GCN笔记-老年痴呆自我回忆手册
GCN(Graph Convolutional Networks)
1.图的概念
邻接矩阵A
度矩阵D
特征矩阵X
2.学习新特征-融合其他结点的特征

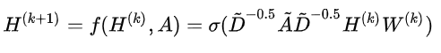
是网络第K层的特征,其中![]()
学习分成三个部分:
变换(transform)
聚合(aggregate)
激活(activate)
3.图卷积
存在两个问题:
一、计算新特征时没有考虑自己的特征

增加自连接
二、采用加法规则时,对于度大的节点特征越来越大,而对于度小的节点却相反,这可能导致网络训练过程中梯度爆炸或者消失的问题。

对邻接矩阵进行归一化


是网络第K层的特征,其中
浙公网安备 33010602011771号