逻辑回归算法
逻辑回归(Logistic Regression)是一种广泛应用于分类问题的统计学习方法,尽管名字中带有"回归",但它实际上是一种用于二分类或多分类问题的算法。
逻辑回归通过使用逻辑函数(也称为 Sigmoid 函数)将线性回归的输出映射到 0 和 1 之间,从而预测某个事件发生的概率。

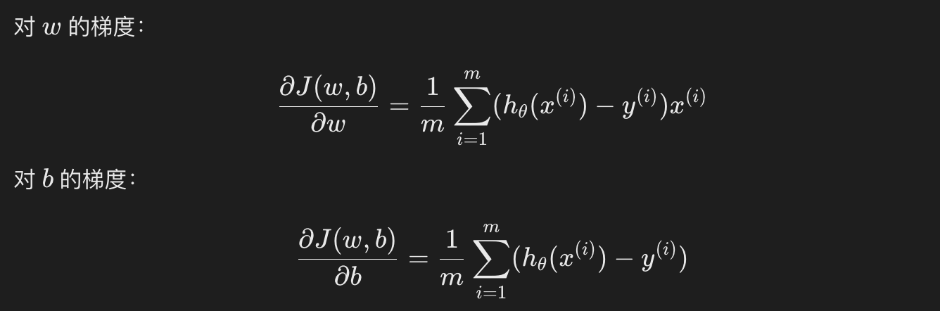
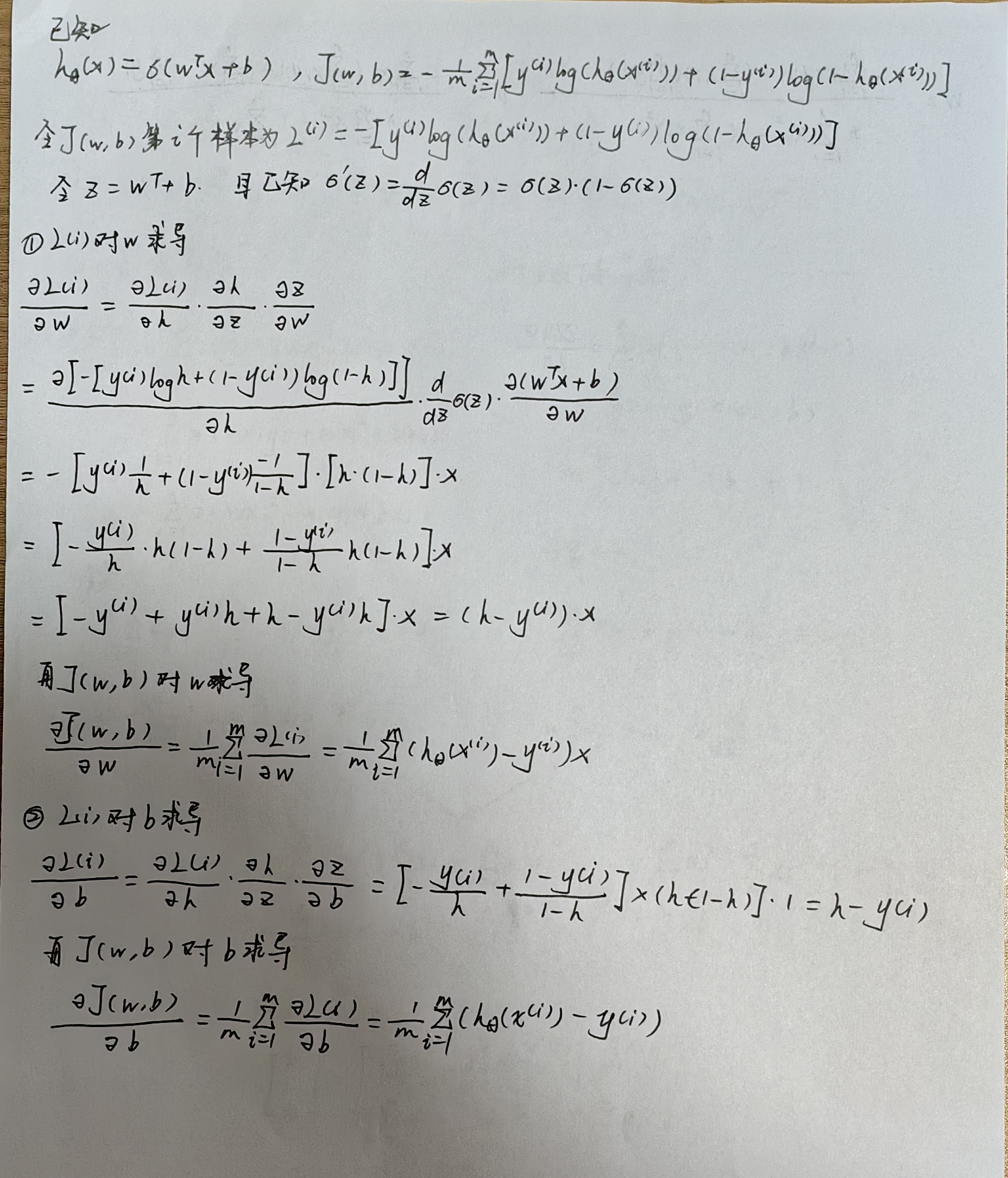
逻辑回归的损失函数是对数损失函数(Log Loss)

逻辑回归通常也使用梯度下降法来优化损失函数,求解参数 w 和 b

求解过程:

使用 Python 和 Scikit-learn 库来实现一个简单的逻辑回归模型。
import numpy as np import matplotlib.pyplot as plt from sklearn.datasets import load_iris from sklearn.model_selection import train_test_split from sklearn.linear_model import LogisticRegression from sklearn.metrics import accuracy_score, confusion_matrix, classification_report # 加载数据集 iris = load_iris() X = iris.data[:, :2] # 只使用前两个特征 y = (iris.target != 0) * 1 # 将目标转化为二分类问题 # 划分训练集和测试集 X_train, X_test, y_train, y_test = train_test_split(X, y, test_size=0.3, random_state=42) # 创建逻辑回归模型 model = LogisticRegression() # 训练模型 model.fit(X_train, y_train) # 预测测试集 y_pred = model.predict(X_test) # 可视化决策边界 x_min, x_max = X[:, 0].min() - 1, X[:, 0].max() + 1 y_min, y_max = X[:, 1].min() - 1, X[:, 1].max() + 1 xx, yy = np.meshgrid(np.arange(x_min, x_max, 0.01), np.arange(y_min, y_max, 0.01)) Z = model.predict(np.c_[xx.ravel(), yy.ravel()]) Z = Z.reshape(xx.shape) plt.contourf(xx, yy, Z, alpha=0.8) plt.scatter(X[:, 0], X[:, 1], c=y, edgecolors='k', marker='o') plt.xlabel('Sepal length') plt.ylabel('Sepal width') plt.title('Logistic Regression Decision Boundary') plt.show()


浙公网安备 33010602011771号