=Update(tree[pre].rch,mid+1,r,x);
return root;
}
inline int Query(int u,int v/*目前相减两区间的根节点*/,int l,int r,int k){
//l==r,搜到
if(l==r)return l;
//两个前缀和相减得到区间的左子树的权值大于k则第k大数在左边,反之在右边
int x=tree[tree[v].lch].sum-tree[tree[u].lch].sum,mid=(l+r)>>1;
if(x>=k)return Query(tree[u].lch,tree[v].lch,l,mid,k);
else return Query(tree[u].rch,tree[v].rch,mid+1,r,k-x);//细节:左边的权值都不算了
}
int main(){
n=in,m=in;
//离散化
for(re int i=1;i<=n;++i)b[i]=a[i]=in;
std::sort(b+1,b+n+1);
int cnt=std::unique(b+1,b+n+1)-b-1;//这个东西是实际需要的叶子结点的个数
for(re int i=1;i<=n;++i)a[i]=std::lower_bound(b+1,b+cnt+1,a[i])-b;
//建树与更新
Root[0]=build(1,cnt);
for(re int i=1;i<=n;++i)Root[i]=Update(Root[i-1],1,cnt,a[i]);
//查询
for(re int i=1;i<=m;++i){
int l=in,r=in,k=in;
printf("%d\n",b[Query(Root[l-1],Root[r],1,cnt,k)]);//Query返回的是离散化之后的编号,要用b数组映射回去
}
return 0;
}
图论相关
DFS
目标:每次尽量深
做标记:这个点走过没有
防止重走
递归实现
BFS
目标:(非人话)每次尽量宽(人话)每次遍历每层所有点
只要经过节点,节点就要做上标记,标记不能撤销
每个点都只会经过一次
愉快地进入最短路
Floyd
不用说了吧
三角形不等式(也叫松弛操作)
SPFA
就它可处理负边权问题:经过\(>n\)条边时一定存在负环
边界要卡准了,\(n-1\)条边都是可以的,\(n\)条边就不行了,边界给宽一点可能队列就已经清空了
容易卡成\(O(NM)\),不建议使用
bool BFS(){
memset(dis,0x7f,sizeof(dis));
queue<int> q;
q.push(st); vis[st]=true; dis[st]=0;
while(!q.empty()){
int u=q.front(); q.pop();
for(int e=fst[u];e;e=nxt[e]){
int v=aim[e];
if(dis[v]>dis[u]+wei[e]){
dis[v]=dis[u]+wei[e];
cnt[v]=cnt[u]+1;
if(cnt[v]>=n) return false;
if(!vis[v]){
vis[v]=true;
q.push(v);
}
}
}
}
return true;
}
伟大的Dijkstra
爱死你了
有一句优化不懂:if(vis[u]) continue; vis[u]=true;
为啥加了不会错?为啥不加就会T?
以前的笔记写的是:节点算过就不再算了
如果第一次算该节点之后再次遇到它可以找到更优的路径呢?
