RS485通讯上下拉电阻的选择
RS485是一种常见的通讯接口方式,在我们的实际产品中也是多次使用。但我们平常并不会去过多考虑某一实现的细节问题,不过最近我们遇到了一个因如上下拉电阻的选择问题而造成的通讯故障,所以在这一片中我们来讨论一下RS485总线上下拉电阻的选择问题。
1、出现的问题
前段时间在调试多个站点的Modbus通讯的时候出现了一个问题。在拥有6个节点的RS485总线上,主站发送给从站的报文能够成功接收,从站返回的报文主站却是接收不到。后来额外添加了上拉下拉电阻后,通讯恢复正常。这让我们注意到,上下拉电阻的选择对RS485总线通讯的影响问题。
首先,我们来看看为什么会有接收不到报文的情况。根据RS485总线的相关标准,当RS485总线差分电压大于+200mV时,RS485收发器输出高电平;当RS485总线差分电压小于-200mV时,RS485收发器输出低电平;当RS485总线上的电压在-200mV~+200mV之间时,RS485收发器可能输出高电平也可能输出低电平,但对于某一特定的节点总是处于一种电平状态,若RS485收发器的输出处于低电平,这对于UART通信来说是一个起始位,此时通信会不正常,自然我们就接收不到正确的报文了。
既然是因为RS485总线上A端和B端的电压差处于-200mV~+200mV之间而造成的错误,那么有没有办法防止它处于-200mV~+200mV之间呢?当然是有办法的,那就是利用上拉下拉电阻来钳位这一电压差值。这就引出了另一个问题,我们该如何选择适合的上拉下拉电阻呢?接下来我们将讨论这个问题。
2、分析问题
既然我们确认是上拉下拉电阻的匹配问题,那接下来我们就来讨论一下上拉下拉电阻的选择问题。我们先从简单的的情况入手,逐步的讨论更复杂的网络情况。首先我们来看一下只有两个节点的RS485网络,如下图所示:

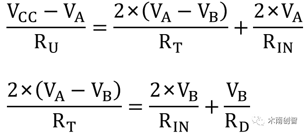
在上图的两个节点的网络中,我们规定两端都有终端电阻,两个节点所采用的收发器的输入电阻相同,在总线中只有一个节点配置有上拉下拉电阻。我们根据电路中流入流出同一节点的电流是相同的原理,可以得到如下的两个等式:

在我们设计RS485总线电路时,如果添加有上拉和下拉电阻,我们一般会选择相同的阻值,我们记为R。那么我们根据上面两个等式可以推导出下的算式:

有了这个式子我们可以计算出上拉下拉电阻的大小。因为我们加上拉下拉电阻的目的就是保证总线A端和B端的电压差能够符合不小于200mA的要求。所以我们以总线A、B的电压差200mA来计算就可以得到上拉下拉电阻的值。
上面我们推导了两个节点的计算公式,但两个节点只是最简单的情况,而总线上往往存在多个节点。所以接下来我们来讨论总线上存在n个节点,总线两端存在终端电阻,每一个节点都拥有相同的输入电阻,只有主节点存在上拉下拉电阻,如下图所示:

我们根据前面的推导过程可知,不同的只是因为增加节点而增加的输入电阻,所以我们根据上述电路可以推导出如下的公式:

这一公式与两个节点的公式相比仅仅只是输入电阻部分并联引起的变化。同样的,我们可以依据总线A端和B端的电压差不小于200mA的要求来计算上拉下拉电阻的阻值。
我们虽然推导了总线上有多个节点的计算公式,但我们只考虑了一个节点拥有上拉下拉电阻的情况。实际应用中,可能存在总线上有多个节点存在上拉下拉电阻的情况,所以我们来讨论一下所有节点均存在上拉下拉电阻的极限情况,如下图所示:

从上图,我们不难看出与前一种多节点通讯的区别只是上拉下拉电阻的数量出现了变化。为了简化推导过程,我们同样假设每个节点拥有相同的上拉下拉电阻,以及同样的上拉电源和地。采用相同的电路原理我们可得到如下的计算公式:

在这个公式中,n为节点的数量,总线A端和B端的差值我们定义为最小的200mA,这样我们就可以将这个公式简化为:

到这里,我们就得到了比较具有使用价值的上拉下拉电阻阻值的计算公式了。我们只需要根据实际的总线使用情况选择n的值和电源的值就可以得到我们想要的上下拉电阻值。不过有一个问题需要注意,上下拉电阻的数量可能与节点的数量不同,但输入电阻的数量与节点数量相同,所以计算时要注意n的取值问题。
3、求解思路
我们已经推导了一个具有应用价值的上下拉电阻计算公式。接下来我们就来使用这一公式计算我们前面遇到的实际问题。
在第1节中,我们提到了一个实际问题,是一个具有6个节点的RS485总线,我们来计算一下这个实际事例中上拉下拉电阻该如何选择。我们的主站采用的收发器是MAX3485,上拉下拉电阻选择了普遍的4.7K欧姆电阻,上拉电源采用了3.3V电源。从节点为其他厂商产品,所采用的收发器为SP3485和SP485,我们只考虑主节点有上拉下拉电阻的情况。
从MAX3485和SP3485以及SP485的数据手册我们可以查到输入电阻均为12K欧姆。而在主站这边添加了终端电阻,而总线上的其他从站均为添加终端电阻。所以我们就可以将这些数据带入到上面的公式计算上拉下拉电阻:

