题解:P11725 [JOIG 2025] 修学旅行 / School Trip
思路
看到题面容易想到用线段树做,但是这道题要用一个形状为满三叉树的线段树,这样才方便统计答案。
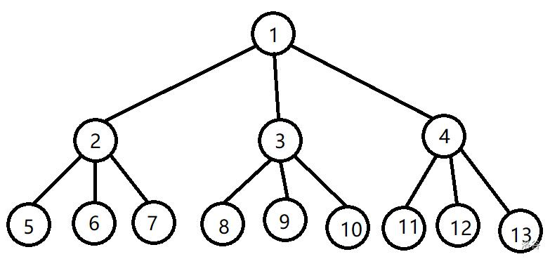
首先来看节点的编号,从上到下,从左到右依次给树上的节点进行编号,容易发现,设一个非叶子节点的编号为 \(x\),则它的三个儿子节点的编号为 \(3x-1,3x,3x+1\),配一张图方便大家理解(图微丑,轻喷)。

所以在建树和修改时,就可以直接算出子节点的编号。
剩下的就和线段树差不多了,直接上代码。
代码
#include <bits/stdc++.h>
using namespace std;
const int N=2e6+6;//数组开大一点
int n,q;
bool t[N];
char s[N];
void build(int cur,int l,int r){//建树
if(l==r){
t[cur]=s[l]-'A';//0表示A,1表示B
return;
}
int mid1=l+(r-l+1)/3-1,mid2=l+2*(r-l+1)/3-1;
//将区间平均分成三部分
build(cur*3-1,l,mid1);
build(cur*3,mid1+1,mid2);
build(cur*3+1,mid2+1,r);
t[cur]=(t[cur*3-1]+t[cur*3]+t[cur*3+1]>1);
//如果1的个数大于1,则B多,否则A多
}
void modify(int cur,int l,int r,int x){//单点修改
if(l==r && l==x){
t[cur]^=1;//修改
return;
}
int mid1=l+(r-l+1)/3-1,mid2=l+2*(r-l+1)/3-1;
if(x<=mid1)
modify(cur*3-1,l,mid1,x);
else if(x<=mid2)
modify(cur*3,mid1+1,mid2,x);
else
modify(cur*3+1,mid2+1,r,x);
t[cur]=(t[cur*3-1]+t[cur*3]+t[cur*3+1]>1);
//重新统计答案
}
int main(){
scanf("%d%d",&n,&q);
scanf("%s",s+1);
n=strlen(s+1);
build(1,1,n);
while(q--){
int p;
scanf("%d",&p);
modify(1,1,n,p);
printf("%c\n",t[1]+'A');//t[1]为最终的结果输出
}
return 0;
}

浙公网安备 33010602011771号