回答:不会错,是优秀的优化
由于用了优先堆,如果队列中有多个同样的点,那么最先拿出来的一定是距起点最近的
其他(相同)点肯定没有这个点最优,可以忽略
洛谷板题
#include<bits/stdc++.h>
using namespace std;
#define in Read()
int in{
int i=0,f=1; char ch=0;
while(!isdigit(ch)&&ch!='-') ch=getchar();
if(ch=='-') f=-1, ch=getchar();
while(isdigit(ch)) i=(i<<1)+(i<<3)+ch-48, ch=getchar();
return i*f;
}
const int N=5e5+10;
int n,st,m,tot,fst[N],nxt[N<<1],aim[N<<1],wei[N<<1],dis[N];
bool vis[N];
priority_queue<pair<int,int> >q;
void Add(int u,int v,int w){
++tot;
nxt[tot]=fst[u];
fst[u]=tot;
aim[tot]=v;
wei[tot]=w;
}
void Dijkstra(){
// memset(dis,0x3f,sizeof(dis));
dis[st]=0; q.push(make_pair(0,st));
while(!q.empty()){
int u=q.top().second; q.pop();
if(vis[u]) continue; vis[u]=true;
for(int e=fst[u];e;e=nxt[e]){
int v=aim[e];
if(dis[v]>dis[u]+wei[e]){
dis[v]=dis[u]+wei[e];
q.push(make_pair(-dis[v],v));
}
}
}
}
int main(){
// freopen("1.in","r",stdin);
n=in,m=in,st=in;
for(int i=1;i<=m;++i){
int u=in,v=in,w=in;
Add(u,v,w);
}
for(int i=1;i<=n;++i) dis[i]=2147483647;
Dijkstra();
for(int i=1;i<=n;++i) printf("%d ",dis[i]);
return 0;
}
差分约束
会了最短路,就会差分约束
有时候过不了是因为SPFA判负环的边界要求太严格了
好玄学
#include<bits/stdc++.h>
using namespace std;
#define in Read()
int in{
int i=0,f=1; char ch=0;
while(!isdigit(ch)&&ch!='-') ch=getchar();
if(ch=='-') f=-1, ch=getchar();
while(isdigit(ch)) i=(i<<1)+(i<<3)+ch-48, ch=getchar();
return i*f;
}
const int N=1e4+10;
int n,m,tot,fst[N],nxt[N],aim[N],wei[N],s,dis[N],cnt[N];
bool vis[N];
void Add(int u,int v,int w){
++tot;
nxt[tot]=fst[u];
fst[u]=tot;
aim[tot]=v;
wei[tot]=w;
return;
}
bool SPFA(){
memset(dis,0x7f,sizeof(dis));
queue<int> q;
dis[s]=0; vis[s]=true;
q.push(s);
while(!q.empty()){
int u=q.front();
q.pop(); vis[u]=false;
++cnt[u];
if(cnt[u]>n) return false;
for(int e=fst[u];e;e=nxt[e]){
int v=aim[e];
if(dis[v]>dis[u]+wei[e]){
dis[v]=dis[u]+wei[e];
if(!vis[v]){
vis[v]=true;
q.push(v);
}
}
}
}
return true;
}
int main(){
// freopen("1.in","r",stdin);
n=in,m=in;
for(int i=1;i<=m;++i){
int u=in,v=in,w=in;
Add(v,u,w);
}
s=n+1;
for(int i=1;i<=n;++i) Add(s,i,0);
if(!SPFA()) puts("NO");
else for(int i=1;i<=n;++i) printf("%d ",dis[i]);
return 0;
}
拓排
用于DAG有向无环图,只是一种思想
BFS,入度为0的点加入队列
#include<bits/stdc++.h>
using namespace std;
#define in Read()
int in{
int i=0,f=1; char ch=0;
while(!isdigit(ch)&&ch!='-') ch=getchar();
if(ch=='-') f=-1, ch=getchar();
while(isdigit(ch)) i=(i<<1)+(i<<3)+ch-48, ch=getchar();
return i*f;
}
const int N=2e5+10;
int n,m,deg[N],f[N];
vector<int> G[N];
queue<int> q;
void topo(){
for(int i=1;i<=n;++i) if(!deg[i]) q.push(i), f[i]=1;
while(!q.empty()){
int u=q.front(); q.pop();
for(int v:G[u]){
f[v]=max(f[v],f[u]+1);
--deg[v];
if(!deg[v]) q.push(v);
}
}
}
int main(){
freopen("1.in","r",stdin);
n=in,m=in;
for(int i=1;i<=m;++i){
int u=in,v=in;
G[u].push_back(v);
++deg[v];
}
topo();
for(int i=1;i<=n;++i) printf("%d\n",f[i]);
return 0;
}
可能是我编译器的问题。。。
for(auto e:G[u]){int v=G[u][e]; ...;}居然用不起
不是编译器的问题
是人的问题
for(auto v:G[u])是在G[u]中枚举其所有元素,而不是标号,根本不需要枚举e
tarjan
其实topo sort不常见到,当年第一次用到它是在tarjan题里需要的
而且topo sort本身只是一种思想(与BFS|DFS一样的)
那就顺便把tarjan复习咯
tarjan算法
解决问题:找到DAG中的环对其进行操作(比如把环缩成一个大点)
具体方法:看代码,oi-wiki讲的很清楚了
板题
tarjan+拓排
先缩成DAG,然后拓排(直观的说就是一次DFS一次BFS)
缩点操作没想出来,过去的程序给出的想法是直接重构(很简单很暴力的想法,学着点!)
