最短路径算法——无权最短路径——python3实现
本文参考来自数据结构与算法分析 java语言描述。
问题描述
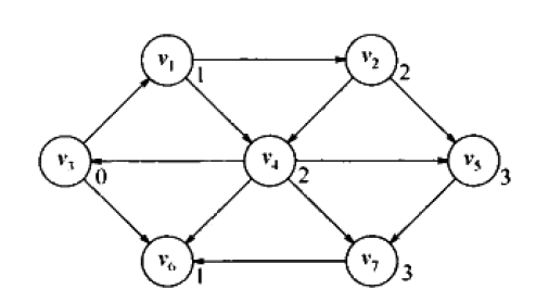
现有一个有向无权图。如下图所示:
问题:使用某个顶点s作为输入参数,找出从s到所有其他顶点的最短路径。
说明:因为是无权图,因此我们可以为每台边赋值为1。这里选择v3为s作为起点。
问题分析
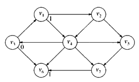
此时立刻可以说,从s到v3的最短路径是长为0的路径,标记此信息,得到下图。
现在开始寻找从s出发距离为1的顶点。这些顶点肯定是与s邻接的顶点,很明显,v1,v6从s出发只需要一条边就到了。所以,从s出发距离为1的顶点,为v1,v6。
现在开始寻找从s出发距离为2的顶点。这些顶点肯定是与v1,v6(距离为1的顶点)邻接的顶点。发现与v1邻接的顶点为v2,v4,与v6邻接的顶点没有(不能往回走,没有出边)。所以,从s出发距离为2的顶点,为v2,v4。
最后,考察与v2,v4邻接的顶点,即v5,v7。所以,从s出发距离为3的顶点,为v5,v7。
这种搜索图的方法称为广度优先搜索(breadth-first search)。按层处理顶点,距离起点近的顶点先处理,距离起点远的后处理。
伪代码(处理节点)
void unweighted(Vertex s){
Queue<Vertex> q = new Queue<Vertex>();
//把每个顶点的距离设为无穷大
for each Vertex v
v.dist = INFINITY
//将起点的距离设为0
s.dist = 0;
//起点入队,作为算法的开始
q.enqueue(s);
//只要队列不为空,便继续循环
while( !q.isEmpty() ){
//获得出队顶点
Vertex v = q.dequeue();
//对与v邻接的每个顶点进行处理
for each Vertex w adjacent to v
if(w.dist == INFINITY){
w.dist = v.dist + 1;
w.path = v;//代表w的上一个经过的顶点为v
//完成操作后,便入队,以用来接着分析与w邻接的顶点们
q.enqueue( w );
}
}
}
实现过程
从s开始到顶点的距离放到dv列里,pv列用来代表,当前行代表的顶点的上一个经过的顶点。known列代表此顶点已经被处理过了。
初始化时,将起点的距离设置为0,且所有的顶点都不是know的。
结合伪代码进行分析:
【1】当第一次循环中,出队的是v3(每次循环只出队一个顶点)
【2】而第一次循环结束时,就是上表中“v3出队后”的数据情况,如下
【3】此时,对v3的邻接的顶点们都作了处理,所以v3就从F变成了T(即已知)
【4】与v3邻接的顶点v1,v6都作了处理,dv都变成了1,pv都为v3
【5】而因为与v1,v6的邻接顶点都还没有开始处理呢,所以v1,v6的F还不能变成T
得到无权最短路径
通过观察图,可以发现有两条路径长为3的最短路径。
【1】v3 => v1 => v2 => v5
【2】v3 => v1 => v4 => v7
我们可以通过数据变化表的最终情况来找到这两条路径。
注意,第一行代表v1,以此类推。
以找到v3 => v1 => v2 => v5路径为例,过程如下:
【1】找到距离为0的顶点,0在且只在第三行,所以第一个顶点为v3
【2】找到距离为1且pv为v3的顶点,有第一行和第六行,这里必须选一个,这里选第一行,所以第二个顶点为v1
【3】找到距离为2且pv为v1的顶点,有第二行和第四行,这里选第二行,所以第三个顶点为v2
【4】找到距离为3且pv为v2的顶点,只有第五行,所以第四个顶点为v5
【5】找到距离为4且pv为v5的顶点,没有,结束。
其实,以上步骤,是给出了,在对顶点进行数据处理后,找出无权最短路径的算法的思想。
其实可以,维护一些顶点间指针,用来指向下一个顶点,这样就可以用递归的思路来做,从起点开始,每递归到下一层距离dv便加1,用一个中间变量存储经过的顶点,每调用一次递归,便打印这个中间变量,这样,便能得到所有的无权最短路径。
这里得到无权最短路径的伪代码也不给出了,以上分析供大家理解参考。
代码实现
纸上得来终觉浅,绝知此事要躬行!还是觉得用代码实现一遍比较好。
from queue import Queue
class Vertex:
#顶点类
def __init__(self,vid,outList):
self.vid = vid#出边
self.outList = outList#出边指向的顶点id的列表,也可以理解为邻接表
self.know = False#默认为假
self.dist = float('inf')#s到该点的距离,默认为无穷大
self.prev = 0#上一个顶点的id,默认为0
#创建顶点对象
v1=Vertex(1,[2,4])
v2=Vertex(2,[4,5])
v3=Vertex(3,[1,6])
v4=Vertex(4,[3,5,6,7])
v5=Vertex(5,[7])
v6=Vertex(6,[])
v7=Vertex(7,[6])
#创建一个长度为8的数组,来存储顶点,0索引元素不存
vlist = [False,v1,v2,v3,v4,v5,v6,v7]
def unweighted():
#起点为v3
vlist[3].dist = 0
q = Queue()
q.put(vlist[3])
while(not q.empty()):
v = q.get()#返回并删除队列头部元素
for w in v.outList:
if(vlist[w].dist == float('inf')):
vlist[w].dist = v.dist + 1
vlist[w].prev = v.vid
q.put(vlist[w])
unweighted()
print('v1.prev:',v1.prev,'v1.dist',v1.dist)
print('v2.prev:',v2.prev,'v2.dist',v2.dist)
print('v3.prev:',v3.prev,'v3.dist',v3.dist)
print('v4.prev:',v4.prev,'v4.dist',v4.dist)
print('v5.prev:',v5.prev,'v5.dist',v5.dist)
print('v6.prev:',v6.prev,'v6.dist',v6.dist)
print('v7.prev:',v7.prev,'v7.dist',v7.dist)
运行结果:
与数据变化表的最终情况一致。
这里你可能会问,Vertex类的init函数中,明明有know成员,为什么在程序没有使用know成员(在处理节点后,就把该节点的know置为Ture),因为if(vlist[w].dist == float('inf'))的判断就相当于判断节点的know是否为Ture,因为一个已知的节点,它的距离就肯定不是无穷大了。
然后再使用递归,打印出所有可能的最短路径,把以下代码和以上代码合在一起就可以了。
traj_list = [3]#v3是起点直接加上
def print_traj(dist):
last = traj_list[-1]
print(traj_list,'该路径的长度为:',vlist[last].dist)
temp_list = []#存储下一步的选项
for i in range(1,len(vlist)):
v = vlist[i]
if((v.dist==dist) and (v.prev==last)):
temp_list.append(i)
if(len(temp_list)==0):
return#终点
#递归每个选项
for i in temp_list:#i为顶点的索引
traj_list.append(i)
print_traj(dist+1)
traj_list.pop()
print_traj(1)

浙公网安备 33010602011771号