SMINet State-Aware Multi-Aspect Interests Representation Network for Cold-Start Users Recommendation阅读笔记
动机
本文是2022年AAAI上的一篇论文。在线旅行平台与常见的电商平台、新闻平台与短视频平台不同,因为通常用户旅行的频率远不及网购、看新闻的频率,而且旅行有一些与众不同的特性,本篇论文是针对在线旅行平台用户冷启动问题,它提出了SMINet,该模型是专门针对旅行推荐的,考虑到了很多与旅行相关的因素。
方法
SMINet主要由三个部分组成,分别是多方面兴趣提取器、协同注意层、旅行状态门控层。

Multi-Aspect Interest Search Unit
这一部分是多方面兴趣搜索单元,可以根据关键字从所有用户的行为中找到最相似的k个物品。

例如根据给定的时间和地点搜索相关的物品。

Multi-Aspect Interests Extraction
兴趣提取层主要提取5中兴趣。
Spatial Temporal Interest
时间空间兴趣。用户的旅行意图受到所去的地点和时间影响,例如游客倾向于三月去杭州赏樱花。根据上下文时间和地点用前文中的MAISU搜索出最相关的k个项目,然后通过embedding层得到它们的embedding,最后通过一个多头自注意力层获取




User Group Interest
用户群体兴趣。用户属于不同的群体会有不同的兴趣,例如亲子人群更喜欢去游乐园和博物馆。这部分的兴趣获取方式和上述时间空间兴趣类似。

User Periodic Interest
用户周期兴趣。部分用户的旅行是有周期性的,例如一些人喜欢冬天去三亚过冬。这部分的兴趣获取方式和上述方法类似。

User Long-Term Interest
用户长期兴趣。用户长期兴趣是从用户长期的行为序列中提取的,这对于推荐与用户前几年旅行相关的物品很有帮助。这部分的兴趣获取方式和上述方法类似。

User Short-Term Interest
用户短期兴趣。用户短期兴趣更注重用户最近的行为。这部分的兴趣获取方式和上述方法类似。


Co-Attention with Current Session Behaviors
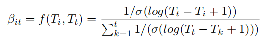
用户的兴趣与行为是互相影响的,本层的目的就是挖掘出这种影响。首先通过一个NARM模型获取用户的全局会话向量\(c_g\)和局部会话向量\(c_l\),之后再将用户行为序列
输入进GRU中,隐状态为\(h_i{T}\)。获取时间感知的会话向量

其中

给定会话表示
和兴趣表示
,获取它们的亲和矩阵
。之后计算出注意力图

最终的表示为

Travel State-Aware Gating Layer
用户的旅行状态和用户的兴趣也会互相影响,我们根据用户的旅行状态使用门控网络选择重要的兴趣
其中


Final MLP Layer
最终将三部分表示连接起来输入MLP,输出作为用户的最终表示。

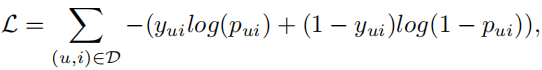
Model Training
训练采用交叉熵损失


实验结果
本文提出的模型取得最佳效果。

在真实场景下的A/B测试也取得最佳效果。

总结
本文提出了一个专门的旅行推荐的模型,用于为冷启动用户进行推荐。它通过兴趣提取层提取多方面的兴趣,还设计了协同注意层和旅行状态感知门控层将多方面的兴趣与用户的当前行为和用户的旅行状态相结合。

浙公网安备 33010602011771号