所以第一次每条边要能够被遍历
过去的我还是太菜只能按别人所说第一次建图用邻接表
现在就不必了,两次都用vector也能写
#include<bits/stdc++.h>
using namespace std;
#define in Read()
int in{
int i=0,f=1; char ch=0;
while(!isdigit(ch)&&ch!='-') ch=getchar();
if(ch=='-') f=-1, ch=getchar();
while(isdigit(ch)) i=(i<<1)+(i<<3)+ch-48, ch=getchar();
return i*f;
}
const int N=1e4+5;
int n,m,wei[N],dfn[N],low[N],tim,w[N],f[N];
int scc[N],cnt,deg[N];
bool ins[N],vis[N];
stack<int> s;
queue<int> q;
vector<int> G[N],T[N];
// G for the original graph, T for the rebuilt graph and is supposed for topo sorting
void Tarjan(int u){
dfn[u]=low[u]=++tim;
s.push(u), ins[u]=true;
for(auto v:G[u]){
if(!dfn[v]){
Tarjan(v);
low[u]=min(low[u],low[v]);
}else if(ins[v]) low[u]=min(low[u],dfn[v]);
}
if(dfn[u]==low[u]){
++cnt;
while(s.top()!=u){
scc[s.top()]=cnt;
ins[s.top()]=false;
wei[cnt]+=w[s.top()];
s.pop();
}
scc[s.top()]=cnt;
ins[s.top()]=false;
wei[cnt]+=w[s.top()];
s.pop();
}
}
void Rebuild(){
for(int u=1;u<=n;++u){
for(auto v:G[u]){
if(scc[u]==scc[v]) continue;
T[scc[u]].push_back(scc[v]);
++deg[scc[v]];
}
}
}
void Topo(){
for(int i=1;i<=cnt;++i) if(!deg[i]) q.push(i), vis[i]=true, f[i]=wei[i];
while(!q.empty()){
int u=q.front(); q.pop();
for(auto v:T[u]){
if(vis[v]) continue;
f[v]=max(f[v],f[u]+wei[v]);
--deg[v];
if(!deg[v]) q.push(v), vis[v]=true;
}
}
}
int main(){
// freopen("1.in","r",stdin);
n=in,m=in;
for(int i=1;i<=n;++i) w[i]=in;
for(int i=1;i<=m;++i){
int u=in,v=in;
G[u].push_back(v);
}
for(int i=1;i<=n;++i)
if(!dfn[i]) Tarjan(i);
Rebuild();
Topo();
int ans=0;
for(int i=1;i<=cnt;++i) ans=max(ans,f[i]);
printf("%d\n",ans);
return 0;
}
嘿嘿嘿一遍过嘿嘿嘿
割点
用tarjan
如果u是割点,那么找得到一个儿子v使得\(low_v\geq dfn_u\)
由于是无向图,low的定义就有点小变化(在这方面我翻了裸谷博客,好像没人讲清楚)
有向图中u表示:在u的子树中能够回溯到的最早的已经在栈中的结点
但在无向图中:能回溯到的最小时间戳
\(low_v\geq dfn_u\)说明搜到了一棵子树,v不为根,u为根且有很多子树,显然u是割点
#include<bits/stdc++.h>
using namespace std;
#define in Read()
#define pb push_back
int in{
int i=0,f=1; char ch=0;
while(!isdigit(ch)&&ch!='-') ch=getchar();
if(ch=='-') f=-1, ch=getchar();
while(isdigit(ch)) i=(i<<1)+(i<<3)+ch-48, ch=getchar();
return i*f;
}
const int N=2e4+10;
int n,m,low[N],dfn[N],cnt,root,ans;
bool cut[N];
vector<int> G[N];
void tarjan(int u){
low[u]=dfn[u]=++cnt;
int son=0;
for(auto v:G[u]){
if(!dfn[v]){
tarjan(v);