于是我们很容易得到上拉下拉电阻的阻值约为903欧姆。这是在只有主节点有上拉下拉电阻的情况下,如果每个节点都有上拉下拉电阻呢?在这一情况下,所需的上拉下拉电阻要大得多,6个节点的话,约为5417欧姆。如果两个终端都采用了终端电阻,则上拉下拉电阻需要更小一些,约为458欧姆左右。同样如果6个节点均采用上拉下拉电阻,则上拉下拉电阻的值约为2749欧姆。一般在设计电路时,我们均默认所有节点均有上拉下拉电阻,在不能确认最远端的距离及终端电阻时,选用5K欧姆左右的电阻是合适的。
我们似乎解决了我们前面所遇到的问题,但还有一种情形我们需要考虑,那就是总线上拥有最多节点的情况。一般来说,总线上能够挂载多少个节点与采用的RS485收发器有关。同样以我们常用的MAX3485和SP3485为例,其理论上可以挂载包括自己在内的32个节点,所以我们就以32个节点、所有节点均有上拉下拉电阻,两端均有终端电阻为例来计算上拉下拉电阻的值。

我们可得到上拉下拉电阻的值约为13778欧姆,但这个值是一个极限值,我们并不能选用它,因为我们不能保证所挂载的每个节点都配有上拉下拉电阻。所以我们再拉计算一下只有我们设计的主节点具有上拉下拉电阻的情况。这种情况下,上拉下拉电阻的值约为431欧姆。那是不是我们选用这个最小值就可以适应总线挂载2到32个节点的所有情况了呢?很遗憾,并不是这样的,还有其它的要求需要我们考虑。
前述只考虑了上下拉电阻对RS485通讯的积极影响,而没有考虑上下拉电阻的选择对RS485通讯的消极影响。这个消极影响就是上下拉电阻以及终端电阻会影响RS485收发器的带载能力。因为根据RS485标准,收发器需要能够提供不低于1.5V的差分输出,此时对总线上A端与B端的差分负载要求为54欧姆。
我们一如前面的推导过程来归纳差模负载的计算公式。我们依然按所有节点的输入电阻相同,上拉下拉电阻相同,终端电阻为两端都有的极限情况来推导公式。首先我们推导总线A端和B端的共模负载,得到公式如下:

有了这个共模负载的计算公式,我们就可以推导出总线A端和B端差模负载的计算公式:

根据这个差模公式我们可以来核算一下总线对上拉下拉电阻的要求。我们以32个节点,每个节点都使用了上拉下拉电阻,两端均有终端电阻,差模负载为54欧姆。我们依然以MAX3485和SP3485为例,其输入电阻为为12K欧姆,计算可得共模负载为270欧姆,而上拉下拉电阻约为30857欧姆。这是在假设32个节点均有上拉下拉电阻的情况下得到的,而我们能够确保有上拉下拉电阻的只有主节点,所以我们可以得到只有主节点有上拉下拉电阻时,电阻值约为964欧姆。
所以综合上述计算过程,为了MAX3485和SP3485在2到32个节点的情况下均可用,理论上我们需要选择上拉下拉电阻的值大于964欧姆即可,但实际情况却不见得如此,因为其他节点也可能会采用上拉下拉电阻,所以上拉下拉电阻需要适当的选择大一点,才能保证通讯的可靠性。
4、不是结论
至此我们已经完成RS485总线中上拉下拉电阻选择的计算过程。但在实际使用中上下拉电阻的选择要复杂的多,因为它不但与所采用的收发器有关,还与总线上的节点数量有关。收发器的输入阻抗也决定了总线所能挂载节点的数量。如我们前述的MAX3485和SP3485两种收发器,其输入阻抗为12K欧姆,挂载32个节点时,共模电阻只有375欧姆,这时候如果我们想要利用上拉下拉电阻来保证通讯可靠,已经不会有太大效果了。所以象MAX3485和SP3485这种拥有单位负载阻抗的收发器,在电路设计时就需要考虑其挂载节点的数量。
我们在前面的讨论中,有些条件是我们假定的,如我们默认所有节点的输入阻抗均为单位负载,但实际情况不一定如此,不同节点的输入电阻可能不一定相等。在RS485标准中规定了单位负载,输入电阻与节点的关系:

所以我们选择输入电阻为12K欧姆来计算实际上是极小值,所以不同节点的输入电阻不相同也没关系,更大的输入电阻反而降低了驱动要求。
在前面的讨论中我们都是按两端有终端电阻来计算的,在实际使用中可能并非两端都存在终端电阻,甚至没有终端电阻的情况。根据前面的公式,我们不难发现如果只有1端有终端电阻或者没有终端电阻的情况下,对上下拉电阻的要求更低一些,上下拉电阻可以适当增大,所以只要符合两端带终端电阻的情况,其它情形自然也可满足。
还有在总线上,不同节点采用的上下拉电阻以及上拉电源并不一定相同。我们假定上拉电源为3.3V,实际已经是很低的情况,如果用更高的上拉电源,对上拉电阻的要求反而更低,所以用3.3V计算是能符合所有使用情况的。而至于上下拉电阻不同节点可能不同的问题,我们考虑的是最低情况,如果某一个或几个节点采用更大的电阻,由于电阻的并联作用,不会造成电阻更大的问题,即可保证压差限制,也能保证差分负载的要求。
欢迎关注:

浙公网安备 33010602011771号