low[u]=min(low[u],low[v]);
if(low[v]>=dfn[u]){
++son;
if(son>1||u!=root) cut[u]=true;
}
}else low[u]=min(low[u],dfn[v]);
}
}
int main(){
// freopen("1.in","r",stdin);
n=in,m=in;
for(int i=1;i<=m;++i){
int u=in,v=in;
G[u].pb(v), G[v].pb(u);
}
for(int i=1;i<=n;++i)
if(!dfn[i]) root=i, tarjan(i);
for(int i=1;i<=n;++i) ans+=cut[i];
printf("%d\n",ans);
for(int i=1;i<=n;++i) if(cut[i]) printf("%d ",i);
}
树
树是特别的图
但因为树的性质特殊,其算法就有另外一套思路了
LCA最近公共祖先
倍增算法,二进制思想
34排特判:如果\(lca(u,v)=u\),则不必进行下一步
#include<bits/stdc++.h>
using namespace std;
#define in Read()
int in{
int i=0,f=1; char ch=0;
while(!isdigit(ch)&&ch!='-') ch=getchar();
if(ch=='-') f=-1, ch=getchar();
while(isdigit(ch)) i=(i<<1)+(i<<3)+ch-48, ch=getchar();
return i*f;
}
const int N=5e5+10;
int n,m,r,f[N][25],dep[N],lg;
vector<int> G[N];
void DFS(int u,int fa){
dep[u]=dep[fa]+1;
for(int i=0;i<=lg;++i)
f[u][i+1]=f[f[u][i]][i];
for(auto v:G[u]){
if(v==fa) continue;
f[v][0]=u;
DFS(v,u);
}
}
int LCA(int u,int v){
if(dep[u]<dep[v]) swap(u,v);
for(int i=lg;i>=0;--i)
if(dep[f[u][i]]>=dep[v]){
u=f[u][i];
if(u==v) return u;
}
for(int i=lg;i>=0;--i)
if(f[u][i]!=f[v][i])
u=f[u][i], v=f[v][i];
return f[u][0];
}
int main(){
freopen("1.in","r",stdin);
n=in,m=in,r=in;
lg=log(n)/log(2)+1;
for(int i=1;i<=n-1;++i){
int u=in,v=in;
G[u].push_back(v);
G[v].push_back(u);
if(!u || !v){
puts("false");
return 0;
}
}
DFS(r,0);
for(int i=1;i<=m;++i){
int u=in,v=in;
printf("%d\n",LCA(u,v));
}
return 0;
}
不知为何WA一个点
树剖
也叫轻重链剖分
重儿子:该节点所有子节点中子树最大的子节点(之一)
其他子节点叫轻儿子
重儿子组成的链叫重链
轻重链不会转换(记得虚实链是会转化的)
初始化:两次DFS
pre_DFS=> siz, faz, son, dep
DFS=> top, dfn
此后还要建树(线段树)
洛谷板题
#include<bits/stdc++.h>
using namespace std;
#define in Read()
#define int long long
int in{
int i=0,f=1; char ch=0;
while(!isdigit(ch)&&ch!='-') ch=getchar();
if(ch=='-') f=-1, ch=getchar();
while(isdigit(ch)) i=(i<<1)+(i<<3)+ch-48, ch=getchar();
return i*f;
}
const int N=1e5+10;
int n,m,r,mod,a[N],w[N];
vector<int> G[N];
int siz[N],faz[N],son[N],dep[N],top[N],dfn[N],tim;
int tre[N<<2],laz[N<<2];
void push_up(int p){ tre[p]=(tre[p<<1]+tre[p<<1|1])%mod;}
void push_down(int p,int llen,int rlen){
laz[p<<1]+=laz[p];
laz[p<<1|1]+=laz[p];
tre[p<<1]+=laz[p]*llen;
tre[p<<1|1]+=laz[p]*rlen;
tre[p<<1]%=mod;
tre[p<<1|1]%=mod;
laz[p]=0;
return;
}
void build(int p,int l,int r){
if(l==r){ tre[p]=w[l]%mod; return;}
int mid=l+r>>1;
build(p<<1,l,mid);
build(p<<1|1,mid+1,r);
push_up(p);
}
void update(int p,int l,int r,int L,int R,int val){
if(L<=l&&r<=R){
(tre[p]+=val*(r-l+1))%=mod;
(laz[p]+=val)%=mod;
return;
}
int mid=l+r>>1;
push_down(p,mid-l+1,r-mid);
if(L<=mid) update(p<<1,l,mid,L,R,val);
if(mid<R) update(p<<1|1,mid+1,r,L,R,val);
push_up(p);
return;
}
int query(int p,int l,int r,int L,int R){
if(L<=l&&r<=R) return tre[p]%mod;
int mid=l+r>>1,res=0;
push_down(p,mid-l+1,r-mid);
if(L<=mid){ res+=query(p<<1,l,mid,L,R); res%=mod;}
if(mid<R){ res+=query(p<<1|1,mid+1,r,L,R); res%=mod;}
return res;
}
void PRE_DFS(int u,int fa){
dep[u]=dep[fa]+1;
siz[u]=1;
for(auto v:G[u]){
if(v==fa) continue;
faz[v]=u;
PRE_DFS(v,u);
siz[u]+=siz[v];
if(siz[v]>siz[son[u]])
son[u]=v;
}
}
void DFS(int u,int tp){
top[u]=tp;
dfn[u]=++tim;
w[tim]=a[u];
if(son[u]) DFS(son[u],tp);
else return;
for(auto v:G[u]){
if(v==faz[u]||v==son[u]) continue;
DFS(v,v);
}
}
void chain_update(int u,int v,int val){
while(top[u]!=top[v]){
if(dep[top[u]]<dep[top[v]]) swap(u,v);
update(1,1,n,dfn[top[u]],dfn[u],val);
u=faz[top[u]];
}
if(dep[u]<dep[v]) swap(u,v);
update(1,1,n,dfn[v],dfn[u],val);
return;
}
int chain_query(int u,int v){
int res=0;
while(top[u]!=top[v]){
if(dep[top[u]]<dep[top[v]]) swap(u,v);
res+=query(1,1,n,dfn[top[u]],dfn[u]); res%=mod;
u=faz[top[u]];
}
if(dep[u]<dep[v]) swap(u,v);
res+=query(1,1,n,dfn[v],dfn[u]); res%=mod;
return res;
}
void subtree_update(int u,int val){
update(1,1,n,dfn[u],dfn[u]+siz[u]-1,val);
return;
}
int subtree_query(int u){
return query(1,1,n,dfn[u],dfn[u]+siz[u]-1);
}
signed main(){
// freopen("1.in","r",stdin);
n=in,m=in,r=in,mod=in;
for(int i=1;i<=n;++i) a[i]=in;
for(int i=1;i< n;++i){
int u=in,v=in;
G[u].push_back(v);
G[v].push_back(u);
}
PRE_DFS(r,0);
DFS(r,r);
build(1,1,n);
for(int i=1;i<=m;++i){
int opt=in;
switch (opt){
case 1:{
int u=in,v=in,val=in;
chain_update(u,v,val%mod);
break;
}
case 2:{
int u=in,v=in;
printf("%lld\n",chain_query(u,v));
break;
}
case 3:{
int u=in,val=in;
subtree_update(u,val%mod);
break;
}
case 4:{
int u=in;
printf("%lld\n",subtree_query(u));
}
}
}
}

高考完了,耍了快一个月,开始边耍边学习
一年多没碰OI了,本来想刷点题回忆下
然鹅老年人记忆力不允许
先打板吧
浙公网安备 33010602011771号